
Ordinary Council Meeting
Minutes
Wednesday 10 February 2016
Commencing at 7.00pm
Wycheproof Supper Room
367 Broadway, Wycheproof
John Hicks
Chief Executive Officer
Buloke Shire Council
Buloke Shire Council Ordinary Meeting Minutes Wednesday, 10 February 2016
Minutes of the Ordinary Meeting held on Wednesday, 10 February 2016 commencing at 7.00pm in the Wycheproof Supper Room, 367 Broadway, Wycheproof
PRESENT
CHAIRPERSON:
Cr Reid Mather Mallee Ward
COUNCILLORS:
Cr Ellen White Mallee Ward
Cr David Pollard Lower Avoca Ward
Cr Stuart McLean Lower Avoca Ward
Cr Graeme Milne Mount Jeffcott Ward
Cr Leo Tellefson Mount Jeffcott Ward
Cr Gail Sharp Mount Jeffcott Ward
OFFICERS:
Mr John Hicks Chief Executive Officer
Mr Anthony Judd Director Works and Technical Services
Mr Bill Hutcheson Director Corporate Systems
Mr Bill Keane Manager Community Services
Ms Jessie Holmes Manager Planning and Community Support
Mr Travis Fitzgibbon Media and Communications Officer
AGENDA
1. COUNCIL WELCOME
WELCOME
The Mayor Cr Reid Mather welcomed all in attendance and briefed the gallery on the processes for question time and public participation.
STATEMENT OF ACKNOWLEDGEMENT
We acknowledge the traditional owners of the land on which we are meeting. We pay our respects to their Elders and to the Elders from other communities who maybe here today.
2. RECEIPT OF APOLOGIES
Nil.
3. CONFIRMATION OF MINUTES OF PREVIOUS MEETING
|
That Council adopt the Minutes of the Ordinary Meeting held on Wednesday, 9 December 2015. Seconded: Cr Graeme Milne Carried. |
4. REQUESTS FOR LEAVE OF ABSENCE
Nil.
5. DECLARATION of PECUNIARY AND conflictS of interest
There were no declarations of interest.
|
The Council moves the following reports forward in the agenda to be heard after questions from the public.
· 8.2.1 Request for section 17B Crown Licence on Wooroonook Lakes, Crown Allotments 67 E, F and G, Parish of Wooroonook
· 8.2.2 Planning Permit Application 636/15 – Use and Development of a Place of Assembly (Music and Arts Festival)
Seconded: Cr Ellen White Carried. |
6....... Questions from the Public
7.1 Report on Assemblies of Councillors
7.2 Building Permits - Monthly Update
7.3 Planning Applications Received - Monthly Update
7.4 Letters of Congratulations and Recognition of Achievement/Awards
8.1.1 Election Caretaker Policy
8.1.3 Review of Instrument of Delegation
8.1.5 Fraud Prevention and Reporting Policy
8.2 Management Reports CONTINUED
8.2.3 Loddon Mallee Regional Action Plan for the Prevention of Violence Against Women
8.2.5 Drought Relief Advisory Committee
8.3.1 Financial Performance as at 31 December 2015
8.6 Matters Which May Exclude The Public
The Meeting may be closed to members of the public to consider confidential matters.
8.6.1 Contract RFQ. 53 - Supply and Delivery of Road Maintenance Unit
If the meeting has been closed it will be brought back into open session by resolution
9.2 Questions from Councillors
NEXT MEETING
The next Ordinary Meeting of Council will be held in Wycheproof Supper Room, 367 Broadway, Wycheproof on Wednesday, 9 March 2016 at 7.00pm.
JOHN HICKS
CHIEF EXECUTIVE OFFICER
Buloke Shire Council Ordinary Meeting Minutes Wednesday, 10 February 2016
8.2.2 Planning permit application 636/15 - Use and development of a place of Assembly (Music and Arts Festival)
Attachment 1 First request for further information
6. Questions from the Public
A number of speakers registered to speak before debate on Item 8.2.1 and then did so.
The speakers included Alan Getley, Bernard Mulquiny, Lachlan Bell and Jon Whykes.
Author’s Title: Director Works and Technical Services
Department: Works and Technical Services File No: LP/09/01
|
Nil |
Relevance to Council Plan 2015 - 2019
Strategic Objective: An organisation that is responsibly governed with a strong emphasis on sustainable financial and risk management.
|
That Council refuses to grant a Section 17B Crown Licence for the use of Crown Allotments 67 E, F and G, Parish of Wooroonook for the music and arts festival known as Maitreya. Seconded: Cr Graeme Milne Carried. |
1. Executive Summary
An approach has been made to Council for the use of Crown Allotments 67 E, F and G, Parish of Wooroonook for the music and arts festival known as Maitreya between the dates of 26 February 2016 and 24 March 2016 incorporating set up and pack up.
2. Discussion
Buloke Shire Council is the Committee of Management for the land and as such has the powers under Section 17B of the Crown Lands (Reserves) Act 1978 to grant licences to enter and use any portion of the land.
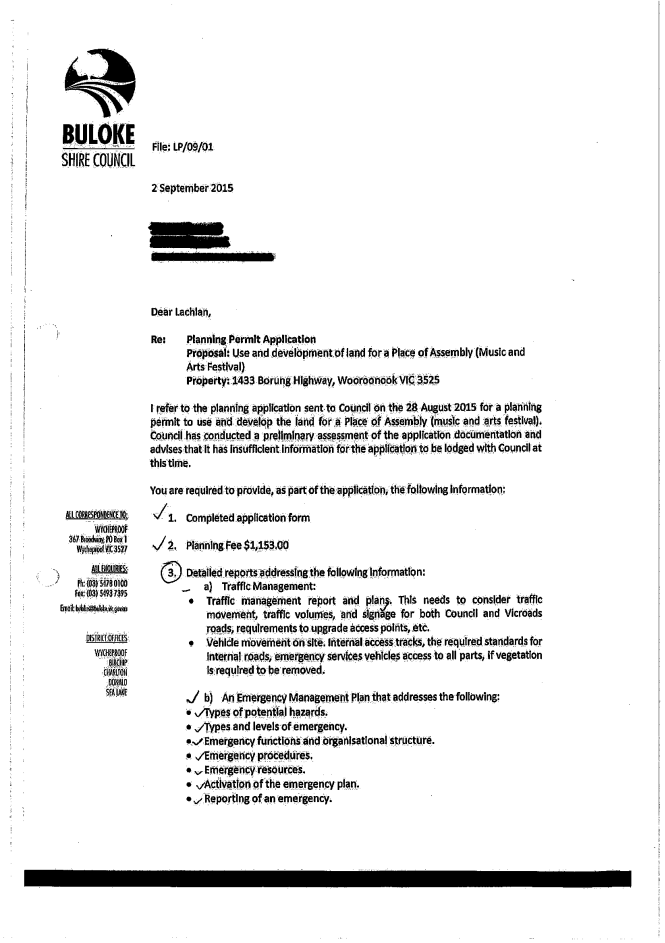
On a letter sent to the proposed applicant on 2 September 2015, it was clearly stated that in order for a licence to be issued for the event, Council would require the following information prior to 1 February 2016.
- Approved planning permit.
A Notice of Decision is being determined at the Ordinary Council meeting on 10 February 2016. The delay in the planning permit being determined is a result of the applicant’s late provision of requested information.
- Insurance policy indemnifying Council and the Management Committee against any claims for injury.
This has not been provided to Council and therefore exposes Council to significant risk.
- Signed agreements with all service providers for the event including security firms, first aiders, Ambulance Victoria, fire safety providers, lifeguards etc.
An email advising that an Ambulance Victoria quote had been accepted was received by Council on the 6 October 2015. St John First Aid has been present at stakeholder meetings and AML Risk Management has provided Fire Management documentation. No information in relation to lifeguards has been provided. Sighting of copies of signed agreements has not been provided.
- Payment of any bonds set by Council and payment of any fees required.
No discussions have been held with the applicant about the level of fees or the security bond and therefore no payment has been made.
- Agreed and endorsed Traffic Management Plan.
An endorsed Traffic Management Plan has not been made available to Council or VicRoads.
- Agreed and endorsed Emergency Management Plan.
An Emergency Management Plan has been submitted to Council.
- Agreed and endorsed Environmental Management Plan.
An Environmental Management Plan has been submitted to Council but it does not satisfactorily address issues in relation to waste and the removal, destruction and lopping of vegetation.
- Relevant written approval from Building Surveyors, Environmental Health Officer, Liquor Licensing Victoria, etc.
To date, a Place of Public Entertainment permit has not been applied for. The Environmental Health Officer has received three streetrader notifications. A Major Events Liquor Licence is currently on exhibition with objections able to be received until 17 February 2016.
In addition to the letter sent on 2 September 2015, and several more from the Planning Officer, two letters from the Chief Executive Officer were sent to the applicant including on 24 July 2015 and 20 August 2015, clearly articulating the timeframes required in order for Council to make a decision on the use of the land for the purpose of a music and arts festival.
The site itself is 77.68 hectares of land reserved for Public Recreation and Tourist Camping purposes. There is a large lake, amenities infrastructure including toilet and shower block, barbeque shelters, a floating pontoon, boat ramp, several vehicular tracks around the lake and vegetation covers most of the site.
The Licence must be considered in relation to a number of other legislative requirements including the Aboriginal Heritage Act 2006. A Cultural Heritage Management Plan is required for particular activities and it must be approved before the applicant can obtain any necessary statutory authorisations.
Works have begun on site without a licence or permission. Council has recently had to write to the applicant (27 January 2016) to advise that works being carried out on site prior to the issue of any consents must cease immediately. Works that have been carried out without the consent of Council as the land manager include several crossovers incorporating culverts, the installation of an estimated fifty pine posts and the placement of four shipping containers on site.
Council has referred the proposal as an advisory activity under the Dja Dja Wurrung Clans Aboriginal Corporation Land Use Activity Agreement as per Division 2 of Part Four, TRADITIONAL OWNER SETTLEMENT ACT 2010 on 19 January 2016 and there is a 28 day period for comments by the corporation, which is after the date a decision is required to be made by Council.
Parks Victoria, as the land manager of Crown Allotments 67D (Wooroonook Lakes Middle and East Wildlife Reserve, at the southern section of the proposed festival), has objected to the inclusion of this land for the proposed festival area. In the correspondence from Department of Environment, Land, Water and Planning (DELWP), it states that the Reserve is managed primarily to conserve native fauna and flora values, has both endangered and vulnerable Ecological Vegetation Classes and the potential for Aboriginal sites and relics within the general area.
Given these significant values, DELWP as the public land manager for Crown Allotments 67D, has not provided written consent for the festival and objected to the issue of a permit over Crown Allotment 67D.
They have also provided a number of planning permit conditions should a planning permit be granted for use of Crown Allotment 67E, F and G.
The prohibition to use this area restricts the amount of land available for the festival to operate in and the proposed vehicle entry off the St Arnaud-Wycheproof Road could not be used. This is likely to have significant traffic management implications and it is probable that traffic would again bank up along the Borung Highway before the first day of the festival.
Section 2.9 of the standard Section 17B Crown Licence document outlines the need for the licensee to comply with the law including statutes, regulations and local laws and at present the applicant has not demonstrated compliance with the Aboriginal Heritage Act 2006, the Dja Dja Wurung Land Use Activity Agreement and the Liquor Control Reform Act 1998.
The planning permit application for the proposed festival is for 15,000 patrons, which is an increase from the permitted 5,000 attendees last year. This has the potential to magnify some of the major issues that arose at the festival last year, which included:
· Waste Management: Excessive waste at the completion of the event and timeframes for clean up.
· Traffic management: Significant build up of cars along the Borung Highway (Charlton-Donald Road) without appropriate traffic management measures in place.
· Under-capacity of effluent disposal systems, leading to sewerage management and public health risks.
· Unauthorised lopping of vegetation and excavation works within the reserve.
With this year’s festival patronage set to triple that of the number permitted last year, the listed issues may become even greater health and safety risks to the community. In addition, the decision by Parks Victoria not to grant access to Section 67D at the southern point of the lake restricts the available land size of the festival and also restricts the number of access and egress points.
These factors provide uncertainty on the ability and capacity of the site, and the entrance roads, to cater for 15,000 patrons.
As a result of the inadequacy of information provided to Council, the commencement of works without a permit and the restriction on the use of Crown Allotment 67D (thereby reducing total land available and restricting vehicle access and egress for the festival), it is recommended that Council has little choice but to refuse to grant a 17B Crown Licence.
3. Financial Implications
As a result of insufficient information provided by the proposed applicant it is difficult to ascertain the potential financial considerations. As Council is the land manager, appropriate insurance would need to be taken by the licensee and this was requested on 2 September 2015 and has not been provided. Use of this land without the requested insurance would expose Council and the community to significant financial risk.
4. Cost Shift Considerations
Nil
5. Community Consultation
No community consultation has been undertaken in relation to the request for a 17B Crown Licence.
6. Internal Consultation
Consultation has been undertaken with the Planning and Building Departments of the Buloke Shire Council.
7. Legislative / Policy Implications
Council as the Committee of Management (land manager) for Crown Allotment 67 E, F and G, Parish of Wooroonook has a duty of care to members of the public who enter, use or participate in activities on the reserve land. In line with this duty, the Committee must take reasonable steps to avoid foreseeable risk of injury.
8. Environmental Sustainability
There are concerns in relation to the impact of the proposed use on the sustainability of the site. Insufficient information has been provided to Council to demonstrate that the festival will not be detrimental to the Wooroonook reserve.
9. Conflict of Interest Considerations
No officer involved in the preparation of this report has a conflict of interest.
10. Conclusion
It is recommended that council refuse to grant a Section 17B Crown Licence for the use of Crown Allotments 67 E, F and G, Parish of Wooroonook for the music and arts festival known as Maitreya due to insufficient information, the applicant’s failure to adhere to processes and uncertainty on the ability and capacity of the site, and the entrance roads, to cater for 15,000 patrons
Mr Lachlan Bell continually interrupted Council debate on this matter and was warned not to do so by the Mayor. He continued to interrupt from the gallery and was asked to leave. He did not do so and was evicted from the Chamber by police.
Buloke Shire Council Ordinary Meeting Minutes Wednesday, 10 February 2016
A number of speakers registered to speak before debate on Item 8.2.1. Jon Whykes spoke to the item but Lachlan Bell did not as he had left the Chamber.
Author’s Title: Manager Planning and Community Support
Department: Planning and Community Support File No: LP/09/01
|
1 First request for further information 2 Second request for further information |
Relevance to Council Plan 2015 - 2019
Strategic Objective: An organisation that is responsibly governed with a strong emphasis on sustainable financial and risk management.
|
That Council issues a Notice of Decision to Refuse Planning Permit Application 636/15 due to: a) The absence of an approved Cultural Heritage Management Plan b) Insufficient information in relation to traffic management on site c) Insufficient information relating to waste management on site d) Insufficient information in relation to amenity facilities and their maintenance e) Insufficient information in relation to potential impacts on native vegetation f) No consent to use the land described as Crown Allotment 67D, Parish of Wooroonook g) No consent to use the land described as Crown Allotment 67E, F and G, Parish of Wooroonook.
Seconded: Cr Leo Tellefson Carried. |
1. Executive Summary
A planning permit application
for the use and development of a Place of Assembly (music and arts festival) on
the land commonly known as Wooroonook Lakes was received by Council on 31 August
2015. Further information was requested from the applicant and partly received
between 8 October 2015 and 30 December 2015 and the application was referred
and advertised on the 4 January 2016. The application has received
one objection.
2. Discussion
Description of proposal:
A planning permit application for the use and development of a Place of Assembly (music and arts festival) on the land commonly known as Wooroonook Lakes was received by Council on the 31 August 2015.
The proposal is to use the land for a four day festival from Friday 11 March 2015 to Monday 14 March 2016. It is proposed that set up of the site would commence two weeks prior to the event and pack up would be completed ten days post event. A 17B Crown Licence is required for the exclusive use of the site. The Licence needs to be endorsed by Buloke Shire Council and Department of Environment, Water, Land and Planning (DEWLP). A portion of the land proposed to be used for vehicular access, emergency assembly point and camping is managed by Parks Victoria and they have advised that consent will not be granted for the use of Crown Allotment 67D, Parish of Wooroonook.
The festival will incorporate three stages for music which will all run for various hours of time over the event, a market place for food, drinks and miscellaneous items, a number of art installations and art spaces as well as cultural activity areas.
The expected patronage is between 8-10,000 people however the planning permit application is for 15,000 people and this is what the additional reports and information have been predicated on .The majority of the patrons are expected to camp on site and the camping areas will also be permitted to come and go as they please in their vehicles. On recent mapping the applicant has advised that some camping areas will be designated ‘quiet camping’ and vehicles will not be permitted in these areas.
The event plan details the needs for toilets, shower blocks and potable water provisions, although the exact provision and figures for the festival would be determined by a Place of Public Entertainment Occupancy permit which is yet to be applied for by the applicant.
It is proposed that the lake will have a roped off swimming section that will have qualified lifeguards patrolling during the day. Swimming in the lake at night will not be permitted and the perimeter of the lake will be monitored by security.
Also set out in the event plan is information about the Event Information Centre which will provide the patrons with general information, an emergency management area including medical tent that will offer assistance to any patron requiring health care and three ‘helper huts’ across the camping areas which are proposed to assist patrons away from the main stage and marketplace area.
Further information and Notice of Application:
When originally received on the 31 August 2015 the application consisted only of a cover letter and incomplete planning permit application form, an event plan and a proposed venue map.
The documentation was assessed and a request for information letter was sent on the 2 September 2015. (Attachment 1). The information request set out the information Council required in order to enable an assessment about the planning permit application. Following two conversations between staff and the applicant on the 8 September 2015 a further letter was sent on the 23 September 2015 clarifying the nature of the plans and reports to be submitted. (Attachment 2). Some of the further information was received by Council on the 8 October 2015 which included:
- Cover letter
- Completed planning permit application form
- Traffic Guidance Scheme
- Community Engagement Strategy
- Crown Management Plan
- Emergency Management Plan
A third information request letter was sent on the 8 December 2015, and stated that the application would lapse if all information was not received by the 8 January 2015. (Attachment 3).
Additional information was provided by the applicant on the dates specified including;
- Environmental Management Plan, 17 December 2015
- Noise Management Plan, 17 December 2015
- Traffic Management Plan, 21 December 2015
- Noise Management Plan, 30 December 2015
A fourth letter requesting information from the applicant was sent on the 13 January 2016. (Attachment 4).
Despite not having received all of the further information requested, the Planning Department made a decision to place the planning permit application on Notice from the 4 January 2016.
The application was sent to all surrounding properties within a three kilometre radius of the proposed site, a total of twenty-two properties. One objection was received.
The application was advertised with a sign on site.
The application was unable to be advertised in the locally circulating newspapers as they were closed for the Christmas period and did not publish again until 19 January 2016.
The proposed planning application was referred to the following authorities under Section 55;
- VicRoads
- North Central Catchment Management Authority
- Grampians Wimmera Mallee Water
The proposed planning application was referred to the following authorities under Section 52;
- Aboriginal Affairs Victoria
- Department of Environment, Land, Water and Planning
- Dja Dja Wurung Corporation
- Country Fire Authority
- Ambulance Victoria
- Victoria Police
- Victoria Liquor and Gaming Authority
The responses received are detailed in a later section of the report.
Site description:
The site itself is made up of four crown allotments being 67 D, E, F, G
Parish of Wooroonook, with the land being owned by the Crown and section E, F,
G for which Buloke Shire Council is the Committee of Management. Section
D is managed by Parks Victoria.
The site area of crown allotments E, F and G is 77.69 Hectares and the land contains a large lake with water as well as vegetation and numerous access tracks. A large channel runs along the southern boundary of crown allotment 67G.
The site contains camping facilities at the north eastern entry point including an amenities block, park, boat ramp and dining facilities.
The land surrounding the site is predominantly broad acre cropping land to the north, south and west with some scattered vegetation. The Borung Highway provides the northern boundary and the St Arnaud- Wycheproof Road provides the eastern boundary. Two dry lake areas are to the east of the proposed site.
Planning controls:
The land is zoned Farming, and the purpose of the Farming Zone is:
- To implement the State Planning Policy Framework and the Local Planning Policy Framework, including the Municipal Strategic Statement and local planning policies.
- To provide for the use of land for agriculture.
- To encourage the retention of productive agricultural land.
- To ensure that non-agricultural uses, including dwellings, do not adversely affect the use of land for agriculture.
- To encourage the retention of employment and population to support rural communities.
- To encourage use and development of land based on comprehensive and sustainable land management practices and infrastructure provision.
A planning permit is required in the Farming Zone for;
Uses under 35.07-1
- Place of Assembly
- Camping and caravan park
- Emergency services facility
- Leisure and recreation
- Market
Buildings and works associated with a section two use under 35.07-4
A number of the decision guidelines in the zone are irrelevant as they relate to dwelling issues or the impact of the use in relation to removing land from agricultural production.
The relevant land use considerations considered under the decision guidelines for Farming Zone included:
- The capability of the land to accommodate the proposed use or development, including the disposal of effluent.
There are significant concerns that the site is not suitable for the proposed number of patrons. Despite being over 77 Hectares in site, a large portion of the site is covered by significant vegetation and the lake. The amount of geographical space for camping, car parking and associated facilities is minimal. Information relating to the management of effluent disposal has not been provided to council.
- How the use or development relates to sustainable land management.
The proposal seeks to be sustainable by mitigating the amount of rubbish collected, providing spill kits for any potential contamination issues, and educating its patrons about sustainability.
- Whether the site is suitable for the use or development and whether the proposal is compatible with adjoining and nearby land uses.
The land is surrounded by broad acre agriculture and a scattering of dwellings which the proposal will affect through noise however it will not affect the ongoing agricultural use. The site is not completely unsuitable for an event of this type, however the proposed patron numbers and their associated infrastructure would place considerable constraints on the land.
- How the use and development makes use of existing infrastructure and services.
The proposal seeks to utilise the existing lake and vehicular tracks around the lake as well as some already cleared areas for staging etc. Most infrastructure needs to be transported to the site including amenity facilities, emergency services infrastructure and market stalls.
- The impact of the proposal on the natural
physical features and resources of the area, in particular on soil and water
quality.
It is difficult to determine the impact of the proposal on the soli and
water quality, this information was specifically sought from the applicant and
has not been provided.
- The impact of the use or development on the flora and fauna on the site and its surrounds.
The impact on the flora and fauna is expanded upon under the environmental management section, however it is expected that there will be an impact.
- The need to protect and enhance the biodiversity of the area, including the retention of vegetation and faunal habitat and the need to revegetate land including riparian buffers along waterways, gullies, ridgelines, property boundaries and saline discharge and recharge area.
This will also be expanded upon in the environmental management section of the report but it is unclear from the documentation provided exactly how much native vegetation will be impacted and there are some significant sensitive riparian margins along the waterways.
- The location of on-site effluent disposal areas to minimise the impact of nutrient loads on waterways and native vegetation.
The location of toilets and the proposed effluent disposal has not been made clear with a number of proposals outlined in the documentation.
- The need to locate buildings in one area to avoid any adverse impacts on surrounding agricultural uses and to minimise the loss of productive agricultural land.
Whilst this is not a key issue to the proposal some adjoining farming property is designated as an emergency evacuation area but the proposed use is in March so it is not anticipated that it will not impact sowing.
- The impact of the siting, design, height, bulk, colours and materials to be used, on the natural environment, major roads, vistas and water features and the measures to be
undertaken to minimise any adverse impacts.
There will be more visual bulk than is usually present at the lake but given the temporary
nature of the event it is not considered significant.
- The impact on the character and appearance of the area or features of architectural, historic or scientific significance or of natural scenic beauty or importance.
The event is temporary in nature, however the long term impact of the event on the natural landscape and cultural heritage could be significant.
- The location and design of existing and proposed infrastructure including roads, gas, water, drainage, telecommunications and sewerage facilities.
There are existing sealed external roads and dirt internal tracks. Water and sewerage
facilities are to be brought on site and telecommunications are variable on site with
emergency management having a satellite phone.
- Whether the use and development will require traffic management measures.
The use and development does require traffic management measures and this issue is discussed later in the report.
The land is impacted by the Environmental Significance Overlay (Schedule 2), the purpose of which is to:
- To maintain and enhance the quality and supply of irrigation and domestic water
- To protect water reservoirs and channels from potential sources of pollution
- To control the development of land in the vicinity of water supply reservoirs and channels
- - To prevent the unauthorised diversion of water into or from water channels
The Wycheproof-Charlton Channel has been decommissioned by Grampians Wimmera Mallee Water.
The land is also impacted by the Floodway Overlay, the purpose of which is to:
- To implement the State Planning Policy Framework and the Local Planning Policy Framework, including the Municipal Strategic Statement and local planning policies.
- To identify waterways, major floodpaths, drainage depressions and high hazard areas which have the greatest risk and frequency of being affected by flooding.
- To ensure that any development maintains the free passage and temporary storage of floodwater, minimises flood damage and is compatible with flood hazard, local drainage
conditions and the minimisation of soil erosion, sedimentation and silting.
- To reflect any declarations under Division 4 of Part 10 of the Water Act, 1989 if a declaration has been made.
- To protect water quality and waterways as natural resources in accordance with the provisions of relevant State Environment Protection Policies, and particularly in accordance with Clauses 33 and 35 of the State Environment Protection Policy (Waters of Victoria).
- To ensure that development maintains or improves river and wetland health, waterway protection and flood plain health.
The North Central Catchment Management Authority was a statutory referral for the proposed planning application and had no objection to the planning permit being issued. They did indicate that the land may become inundated from Wooroonook Lake in the event of a 1%AEP event.
Relevant State planning polices
15.03-2 Aboriginal cultural heritage
Objective
To ensure the protection and conservation of places of Aboriginal cultural heritage significance.
Strategies
- Identify, assess and document places of Aboriginal cultural heritage significance, in consultation with relevant Registered Aboriginal Parties, as a basis for their inclusion in the planning scheme.
- Provide for the protection and conservation of pre- and post-contact Aboriginal cultural heritage places.
- Ensure that permit approvals align with recommendations of a Cultural Heritage Management Plan approved under the Aboriginal Heritage Act 2006.
Policy guidelines
Planning must consider as relevant:
- The Aboriginal Heritage Act 2006 for all Aboriginal cultural heritage.
- The findings and recommendations of the Aboriginal Heritage Council.
- The findings and recommendations of the Victorian Heritage Council for post-contact Aboriginal heritage places where relevant.
-
The site is within or affected by one or more areas of cultural heritage sensitivity.
17.03-1 Facilitating tourism
Objective
To encourage tourism development to maximise the employment and long-term economic, social and cultural benefits of developing the State as a competitive domestic and international tourist destination.
Strategies
- Seek to ensure that tourism facilities have access to suitable transport and be compatible with and build upon the assets and qualities of surrounding urban or rural activities and cultural and natural attractions.
Policy guidelines
Planning must consider as relevant:
- Tourism Investment Guidelines – Your Guide to Tourism Investments in Victoria
(Tourism Victoria, 2008), in considering applications for tourist development.
- Any relevant regional tourism development strategy.
The proposed planning permit seeks a three year permit that would see an annual music and arts festival with attendance of between 10,000 – 15,000 patronage. The associated personnel with that including emergency management officers, security guards, first aiders etc would be a significant financial increase to surrounding townships.
Relevant Local planning policies
21.03 ENVIRONMENT AND NATURAL RESOURCES
Overview
The natural environment of the Buloke Shire is highly modified as a result of settlement and agriculture. The environment has many aspects of significance which need to be protected, for example remnant vegetation along roadsides, watercourses and rivers, and significant wetlands such as Lake Buloke, Lake Tyrrell and the Wooroonook Lakes.
Key Issues
- Protecting biodiversity, native vegetation and natural landscape values in the municipality.
21.03-2 Conservation of environmental values
Objective 1
To conserve remnant native vegetation and protect biodiversity throughout the municipality.
Strategies
- Discourage native vegetation removal and promote native revegetation where practicable.
- Protect remnant native vegetation and habitat along roadsides and waterways.
- Encourage the protection and enhancement of remnant native vegetation as a condition of land use and development approvals, where appropriate, and through the development of linkages between existing areas of native vegetation.
- Manage road works and other activity within road reserves to minimise impacts on remnant native vegetation.
-
Objective 2
To conserve the environmental values of waterways and wetlands, including Lake Buloke, Lake Tyrrell and the Wooroonook Lakes.
Strategies
- Prevent inappropriate vegetation removal and waste water disposal and earthworks that detrimentally affect waterways and wetlands.
- Promote the use of existing serviced areas for new development, and discourage expansion into areas of environmental sensitivity.
- Discourage the removal of native vegetation from waterways.
When deciding on a planning application that may impact on the conservation of environmental values, considering, as appropriate:
- The need for a detailed site analysis to assess environmental impacts and the suitability of the land for the proposal.
- Incorporating measures to minimise the impact on remnant vegetation, including dead and hollow bearing trees.
- The provision of areas of open space directly adjacent to existing vegetation or areas of public land.
- Avoiding the clearance of high value remnant vegetation, including any broad vegetation type, ecological vegetation class of floristic community or subcommunity which is classified as depleted, rare or endangered.
- The advice of the Department of Environment and Primary Industries and the relevant catchment management authority where the land includes remnant vegetation, including grasslands and wetlands.
- Consistency with applicable regional vegetation plans and the recommendations of catchment-based strategies in relation to vegetation and habitat.
- Where the land has been identified as containing the habitat of a Victorian Rare and Threatened Flora or Fauna species, the advice of the Department of Environment and Primary Industries to determine whether, and under what conditions, the proposal should proceed.
- The importance of retaining remnant vegetation and habitat corridors in areas identified as habitat for Victorian Rare and Threatened Flora or Fauna species.
- The benefits of requiring the fencing pockets of remnant vegetation or the provision of vegetation corridors between pockets of remnant vegetation as conditions of approval.
- Any relevant catchment management strategy, to promote integrated farm management, environmental protection, vegetation and habitat enhancement, appropriate water use and the protection of waterways.
The planning permit application is located in an area specifically described within the local policy regarding conservation of waterways and wetlands. The site is used for recreational purposes by surrounding communities however there has been insufficient evidence provided that the impact of the proposed use and development will not be detrimental to the site.
Objections:
One objection was received by Council from a neighbouring person. The objection raised a number of issues including;
- The
noise emanating from the proposal
Inadequate security
- Traffic Management
- Financial implications to council if applicant did not comply
- Environmental
impact to the site
Bio security concerns in relation to human effluent in the lake and surrounding
woodlands
- Aboriginal Heritage impacts
- Insufficient time for objectors to take adequate action
Council planning officers had discussion with the objector on Monday 18 January 2016 and were unable to find conditions that could be agreed upon that would allow for the objection to be withdrawn.
Key issues:
Insufficient time:
This report is before Council because a notice of decision is required. The applicant has requested use of the site for set up from two weeks prior to the event start on Friday 11 March 2016 and ten days pack down post the event closes on Monday 14 March 2016. This would mean the use and development of the site would commence Thursday 28 February 2016. As the decision requires ratification by Council, and an objection has been received, it must be presented at the Wednesday 10 February 2016 Council meeting as the Wednesday 9 March 2016 meeting would be after the use and development had commenced and the use would start before any notice of decision period had concluded.
The planning process timing was made clear to the applicant in writing on five occasions and on three occasions verbally.
Traffic
The further information request required a detailed traffic management report in draft form and plans that considered traffic movement, traffic volumes and signage for all roads, Council controlled, VicRoads and internal including any requirements to upgrade access points.
Council received a Traffic Guidance Scheme on the 8 October 2015 and a Traffic Management Plan on the 21 December 2015.
The Traffic Management Plan was referred internally to the Council Department of Works and Construction and as a Section 55 to VicRoads because the Wycheproof- St Arnaud Road is a Road Zone 1.
VicRoads responded with no objections subject to conditions including:
- A Memorandum of Authorisation and a Traffic Management Plan must be prepared and implemented by a VicRoads pre-qualified company and submitted to VicRoads for approval.
- The event must not be held without traffic management in place described in the VicRoads signed MoA.
- Any future events organised by the applicant at the proposed site 1433 Borung Highway, Wooroonook, must be referred to VicRoads.
At the previous event held at this site, the traffic entered from the northern entrance on the Borung Highway, the current planning permit application proposes entrance from the eastern boundary however as a consequence of the DELWP advice received from Council on 29 January 2016, the traffic management controls would need significant alteration as the proposed entrance is no longer available.
Waste management
The Council Planning Department has repeatedly requested information in relation to waste management on the site. Specifically information has been sought in relation to waste collection and disposal and the effect of waste on the water, flora, fauna and soil. This is due to the number of proposed patrons and the environmentally sensitive nature of the site.
An environmental management plan prepared on behalf of the applicant by a suitably qualified ecologist was lodged with council on the 17 December 2015 detailing the potential environmental impacts of the proposed use. It continuously refers to a Waste Management Plan, however this document has not been sighted by Council planning officers. A copy was specifically requested in the letter sent on the 13 January 2016.
The environmental management report (page 6) and event plan both refer to portable toilets and urinals provided by an experienced private contractor, however on page 8 of the report and in stakeholder meetings the applicant has indicated that composting toilets will be used on site for the festival patrons.
The proposed site has a waterway used for recreational purposes and insufficient information has been provided to Council to demonstrate that appropriate waste management controls are in place to mitigate the exposure of the site to effluent.
Environmental Management
The application does not include native vegetation removal, however in the information provided by the applicant including page 8 of the Environmental Management Plan there is reference to the limited and selected removal of tree limbs to ensure the safety of patrons. The event is proposed to be held in a vegetated area in which there are many large, old trees providing canopy resources and hollows.
The potential affects on the flora onsite include;
- Potential root damage around the staging area as a result of trenching or impacts to eucalypt seedlings or Lingnum growth.
- Camping throughout the site could disturb habitat logs scattered throughout the site although the no fires policy proposed on site will stem the collection of firewood.
- The riparian margin around the waterway is particularly sensitive due to the soft ground and high rate of erosion. The environment needs to be maintained for ecosystems. It is proposed that entrance to the lake for swimming be in a designated area to decrease potential impacts.
The potential affects on the fauna onsite include:
- The noise and lights associated with staging and trenching will disturb native fauna, the activities on the stage including noise and lights will have the most effect at night when nocturnal fauna rely on sight and sound.
- Provided habitat sources are not disturbed camping should have little effect on fauna
- Swimming in the lake will disturb soil and decrease water quality which could impact on the fauna in the lake.
Consent from the owner to carry out the land use
Council is the Committee of Management for the Crown Allotments 67 E, F and G. In order for the event to take place, Council will need to consent to a 17B Crown Licence to use the land. A decision to grant or refuse the Section 17B Crown Licence will be made at the 10 February 2016 Council meeting.
Parks Victoria, as the manager of the land at Crown Allotment 67D on DELWP’s behalf, were consulted in preparation of the response from DELWP.
As the adjoining land owner the Department of Environment, Land, Water and Planning objects to the inclusion of part of the Wooroonook Lakes (Middle and East) Wildlife Reserve for the proposed festival area.
The Reserve is managed primarily to conserve native fauna and flora values, as well as providing informal opportunities for duck hunting. In particular, both endangered and vulnerable Ecological Vegetation Classes occur in sections of the Reserve adjacent to the proposed festival site. The Reserve is also covered by an Aboriginal Cultural Sensitivity Overlay, indicating potential for Aboriginal sites and relics within the general area.
Given these significant values the Department of Environment, Land, Water and Planning as the public land manager for Crown Allotments 67D, Parish of Wooronook will not provide consent for the use and development of a place of assembly for an arts and music festival and objects to the issue of a permit over Crown Allotment 67D.
Preliminary works have been commenced by the applicant without the approval of the land managers.
Emergency management
There has been minimal community consultation that Council has been involved with aside from Notice of the Application.
As the locally circulating newspaper was closed down for the Christmas period the application was advertised with a sign on site and letters were sent to all properties within a three kilometre radius of the lake, with twenty –two properties notified.
As part of the application put forward a community engagement plan was provided which indicated that the festival organisers had engaged the Charlton Forum to run monthly meetings which incorporated plans for the event. No information has been provided about the content of these meetings.
The applicant also advised that they would run advertisements in the local newspaper from November 2015 about the event. No evidence of this has been provided and the locally circulating newspaper, the North Central News has no evidence of advertisements or notifications.
There have been four stakeholder meetings involving Victoria Police, Country Fire Authority, Ambulance Victoria, Buloke Shire Council, Event Organisers and their contracted agencies. These meetings have been focused on the emergency management preparations for the event.
6. Internal Consultation
Internal consultation has taken place with the Works and Technical Services Department in relation to the protection of Council assets on site and access routes.
Consultation has also taken place between the building and environmental health officers in relation to their statutory requirements. No relevant permits have been sought from either department.
7. Legislative / Policy Implications
The planning permit application has several legislative implications.
The first is consideration of the planning permit application as per the Planning and Environment Act 1987 and specifically the Buloke Planning Scheme. This is thoroughly summarised in the discussion section of the report.
The second is the Aboriginal Heritage Act 2006 and the requirements for a Cultural Heritage Management Plan. This is also elaborated on with in the discussion section of the report.
8. Environmental Sustainability
The discussion section of the report elaborates on the environmental affects of the proposed use, however the event has both flora and fauna impacts and the proposed density of camping and persons has not demonstrated that it would be environmentally sustainable. Preliminary works have been commenced by the applicant without the approval of the land managers.
9. Conflict of Interest Considerations
No officer who prepared this report has a conflict of interest.
10. Conclusion
It is recommended that a Notice of Decision to Refuse planning permit application 636/15 be issued on the basis that there is insufficient information provided by the applicant in relation to waste management, protection of the environment, traffic management and owners consent to use the land as well as no approved Cultural Heritage Management Plan.
Buloke Shire Council Ordinary Meeting Minutes Wednesday, 10 February 2016
8.2.2 Planning permit application 636/15 - Use and development of a place of Assembly (Music and Arts Festival)
Attachment 1 First request for further information


Buloke Shire Council Ordinary Meeting Minutes Wednesday, 10 February 2016
8.2.2 Planning permit application 636/15 - Use and development of a place of Assembly (Music and Arts Festival)
Attachment 2 Second request for further information

Buloke Shire Council Ordinary Meeting Minutes Wednesday, 10 February 2016
8.2.2 Planning permit application 636/15 - Use and development of a place of Assembly (Music and Arts Festival)
Attachment 3 Third request for further information

Buloke Shire Council Ordinary Meeting Minutes Wednesday, 10 February 2016
|
Adjournment |
|
That the meeting be adjourned.
Seconded: Cr Graeme Milne Carried. |
The meeting was adjourned at 8.00 pm.
|
That the meeting be resumed at 8.16pm.
Seconded: Cr Stuart McLean Carried. |
The meeting resumed at 8.16 pm
7. Procedural Items
7.1 Report on Assemblies of Councillors
Author’s Title: Executive Assistant
Department: Office of the CEO File No: GO/05/04
|
That Council adopts the records of the Councillor Briefing held 2 December 2015 and Assembly of Councillors held 2 December 2015.
Seconded: Cr Leo Tellefson Carried. |
1. Key Points/Issues
The Local Government Act 1989 (the Act) provides that a record must be kept of any meeting of Councillors and staff deemed to be an Assembly of Councillors as defined in the Act.
The Act also provides that the record of any Assembly of Councillors is to be reported to the next practicable Ordinary Meeting of Council and recorded in the Minutes.
A record of the Councillor Briefing held on 2 December 2015 and the Assembly of Councillors held on 2 December 2015 is attached.
Buloke Shire Council Ordinary Meeting Minutes Wednesday, 10 February 2016
7.1 Report on Assemblies of Councillors
Attachment 1 Assembly of Councillors - 2 December 2015
RECORD
Assembly of Councillors
|
Date and Time: |
2 December 2015 |
Time: 4.00pm to 5.00pm |
|
Location: |
Township of Charlton |
|
Attendees: |
Cr Reid Mather – Mayor Cr David Pollard Cr Ellen White Cr Leo Tellefson Cr Gail Sharp Cr Graeme Milne Cr Stuart McLean
John Hicks – Chief Executive Officer Mark Remnant – Community Development Officer Glenn Berry – Acting Director of Works and Technical Services |
|
Apologies: |
|
ITEMS
|
NO. |
TOPIC |
ACTIONS |
|
1. |
Conflicts of Interest |
Nil. |
|
2. |
Tour of Charlton township with representatives from Charlton Forum |
|
Buloke Shire Council Ordinary Meeting Minutes Wednesday, 10 February 2016
7.1 Report on Assemblies of Councillors
Attachment 2 Councillor Briefing - 2 December 2015

7.2 Building Permits - Monthly Update
Author’s Title: Compliance Administration Officer
Department: Planning and Community Support File No: DB/14/02
|
Nil |
|
That Council notes information contained in the report on Building Permits approved by staff from 1 December 2015 to 31 January 2016.
Seconded: Cr Gail Sharp Carried. |
1. Executive Summary
This report provides information on Building Permits approved by staff from 1 December 2015 to 31 January 2016.
2. List of Building Permits Approved by Council Surveyor
|
Permit No. |
Address |
Project Description |
Value |
Date Approved |
|
20150076/2 |
941
Yeungroon-Coonooer Road |
Other: Wind Turbine Towers |
$2,880,036 |
3/12/2015 |
|
20150091 |
Morrison Street, BIRCHIP |
New Building: Clubrooms |
$75,000 |
03/12/2015 |
|
20150092 |
10 View Street, CHARLTON |
New Building: Shed |
$30,000 |
03/12/2015 |
|
20150093 |
271 Broadway, WYCHEPROOF |
Alteration: Construction of a Firewall |
$20,766 |
03/12/2015 |
|
20150094 |
94 Elliots Road, BIMBOURIE |
Other: Swimming Pool & Safety Barrier |
$41,500 |
10/12/2015 |
|
20150095 |
Racecourse Road, DONALD |
New Building: Storage Shed & Lunch Room |
$130,927 |
09/12/2015 |
|
20150096 |
48 Mildura Way, CHARLTON |
New Building: Veranda addition to dwelling |
$11,700 |
10/12/2015 |
|
Permit No. |
Address |
Project Description |
Value |
Date Approved |
|
20150097 |
18 Waugh Street, CHARLTON |
New Building: Carport |
$11,800 |
10/12/2015 |
|
20150098 |
4 Learmonth Street, CHARLTON |
New Building: Storage Shed |
$23,837 |
10/12/2015 |
|
20150099 |
13 Enterprise Drive, DONALD |
New Building: Warehouse |
$14,146 |
17/12/2015 |
|
20150105 |
442 Broadway, WYCHEPROOF |
Extension: Veranda |
$2,750 |
1/12/2015 |
3. List of Building Permits Approved by Private Surveyors
|
Permit No. |
Address |
Project Description |
Value |
Date Approved |
|
20150100 |
131 High Street, CHARLTON |
New Building: Dwelling, Carport, Shed & Veranda |
$200,000 |
10/12/2015 |
|
20150101 |
19 Grandview Street, WYCHEPROOF |
Other: Fire Panel Replacement |
$ 85,765 |
8/10/2015 |
|
20150102 |
15 Kaye Street, CHARLTON |
Re-Stump: Re-Stump Dwelling |
$ 8,990 |
16/12/2015 |
|
20150103 |
7-21 Mount Street, WYCHEPROOF |
New Building: Veranda |
$ 15,200 |
11/12/2015 |
|
20150104 |
207 Woods Street, DONALD |
Re-Stump: Re-Stump Dwelling |
$ 14,500 |
2/12/2015 |
|
20150106 |
87 Yeungroon Road, YEUNGROON |
Extension: Motor Room |
$141,306 |
14/12/2015 |
7.3 Planning Applications Received - Monthly Update
Author’s Title: Manager Planning and Community Support
Department: Planning and Community Support File No: lp/09/01
|
Nil |
|
That Council notes information contained in the report on planning applications under consideration by staff and the status of each of these applications.
Seconded: Cr Ellen White Carried. |
1. Executive Summary
This report advises provides information on planning applications under consideration by staff and the status of each of these applications.
2. List of Planning Applications
|
Application No |
Applicant |
Address |
Date Rec |
Summary of Proposal |
Status |
|
642/15 |
C Stewart |
Crown Allotment 112A Parish of Buckrabanyule |
09/12/2015 |
Use and development of a dwelling |
Objections received |
|
643/16 |
Price Merret Consulting |
3622 Sunraysia Hwy, Donald |
06/01/2016 |
Two Lot Subdivision |
Notice of Application |
|
644/16 |
G Ellis |
59 Plumption Road, Charlton |
23/12/2015 |
Use and development (extension of Intensive animal husbandry sheds) |
Notice of Application |
|
645/16 |
G Donald |
Lot 2 Plan Number 98403, Parish of Donald |
06/01/2016 |
Use and development of a Broiler Farm |
Referral |
7.4 Letters of Congratulations and Recognition of Achievement/Awards
Author’s Title: Executive Assistant
Department: Office of the CEO File No: CR/13/01
|
Nil |
|
That Council acknowledges and congratulates the persons and groups mentioned in the report for their achievements.
Seconded: Cr Graeme Milne Carried. |
1. Executive Summary
This report acknowledges and congratulates community persons and groups for their success in being recognised for significant achievements or receiving an award.
The report also informs Council of any letters of congratulations or any particular recognition of achievement that Council has received or been awarded in the past month.
2. Recognition of Achievement Items
|
Provider |
Recipient |
Date |
Purpose for Recognition |
|
Swan Hill No 411 Squadron Australian Air Force Cadets |
Thomas Pollard Wycheproof |
|
Recipient of the Jack McMahon Cadet of the Year Award (named in honour of the local Warrant Officer pilot whose World War 2 service with the 456 (Mosquito) Squadron included action in Europe and along the British coastline). This award recognises the Cadet who has performed every aspect of Cadet life to the fullest throughout the year. |
|
NextGen Exhibition Opening – Art Gallery of Ballarat |
Meg Cashin Donald |
29 January 2016 |
Winner of the creative framing award at recent NextGen Exhibition in Ballarat, featuring the most outstanding works from students from Ballarat/Grampians region, who have just completed VCE studies in Art, Studio Arts, Design and Technology, Visual Communication and Design and Media. |
|
Provider |
Recipient |
Date |
Purpose for Recognition |
|
Buloke Shire Council |
John Fraser |
1 February 2016 |
70th anniversary of continuous business in Donald after opening his radio sales and services business in 84 and 35 Woods Street, Donald on 1 February 1946. |
Buloke Shire Council Ordinary Meeting Minutes Wednesday, 10 February 2016
8.1.1 Election Caretaker Policy
Author’s Title: Director Corporate Services
Department: Corporate Services File No: Gov
Relevance to Council Plan 2015 - 2019
Strategic Objective: An organisation that is responsibly governed with a strong emphasis on sustainable financial and risk management.
|
That Council adopts the Election Caretaker Policy with the policy to be brought back to Council at its September Ordinary Meeting.
Seconded: Cr David Pollard Carried. |
1. Executive Summary
Following recent amendments to the Local Government Act 1989, Council is required to put in place a policy which will govern the behaviour of Councillors during the Caretaker period of 32 days prior to the election. This policy complements the Councillor Code of Conduct and reinforces the requirements of Councillors under the Local Government Act 1989.
2. Financial Implications
There are no financial implications in relation to this report.
3. Cost Shift Considerations
There are no cost shift considerations from this report.
4. Community Consultation
Community consultation is not required but this policy will appear on Council’s website with other Council election material.
5. Internal Consultation
No internal consultation is required.
6. Legislative / Policy Implications
This policy ensures Council meets its requirements according to the Local Government Act 1989.
7. Conflict of Interest Considerations
The officer presenting this report and policy for adoption has no conflict of interest.
8. Conclusion
The adoption of the Election Caretaker Policy ensures good governance during the 2016 elections and compliance to the Local Government Act 1989.
Buloke Shire Council Ordinary Meeting Minutes Wednesday, 10 February 2016
8.1.1 Election Caretaker Policy
Attachment 1 Election Caretaker Policy







Author’s Title: Director Corporate Services
Department: Corporate Services File No: CM/14/02
|
Nil |
Relevance to Council Plan 2015 - 2019
Strategic Objective: An organisation that is responsibly governed with a strong emphasis on sustainable financial and risk management.
|
That Council rescinds the following policies: · Street, Road, Park and Reserve Tree Policy · Light Fleet Management Policy · Investment Policy · Asset Revaluation Policy · Asset Capitalisation Policy · Depreciation Policy · Finance Reporting Compliance · Annual Budget Policy · Media Policy · Accessing Private Property Policy · Privacy Policy – Health Records Act · Plant and Equipment Policy · Plant – Operation of Council Plant by Non-Council Personnel (Hirers/Volunteers) · School Bus Routes – Issue of Certificates · Street/Road Name/Signs – Approval/Erection of signs.
Seconded: Cr Gail Sharp Carried. |
1. Executive Summary
In the past all policies were brought to Council for adoption. Often these policies were operational in nature or concerned staffing issues. Some of these policies were adopted many years ago and have failed to be reviewed and have been replaced with other council adopted documents without being rescinded. There are further policies which directly reference legislation and standards without adding any further information or direction. Many of these policies are out of date and would need constant work to maintain.
This report rescinds policies that are operational, concern staffing issues or have subject matter contained in other adopted council documents.
2. Discussion
In the past Council has adopted many polices which have been operational in nature rather than being legislative or strategic. The following policies have been identified for rescission by Council but will still remain in place as operational documents.
Street, Road, Park and Reserve Tree Policy: This policy is operational in nature rather than strategic and as such is an internal policy.
Light Fleet Management Policy: This policy has been reviewed by the Senior Management Team and all references to Councillors have been removed making this a staff based policy. As a staff based policy it is the responsibility of the Chief Executive Officer. Councillor use of vehicles is also covered in the Councillor Code of Conduct and the Councillor Expenses Entitlement Policy.
Investment Policy: This policy is a combination of legislative requirements and accounting standards. As Council must adhere to these it is not necessary to have a standalone policy. A statement concerning levels of investment etc. will be incorporated into the assumptions for the Strategic Resource Plan.
Asset Revaluation Policy: This policy is a combination of legislative requirements and accounting standards. As Council must adhere to these it is not necessary to have a standalone policy. A statement concerning Asset Revaluation will be incorporated into the assumptions for the Strategic Resource Plan.
Asset Capitalisation Policy: This policy is a combination of legislative requirements and accounting standards. As Council must adhere to these it is not necessary to have a standalone policy. A statement concerning the Capitalisation of Assets will be incorporated into the assumptions for the Strategic Resource Plan.
Depreciation Policy: This policy is a combination of legislative requirements and accounting standards. As Council must adhere to these it is not necessary to have a standalone policy. A statement concerning the Depreciation of Assets will be incorporated into the assumptions for the Strategic Resource Plan.
Finance Reporting Compliance: This policy is a combination of legislative requirements and accounting standards. As Council must adhere to these it is not necessary to have a standalone policy. A statement concerning the Financial Reporting will be incorporated into the Strategic Resource Plan.
Annual Budget Policy: This policy is a combination of legislative requirements and accounting standards. As Council must adhere to these it is not necessary to have a standalone policy. A statement concerning the Annual Budget process will be incorporated into the Strategic Resource Plan.
Media Policy: This policy was written in 2002 and a review of this policy never occurred. In the interim Council developed Codes of Conduct for both Councillors and Staff. These Codes of Conduct are very specific in relation to the role of Staff and Councillors in dealings with the media. This being the case there is no longer the requirement for a separate Media Policy which potentially could lead to conflict between policies and procedures.
Accessing Private Property Policy: This policy is covered by legislation and through Council appointing authorised officers. As such there is no requirement for this policy. By Council having this policy, there is a potential for conflict to occur between the policy and legislation.
Privacy Policy – Health Records Act: This policy covers material that is covered by legislation and also by Council delegations. As such there is no requirement for this policy. By Council having this policy, there is a potential for conflict to occur between the policy and legislation.
Plant and Equipment Policy: This is an internal policy concerning how we manage our plant and equipment. The policy and supporting procedures will be adopted by the Senior Management Team
Plant – Operation of Council Plant by Non-Council Personnel (Hirers/Volunteers): Council does not hire out plant nor allow its use by volunteers and thus this policy should be rescinded
School Bus Routes – Issue of Certificates: This is an operational procedure which is addressed through legislation
Street/Road Name/Signs – Approval/Erection of Signs: This is an operational procedure which is addressed through legislation.
3. Financial Implications
There are no financial implications in relation to this report.
4. Cost Shift Considerations
There are no cost shift implications from this report.
5. Community Consultation
The policies are internal in nature with very little impact or change for the community.
6. Internal Consultation
Various departments of Council have been requested to review their policies to be updated where appropriate.
7. Legislative / Policy Implications
Council will continue to adhere to appropriate legislation.
8. Conflict of Interest Considerations
No officer involved in the preparation of this report has a conflict of interest.
9. Conclusion
Council has previously adopted policies concerning operational and staff based matters or matters that addressed by legislation and other requirements. This report recommends their rescission.
8.1.3 Review of Instrument of Delegation
Author’s Title: Director Corporate Services
Department: Corporate Services File No: LG/10/04
Relevance to Council Plan 2015 - 2019
Strategic Objective: An organisation that is responsibly governed with a strong emphasis on sustainable financial and risk management.
|
That Council in the exercise of the powers conferred by Section 98(1) of the Local Government Act 1989 and any other Act, regulation or local law referred to in the attached Instrument of Delegation from Council to Designated Members of Council Staff, Buloke Shire Council resolves that:
(a) There be delegated to the members of Council staff holding, acting or in performing the duties of the offices or positions referred to in the attached Instrument of Delegation to Members of Council staff, the powers, duties and functions set out in that instrument, subject to the conditions and limitations specified in that Instrument.
(b) The Instrument comes into force immediately upon the Common Seal of Council being affixed to the Instrument.
(c) On the coming into force of the Instrument all previous delegations to members of Council staff (other than the Chief Executive Officer) are revoked.
(d) The duties and functions set out in the Instrument must be performed and the powers set out in the instruments must be executed, in accordance with any Council policies or guidelines as adopted from time to time.
Seconded: Cr Graeme Milne Carried. |
1. Executive Summary
Many Council decisions are not made at Council meetings. In view of the range of legislative and regulatory responsibilities of Local Government it would not be possible for the sector to function effectively if this was the case. Instead, decision-making power can be delegated to special committees or to members of Council staff. The nature and extent of these delegations are controlled through formal Instruments of Delegation.
Delegations are different from authorisations. The decision of a delegate of Council is “deemed” to be a decision by Council. The decision by a person appointed by Council to a statutory position, for example, an Authorised Officer, is not. That person’s powers and responsibilities are quite distinct from those of Council.
Delegations should be updated following any change to the organisational structure where the structure has an impact on the positions named within existing delegations and also when there have been any changes to legislation. In this case there have been changes to the structure of Corporate Services area and also a few minor changes to the Planning and Environment Act which also take affect from 1 January 2016.
This Report sets out the Instrument of Delegation from Council to Staff (S6).
2. Financial Implications
There are no financial implications arising from this change.
3. Cost Shift Considerations
There are no cost shifting implications arising from this change
4. Community Consultation
Following adoption by Council this Instrument of Delegation will be available to the public via Council’s web site
5. Internal Consultation
Relevant staff will be notified of their delegations following adoption by Council.
6. Legislative / Policy Implications
This document is in accordance with section 98(1) of the Local Government Act 1989.
7. Environmental Sustainability
Not Applicable
8. Conflict of Interest Considerations
No officer involved in the preparation of this report has a conflict of interest.
9. Conclusion
Changes to the Instrument of Delegation will occur on a regular basis. This report takes into account changes to the organisational structure and changes to legislation and recommends appropriate changes to the Instrument of Delegation from Council to Staff (S6).
Buloke Shire Council Ordinary Meeting Minutes Wednesday, 10 February 2016
8.1.3 Review of Instrument of Delegation
Attachment 1 Instrument of Delegation
S6. Instrument of Delegation - Members of Staff
Preamble
Instrument of
Delegation
In exercise of the power conferred by section 98(1) of the Local Government Act
1989 and the other legislation referred to in the attached Schedule, the
Council:
1. delegates each duty and/or function and/or power described in column 1 of
the Schedule (and summarised in column 2 of the Schedule) to the member of
Council staff holding, acting in or performing the duties of the office or
position described opposite each such duty and/or function and/or power in
column 3 of the Schedule;
2. declares that:
2.1 this Instrument of Delegation is authorised by a resolution of Council
passed on 10 February 2016; and
2.2 the delegation:
2.2.1 comes into force immediately the common seal of Council is affixed to
this Instrument of Delegation;
2.2.2 remains in force until varied or revoked;
2.2.3 is subject to any conditions and limitations set out in sub-paragraph
3.3, and the Schedule; and
2.2.4 must be exercised in accordance with any guidelines or policies which
Council from time to time adopts; and
2.3 the delegate must not determine the issue, take the action or do the act or
thing:
2.3.1 if the issue, action, act or thing is an issue, action or thing which
Council has previously designated as an issue, action, act or thing which must
be the subject of a Resolution of Council; or
2.3.2 if the determining of the issue, taking of the action or doing of the act
or thing would or would be likely to involve a decision which is inconsistent
with a
(a) policy; or
(b) strategy
adopted by Council; or
2.3.3 if the determining of the issue, the taking of the action or the doing of
the act or thing cannot be the subject of a lawful delegation, whether on
account of section 98(1)(a)-(f) (inclusive) of the Act or otherwise; or
2.3.4 the determining of the issue, the taking of the action or the doing of
the act or thing is already the subject of an exclusive delegation to another
member of Council staff.
THE COMMON SEAL of the BULOKE SHIRE )
COUNCIL was hereunto affixed in the presence of: )
................................................Councillor
.................................................Chief Executive Officer
Buloke Shire Council Ordinary Meeting Wednesday, 10 February 2016
8.1.3 Review of Instrument of Delegation
Attachment 1 Instrument of Delegation
· Domestic Animals Act 1994
· Environment Protection Act 1970
· Food Act 1984
· Heritage Act 1995
· Planning and Environment Act 1987
· Rail Safety (Local Operations) Act 2006
· Residential Tenancies Act 1997
· Road Management Act 2004
· Planning and Environment Regulations 2015
· Planning and Environment (Fees) Interim Regulations 2015
· Residential Tenancies (Caravan Parks and Movable Dwellings Registration and Standards) Regulations 2010
· Road Management (General) Regulations 2005
· Road Management (Works and Infrastructure) Regulations 2015
Buloke Shire Council Ordinary Meeting Wednesday, 10 February 2016
8.1.3 Review of Instrument of Delegation
Attachment 1 Instrument of Delegation
· CEO: Chief Executive Officer -
· SAE: Senior Assets Engineer -
· CW: Coordinator Works -
· CAPD: Coordinator Asset Planning & Delivery -
· CTL: Compliance Team Leader -
· DWTS: Director Works & Technical Services -
· EHO: Environmental Health Officer -
· DCS: Director Corporate Services -
· MPCS: Manager Planning & Community Support -
· PO: Planning Officer -
Buloke Shire Council Ordinary Meeting Wednesday, 10 February 2016
8.1.3 Review of Instrument of Delegation
Attachment 1 Instrument of Delegation
S6. Instrument of Delegation - Members of Staff
|
Domestic Animals Act 1994 |
|||
|
Provision |
Item Delegated |
Delegate |
Conditions and Limitations |
|
s.41A(1) |
power to declare a dog to be a menacing dog |
CEO, CTL |
Council may delegate this power to an authorised officer |
|
Environment Protection Act 1970 |
|||
|
Provision |
Item Delegated |
Delegate |
Conditions and Limitations |
|
s.53M(3) |
power to require further information |
EHO, MPCS |
|
|
s.53M(4) |
duty to advise applicant that application is not to be dealt with |
EHO, MPCS |
|
|
s.53M(5) |
duty to approve plans, issue permit or refuse permit |
CEO, CTL, EHO, MPCS |
refusal must be ratified by council or it is of no effect |
|
s.53M(6) |
power to refuse to issue septic tank permit |
EHO, MPCS |
refusal must be ratified by council or it is of no effect |
|
s.53M(7) |
duty to refuse to issue a permit in circumstances in (a)-(c) |
EHO, MPCS |
refusal must be ratified by council or it is of no effect |
|
Food Act 1984 |
|||
|
Provision |
Item Delegated |
Delegate |
Conditions and Limitations |
|
s.19(2)(a) |
power to direct by written order that the food premises be put into a clean and sanitary condition |
EHO |
If section 19(1) applies |
|
s.19(2)(b) |
power to direct by written order that specified steps be taken to ensure that food prepared, sold or handled is safe and suitable |
EHO |
If section 19(1) applies |
|
s.19(4)(a) |
power to direct that an order made under section 19(3)(a) or (b), (i) be affixed to a conspicuous part of the premises, and (ii) inform the public by notice in a published newspaper or otherwise |
EHO |
If section 19(1) applies |
|
s.19(6)(a) |
duty to revoke any order under section 19 if satisfied that an order has been complied with |
EHO, MPCS |
If section 19(1) applies |
|
s.19(6)(b) |
duty to give written notice of revocation under section 19(6)(a) if satisfied that an order has been complied with |
EHO |
If section 19(1) applies |
|
s.19AA(2) |
power to direct, by written order, that a person must take any of the actions described in (a)-(c). |
EHO |
where council is the registration authority |
|
s.19AA(4)(c) |
power to direct, in an order made under s.19AA(2) or a subsequent written order, that a person must ensure that any food or class of food is not removed from the premises |
EHO |
Note: the power to direct the matters under s.19AA(4)(a) and (b) not capable of delegation and so such directions must be made by a Council resolution |
|
s.19AA(7) |
duty to revoke order issued under s.19AA and give written notice of revocation, if satisfied that that order has been complied with |
EHO |
where council is the registration authority |
|
s.19CB(4)(b) |
power to request copy of records |
EHO |
where council is the registration authority |
|
s.19E(1)(d) |
power to request a copy of the food safety program |
EHO |
where council is the registration authority |
|
s.19GB |
power to request proprietor to provide written details of the name, qualification or experience of the current food safety supervisor |
EHO |
where council is the registration authority |
|
s.19M(4)(a) & (5) |
power to conduct a food safety audit and take actions where deficiencies are identified |
EHO |
where council is the registration authority |
|
s.19NA(1) |
power to request food safety audit reports |
EHO |
where council is the registration authority |
|
s.19U(3) |
power to waive and vary the costs of a food safety audit if there are special circumstances |
EHO |
|
|
s.19UA |
power to charge fees for conducting a food safety assessment or inspection |
EHO |
except for an assessment required by a declaration under section 19C or an inspection under sections 38B(1)(c) or 39. |
|
s.19W |
power to direct a proprietor of a food premises to comply with any requirement under Part IIIB |
EHO |
where council is the registration authority |
|
s.19W(3)(a) |
power to direct a proprietor of a food premises to have staff at the premises undertake training or instruction |
EHO |
where council is the registration authority |
|
s.19W(3)(b) |
power to direct a proprietor of a food premises to have details of any staff training incorporated into the minimum records required to be kept or food safety program of the premises |
EHO |
where council is the registration authority |
|
power to register, renew or transfer registration |
EHO |
where council is the
registration authority |
|
|
s.38AA(5) |
power to (a) request further information; or (b) advise the proprietor that the premises must be registered if the premises are not exempt |
EHO |
where council is the registration authority |
|
s.38AB(4) |
power to fix a fee for the receipt of a notification under section 38AA in accordance with a declaration under subsection (1) |
EHO |
where council is the registration authority |
|
s.38A(4) |
power to request a copy of a completed food safety program template |
EHO |
where council is the registration authority |
|
s.38B(1)(a) |
duty to assess the application and determine which class of food premises under section 19C the food premises belongs |
EHO |
where council is the registration authority |
|
s.38B(1)(b) |
duty to ensure proprietor has complied with requirements of section 38A |
EHO |
where council is the registration authority |
|
s.38B(2) |
duty to be satisfied of the matters in section 38B(2)(a)-(b) |
EHO |
where council is the registration authority |
|
s.38D(1) |
duty to ensure compliance with the applicable provisions of section 38C and inspect the premises if required by section 39 |
EHO |
where council is the registration authority |
|
s.38D(2) |
duty to be satisfied of the matters in section 38D(2)(a)-(d) |
EHO |
where council is the registration authority |
|
s.38D(3) |
power to request copies of any audit reports |
EHO |
where council is the registration authority |
|
s.38E(2) |
power to register the food premises on a conditional basis |
EHO |
where council is the registration
authority; |
|
s.38E(4) |
duty to register the food premises when conditions are satisfied |
EHO |
where council is the registration authority |
|
s.38F(3)(b) |
power to require proprietor to comply with requirements of this Act |
EHO |
where council is the registration authority |
|
s.39A |
power to register, renew or transfer food premises despite minor defects |
EHO |
where council is the
registration authority |
|
s.40(2) |
power to incorporate the certificate of registration in one document with any certificate of registration under Part 6 of the Public Health and Wellbeing Act 2008 |
EHO |
|
|
s.40C(2) |
power to grant or renew the registration of food premises for a period of less than 1 year |
EHO |
where council is the registration authority |
|
s.40D(1) |
power to suspend or revoke the registration of food premises |
EHO |
where council is the registration authority |
|
s.43F(6) |
duty to be satisfied that registration requirements under Division 3 have been met prior to registering, transferring or renewing registration of a component of a food business |
EHO |
where council is the registration authority |
|
s.43F(7) |
power to register the components of the food business that meet requirements in Division 3 and power to refuse to register the components that do not meet the requirements |
EHO |
where council is the registration authority |
|
s.46(5) |
power to institute proceedings against another person where the offence was due to an act or default by that other person and where the first person charged could successfully defend a prosecution, without proceedings first being instituted against the person first charged |
CEO, MPCS |
where council is the registration authority |
|
Heritage Act 1995 |
|||
|
Provision |
Item Delegated |
Delegate |
Conditions and Limitations |
|
s.84(2) |
power to sub-delegate Executive Director's functions |
CEO, MPCS |
must obtain Executive Director's written consent first. |
|
Planning and Environment Act 1987 |
|||
|
Provision |
Item Delegated |
Delegate |
Conditions and Limitations |
|
s.4B |
power to prepare an amendment to the Victoria Planning Provisions |
CEO, MPCS, PO |
if authorised by the Minister |
|
s.4G |
function of receiving prescribed documents and a copy of the Victoria Planning Provisions from the Minister |
MPCS, PO |
|
|
s.4H |
duty to make amendment to Victoria Planning Provisions available |
MPCS, PO |
|
|
s.4I |
duty to keep Victoria Planning Provisions and other documents available |
MPCS, PO |
|
|
s.8A(2) |
power to prepare amendment to the planning scheme where the Minister has given consent under s.8A |
MPCS, PO |
|
|
s. 8A(3) |
power to apply to Minister to prepare an amendment to the planning scheme |
MPCS, PO |
|
|
s.8A(5) |
function of receiving notice of the Minister's decision |
MPCS, PO |
|
|
s.8A(7) |
power to prepare the amendment specified in the application without the Minister's authorisation if no response received after 10 business days |
MPCS, PO |
|
|
s.8B(2) |
power to apply to the Minister for authorisation to prepare an amendment to the planning scheme of an adjoining municipal district |
MPCS, PO |
|
|
s.12(3) |
power to carry out studies and do things to ensure proper use of land and consult with other persons to ensure co-ordination of planning scheme with these persons |
CEO, MPCS, PO |
|
|
s.12A(1) |
duty to prepare a municipal strategic statement (including power to prepare a municipal strategic statement under section 19 of the Planning and Environment (Planning Schemes) Act 1996) |
CEO, MPCS, PO |
|
|
s.12B(1) |
duty to review planning scheme |
CEO, MPCS, PO |
Council to ratify |
|
s.12B(2) |
duty to review planning scheme at direction of Minister |
CEO, MPCS, PO |
|
|
s.12B(5) |
duty to report findings of review of planning scheme to Minister without delay |
MPCS, PO |
|
|
s.14 |
duties of a Responsible Authority as set out in subsections (a) to (d) |
MPCS, PO |
|
|
s.17(1) |
duty of giving copy amendment to the planning scheme |
MPCS, PO |
|
|
s.17(2) |
duty of giving copy s.173 agreement |
MPCS, PO |
|
|
s.17(3) |
duty of giving copy amendment, explanatory report and relevant documents to the Minister within 10 business days |
MPCS, PO |
|
|
s.18 |
duty to make amendment etc. available |
MPCS, PO |
|
|
s.19 |
power to give notice, to decide not to give notice, to publish notice of amendment to a planning scheme and to exercise any other power under section 19 to a planning scheme |
MPCS, PO |
Advice to CEO |
|
s.19 |
function of receiving notice of preparation of an amendment to a planning scheme |
MPCS, PO |
where Council is not the
planning authority and the amendment affects land within Council's municipal
district; or |
|
s.20(1) |
power to apply to Minister for exemption from the requirements of section 19 |
MPCS, PO |
|
|
s.21(2) |
duty to make submissions available |
MPCS, PO |
|
|
s.21A(4) |
duty to publish notice in accordance with section |
MPCS, PO |
|
|
s.22 |
duty to consider all submissions |
MPCS, PO |
|
|
s.23(1)(b) |
duty to refer submissions which request a change to the amendment to a panel |
MPCS, PO |
|
|
s.23(2) |
power to refer to a panel submissions which do not require a change to the amendment |
MPCS, PO |
|
|
s.24 |
function to represent council and present a submission at a panel hearing (including a hearing referred to in section 96D) |
CEO, MPCS, PO |
|
|
s.26(1) |
power to make report available for inspection |
MPCS, PO |
|
|
s.26(2) |
duty to keep report of panel available for inspection |
MPCS, PO |
|
|
s.27(2) |
power to apply for exemption if panel's report not received |
CEO, MPCS, PO |
|
|
s.28 |
duty to notify the Minister if abandoning an amendment |
MPCS, PO |
Note: the power to make a decision to abandon an amendment cannot be delegated |
|
s.30(4)(a) |
duty to say if amendment has lapsed |
MPCS, PO |
|
|
s.30(4)(b) |
duty to provide information in writing upon request |
MPCS, PO |
|
|
s.32(2) |
duty to give more notice if required |
MPCS, PO |
|
|
s.33(1) |
duty to give more notice of changes to an amendment |
MPCS, PO |
|
|
s.36(2) |
duty to give notice of approval of amendment |
CEO, MPCS, PO |
|
|
s.38(5) |
duty to give notice of revocation of an amendment |
CEO, MPCS, PO |
|
|
s.39 |
function of being a party to a proceeding commenced under section 39 and duty to comply with determination by VCAT |
CEO, MPCS, PO |
|
|
s.40(1) |
function of lodging copy of approved amendment |
CEO, MPCS, PO |
|
|
s.41 |
duty to make approved amendment available |
MPCS, PO |
|
|
s.42 |
duty to make copy of planning scheme available |
MPCS, PO |
|
|
s.46AS(ac) |
power to request the Growth Areas Authority to provide advice on any matter relating to land in Victoria or an objective of planning in Victoria |
MPCS, PO |
|
|
s.46GF |
duty to comply with directions issued by the Minister |
MPCS |
this provision is not yet in force and will commence on 1 June 2016 unless proclaimed earlier |
|
s.46GG |
duty to include a condition in a permit relating to matters set out in s.46GG(c) and (d) |
MPCS |
this provision is not yet in force and will commence on 1 June 2016 unless proclaimed earlier |
|
s.46GH(1) |
power to require the payment of an amount of infrastructure levy to be secured to Council's satisfaction |
MPCS |
where council is a
collecting agency |
|
s.46GH(2) |
power to accept the provision of land, works, services or facilities in part or full satisfaction of the amount of infrastructure levy payable |
MPCS |
where council is a
collecting agency |
|
s.46GH(3) |
duty to obtain the agreement of the relevant development agency or agencies specified in the approved infrastructure contributions plan before accepting the provision of land, works, services or facilities by the applicant |
MPCS |
where council is a
collecting agency |
|
s.46GI(1) |
duty to keep proper accounts of any amount of infrastructure levy paid to it as a collecting agency or a development agency under part 2 of the Planning and Environment Act 1987 |
MPCS |
must be done in accordance
with Local Government Act 1989. |
|
s.46GI(2) |
duty to forward to a development agency any part of an infrastructure levy paid to council which is imposed for plan preparation costs incurred by development agency or for carrying out of works, services or facilities on behalf of the development agency |
MPCS |
this provision is not yet in force and will commence on 1 June 2016 unless proclaimed earlier |
|
s.46GI(3) |
duty to apply levy amount only in accordance with s.46GI(3) (a) and (b) |
MPCS |
this provision is not yet in force and will commence on 1 June 2016 unless proclaimed earlier |
|
s46GI(4) |
power to refund any amount of infrastructure levy paid to it as a development agency under Part 2 of the Planning and Environment Act 1987 if satisfied that the development is not to proceed |
CEO |
this provision is not yet in force and will commence on 1 June 2016 unless proclaimed earlier |
|
s.46GI(5) |
duty to take action described in s.46GI(5)(c) – (e) where s.46GI(5)(a) and (b) applies. |
MPCS |
this provision is not yet in force and will commence on 1 June 2016 unless proclaimed earlier |
|
s.46GL |
power to recover any amount of infrastructure levy as a debt due to Council |
MPCS |
where council is a
collecting agency |
|
s.46GM |
duty to prepare report and give a report to the Minister |
CEO |
where council is a
collecting agency or development agency |
|
s.46N(1) |
duty to include condition in permit regarding payment of development infrastructure levy |
CEO, MPCS, PO |
|
|
s.46N(2)(c) |
function of determining time and manner for receipt of development contributions levy |
CEO, MPCS, PO |
|
|
s.46N(2)(d) |
power to enter into an agreement with the applicant regarding payment of development infrastructure levy |
CEO, MPCS, PO |
|
|
s.46O(1)(a) & (2)(a) |
power to ensure that community infrastructure levy is paid, or agreement is in place, prior to issuing building permit |
CEO, MPCS, PO |
|
|
s.46O(1)(d) & (2)(d) |
power to enter into agreement with the applicant regarding payment of community infrastructure levy |
CEO, MPCS, PO |
|
|
s.46P(1) |
power to require payment of amount of levy under section 46N or section 46O to be satisfactorily secured |
CEO, MPCS, PO |
|
|
s.46P(2) |
power to accept provision of land, works, services or facilities in part or full payment of levy payable |
CEO, MPCS, PO |
|
|
s.46Q(1) |
duty to keep proper accounts of levies paid |
DCS, MPCS, PO |
|
|
s.46Q(1A) |
duty to forward to development agency part of levy imposed for carrying out works, services, or facilities on behalf of development agency or plan preparation costs incurred by a development agency |
DCS, MPCS, PO |
|
|
s.46Q(2) |
duty to apply levy only for a purpose relating to the provision of plan preparation costs or the works, services and facilities in respect of which the levy was paid etc |
CEO |
|
|
s.46Q(3) |
power to refund any amount of levy paid if it is satisfied the development is not to proceed |
CEO |
only applies when levy is paid to Council as a 'development agency' |
|
s.46Q(4)(c) |
duty to pay amount to current owners of land in the area if an amount of levy has been paid to a municipal council as a development agency for plan preparation costs incurred by the council or for the provision by the council of works, services or facilities in an area under s.46Q(4)(a) |
CEO |
must be done within six
months of the end of the period required by the development contributions
plan and with the consent of, and in the manner approved by, the Minister |
|
s.46Q(4)(d) |
duty to submit to the Minister an amendment to the approved development contributions plan |
CEO, MPCS, PO |
must be done in accordance with Part 3 |
|
s46Q(4)(e) |
duty to expend that amount on other works etc. |
CEO |
with the consent of, and in the manner approved by, the Minister |
|
s.46QC |
power to recover any amount of levy payable under Part 3B |
CEO |
|
|
s.46QD |
duty to prepare report and give a report to the Minister |
CEO |
where council is a
collecting agency or development agency |
|
s.46V(3) |
duty to make a copy of the approved strategy plan (being the Melbourne Airport Environs Strategy Plan) and any documents lodged with it available |
MPCS, PO |
|
|
s.46Y |
duty to carry out works in conformity with the approved strategy plan |
MPCS, PO |
|
|
s.47 |
power to decide that an application for a planning permit does not comply with that Act |
CEO, MPCS, PO |
|
|
s.49(1) |
duty to keep a register of all applications for permits and determinations relating to permits |
MPCS, PO |
|
|
s.49(2) |
duty to make register available for inspection |
MPCS, PO |
|
|
s.50(4) |
duty to amend application |
MPCS, PO |
|
|
s.50(5) |
power to refuse to amend application |
MPCS, PO |
|
|
s.50(6) |
duty to make note of amendment to application in register |
MPCS, PO |
|
|
s.50A(1) |
power to make amendment to application |
MPCS, PO |
|
|
s.50A(3) |
power to require applicant to notify owner and make a declaration that notice has been given |
MPCS, PO |
|
|
s.50A(4) |
duty to note amendment to application in register |
MPCS, PO |
|
|
s.51 |
duty to make copy of application available for inspection |
MPCS, PO |
|
|
s.52(1)(a) |
duty to give notice of the application to owners/occupiers of adjoining allotments unless satisfied that the grant of permit would not cause material detriment to any person |
MPCS, PO |
|
|
s.52(1)(b) |
duty to give notice of the application to other municipal councils where appropriate |
MPCS, PO |
|
|
s.52(1)(c) |
duty to give notice of the application to all persons required by the planning scheme |
MPCS, PO |
|
|
s.52(1)(ca) |
duty to give notice of the application to owners and occupiers of land benefited by a registered restrictive covenant if may result in breach of covenant |
MPCS, PO |
|
|
s.52(1)(cb) |
duty to give notice of the application to owners and occupiers of land benefited by a registered restrictive covenant if application is to remove or vary the covenant |
MPCS, PO |
|
|
s.52(1)(d) |
duty to give notice of the application to other persons who may be detrimentally effected |
MPCS, PO |
|
|
s.52(1AA) |
duty to give notice of an application to remove or vary a registered restrictive covenant |
MPCS, PO |
|
|
s.52(3) |
power to give any further notice of an application where appropriate |
CEO, MPCS, PO |
|
|
s.53(1) |
power to require the applicant to give notice under section 52(1) to persons specified by it |
MPCS, PO |
|
|
s.53(1A) |
power to require the applicant to give the notice under section 52(1AA) |
MPCS, PO |
|
|
s.54(1) |
power to require the applicant to provide more information |
MPCS, PO |
|
|
s.54(1A) |
duty to give notice in writing of information required under section 54(1) |
MPCS, PO |
|
|
s.54(1B) |
duty to specify the lapse date for an application |
MPCS, PO |
|
|
s.54A(3) |
power to decide to extend time or refuse to extend time to give required information |
MPCS, PO |
|
|
s.54A(4) |
duty to give written notice of decision to extend or refuse to extend time und section 54A(3) |
MPCS, PO |
|
|
s.55(1) |
duty to give copy application, together with the prescribed information, to every referral authority specified in the planning scheme |
MPCS, PO |
|
|
s.57(2A) |
power to reject objections considered made primarily for commercial advantage for the objector |
CEO, MPCS, PO |
|
|
s.57(3) |
function of receiving name and address of persons to whom notice of decision is to go |
MPCS, PO |
|
|
s.57(5) |
duty to make available for inspection copy of all objections |
MPCS, PO |
|
|
s.57A(4) |
duty to amend application in accordance with applicant's request, subject to section 57A(5) |
MPCS, PO |
|
|
s.57A(5) |
power to refuse to amend application |
MPCS, PO |
|
|
s.57A(6) |
duty to note amendments to application in register |
MPCS, PO |
|
|
s.57B(1) |
duty to determine whether and to whom notice should be given |
MPCS, PO |
|
|
s.57B(2) |
duty to consider certain matters in determining whether notice should be given |
MPCS, PO |
|
|
s.57C(1) |
duty to give copy of amended application to referral authority |
MPCS, PO |
|
|
s.58 |
duty to consider every application for a permit |
MPCS, PO |
|
|
s.58A |
power to request advice from the Planning Application Committee |
MPCS, PO |
|
|
s.60 |
duty to consider certain matters |
MPCS, PO |
|
|
s60(1A) |
power to consider certain matters before deciding on application |
MPCS, PO |
|
|
s.60(1B) |
duty to consider number of objectors in considering whether use or development may have significant social effect |
DWTS |
|
|
s.61(1) |
power to determine permit application, either to decide to grant a permit, to decide to grant a permit with conditions or to refuse a permit application |
MPCS, PO |
the permit must not be inconsistent with a cultural heritage management plan under the Aboriginal Heritage Act 2006 Review and Approval by CEO |
|
s.61(2) |
duty to decide to refuse to grant a permit if a relevant determining referral authority objects to grant of permit |
MPCS, PO |
|
|
s.61(2A) |
power to decide to refuse to grant a permit if a relevant recommending referral authority objects to the grant of permit |
MPCS, PO |
|
|
s.61(3)(a) |
duty not to decide to grant a permit to use coastal Crown land without Minister's consent |
MPCS, PO |
|
|
s.61(3)(b) |
duty to refuse to grant the permit without the Minister's consent |
CEO, MPCS, PO |
|
|
s.61(4) |
duty to refuse to grant the permit if grant would authorise a breach of a registered restrictive covenant |
CEO, MPCS, PO |
|
|
s.62(1) |
duty to include certain conditions in deciding to grant a permit |
MPCS, PO |
In consultation with CEO and advice to Council |
|
s.62(2) |
power to include other conditions |
MPCS, PO |
|
|
s.62(4) |
duty to ensure conditions are consistent with paragraphs (a),(b) and (c) |
MPCS, PO |
|
|
s.62(5)(a) |
power to include a permit condition to implement an approved development contributions plan |
MPCS, PO |
In consultation with CEO and Council |
|
s.62(5)(b) |
power to include a permit condition that specified works be provided on or to the land or paid for in accordance with section 173 agreement |
MPCS, PO |
In consultation with CEO and Council |
|
s.62(5)(c) |
power to include a permit condition that specified works be provided or paid for by the applicant |
MPCS, PO |
|
|
s.62(6)(a) |
duty not to include a permit condition requiring a person to pay an amount for or provide works except in accordance with section 62(5) or section 46N |
MPCS, PO |
|
|
s.62(6)(b) |
duty not to include a permit condition requiring a person to pay an amount for or provide works except a condition that a planning scheme requires to be included as referred to in section 62(1)(a) |
MPCS, PO |
|
|
s.63 |
duty to issue the permit where made a decision in favour of the application (if no one has objected) |
MPCS, PO |
|
|
s.64(1) |
duty to give notice of decision to grant a permit to applicant and objectors |
MPCS, PO |
this provision applies also to a decision to grant an amendment to a permit - see section 75 |
|
s.64(3) |
duty not to issue a permit until after the specified period |
MPCS, PO |
this provision applies also to a decision to grant an amendment to a permit - see section 75 |
|
s.64(5) |
duty to give each objector a copy of an exempt decision |
MPCS, PO |
this provision applies also to a decision to grant an amendment to a permit - see section 75 |
|
s.64A |
duty not to issue permit until the end of a period when an application for review may be lodged with VCAT or until VCAT has determined the application, if a relevant recommending referral authority has objected to the grant of a permit |
MPCS, PO |
this provision applies also to a decision to grant an amendment to a permit - see section 75A |
|
s.65(1) |
duty to give notice of refusal to grant permit to applicant and person who objected under section 57 |
MPCS, PO |
|
|
s.66(1) |
duty to give notice under section 64 or section 65 and copy permit to relevant determining referral authorities |
MPCS, PO |
|
|
s.66(2) |
duty to give a recommending referral authority notice of its decision to grant a permit |
MPCS, PO |
if the recommending referral authority objected to the grant of the permit or the responsible authority decided not to include a condition on the permit recommended by the recommending referral authority |
|
s.66(4) |
duty to give a recommending referral authority notice of its decision to refuse a permit |
MPCS, PO |
if the recommending referral authority objected to the grant of the permit or the recommending referral authority recommended that a permit condition be included on the permit |
|
s.66(6) |
duty to give a recommending referral authority a copy of any permit which Council decides to grant and a copy of any notice given under section 64 or 65 |
MPCS, PO |
if the recommending referral authority did not object to the grant of the permit or the recommending referral authority did not recommend a condition be included on the permit |
|
s.69(1) |
function of receiving application for extension of time of permit |
MPCS, PO |
|
|
s.69(1A) |
function of receiving application for extension of time to complete development |
MPCS, PO |
|
|
s.69(2) |
power to extend time |
MPCS, PO |
|
|
s.70 |
duty to make copy permit available for inspection |
MPCS, PO |
|
|
s.71(1) |
power to correct certain mistakes |
MPCS, PO |
|
|
s.71(2) |
duty to note corrections in register |
MPCS, PO |
|
|
S.73 |
power to decide to grant amendment subject to conditions |
MPCS, PO |
|
|
S.74 |
duty to issue amended permit to applicant if no objectors |
MPCS, PO |
|
|
S.76 |
duty to give applicant and objectors notice of decision to refuse to grant amendment to permit |
MPCS, PO |
|
|
s.76A(1) |
duty to give relevant determining referral authorities copy of amended permit and copy of notice |
MPCS, PO |
|
|
s.76A(2) |
duty to give a recommending referral authority notice of its decision to grant an amendment to a permit |
MPCS, PO |
if the recommending referral authority objected to the amendment of the permit or the responsible authority decided not to include a condition on the amended permit recommended by the recommending referral authority |
|
s.76A(4) |
duty to give a recommending referral authority notice of its decision to refuse a permit |
MPCS, PO |
if the recommending referral authority objected to the amendment of the permit or the recommending referral authority recommended that a permit condition be included on the amended permit |
|
s.76A(6) |
duty to give a recommending referral authority a copy of any amended permit which Council decides to grant and a copy of any notice given under section 64 or 76 |
MPCS, PO |
if the recommending referral authority did not object to the amendment of the permit or the recommending referral authority did not recommend a condition be included on the amended permit |
|
s.76D |
duty to comply with direction of Minister to issue amended permit |
CEO, MPCS, PO |
|
|
S.83 |
function of being respondent to an appeal |
CEO, MPCS, PO |
|
|
s.83B |
duty to give or publish notice of application for review |
MPCS, PO |
|
|
s.84(1) |
power to decide on an application at any time after an appeal is lodged against failure to grant a permit |
MPCS, PO |
In consultation with CEO |
|
s.84(2) |
duty not to issue a permit or notice of decision or refusal after an application is made for review of a failure to grant a permit |
MPCS, PO |
|
|
s.84(3) |
duty to tell principal registrar if decide to grant a permit after an application is made for review of its failure to grant a permit |
MPCS, PO |
|
|
s.84(6) |
duty to issue permit on receipt of advice within 3 working days |
MPCS, PO |
|
|
s.86 |
duty to issue a permit at order of Tribunal within 3 working days |
MPCS, PO |
|
|
s.87(3) |
power to apply to VCAT for the cancellation or amendment of a permit |
CEO, MPCS, PO |
In consultation with Council |
|
s.90(1) |
function of being heard at hearing of request for cancellation or amendment of a permit |
CEO, MPCS, PO |
|
|
s.91(2) |
duty to comply with the directions of VCAT |
CEO, MPCS, PO |
|
|
s.91(2A) |
duty to issue amended permit to owner if Tribunal so directs |
MPCS, PO |
|
|
s.92 |
duty to give notice of cancellation/amendment of permit by VCAT to persons entitled to be heard under section 90 |
MPCS, PO |
|
|
s.93(2) |
duty to give notice of VCAT order to stop development |
MPCS, PO |
|
|
s.95(3) |
function of referring certain applications to the Minister |
CEO, MPCS, PO |
|
|
s.95(4) |
duty to comply with an order or direction |
CEO, MPCS, PO |
|
|
s.96(1) |
duty to obtain a permit from the Minister to use and develop its land |
CEO, MPCS, PO |
|
|
s.96(2) |
function of giving consent to other persons to apply to the Minister for a permit to use and develop Council land |
MPCS, PO |
|
|
s.96A(2) |
power to agree to consider an application for permit concurrently with preparation of proposed amendment |
MPCS, PO |
|
|
s.96C |
power to give notice, to decide not to give notice, to publish notice and to exercise any other power under section 96C |
MPCS, PO |
|
|
s.96F |
duty to consider the panel's report under section 96E |
CEO, MPCS, PO |
|
|
s.96G(1) |
power to determine to recommend that a permit be granted or to refuse to recommend that a permit be granted and power to notify applicant of the determination (including power to give notice under section 23 of the Planning and Environment (Planning Schemes) Act 1996) |
CEO, MPCS, PO |
In consultation with Council |
|
s.96H(3) |
power to give notice in compliance with Minister's direction |
MPCS, PO |
In consultation with CEO |
|
s.96J |
power to issue permit as directed by the Minister |
MPCS, PO |
|
|
s.96K |
duty to comply with direction of the Minister to give notice of refusal |
MPCS, PO |
|
|
s. 96Z |
duty to keep levy certificates given to it under ss. 47 or 96A for no less than 5 years from receipt of the certificate |
MPCS, PO |
|
|
s.97C |
power to request Minister to decide the application |
MPCS, PO |
In consultation with Council and CEO |
|
s.97D(1) |
duty to comply with directions of Minister to supply any document or assistance relating to application |
MPCS, PO |
|
|
s.97G(3) |
function of receiving from Minister copy of notice of refusal to grant permit or copy of any permit granted by the Minister |
CEO, MPCS, PO |
|
|
s.97G(6) |
duty to make a copy of permits issued under section 97F available for inspection |
MPCS, PO |
|
|
s.97L |
duty to include Ministerial decisions in a register kept under section 49 |
MPCS, PO |
|
|
s.97MH |
duty to provide information or assistance to the Planning Application Committee |
MPCS, PO |
|
|
s.97MI |
duty to contribute to the costs of the Planning Application Committee or subcommittee |
MPCS, PO |
|
|
s.97O |
duty to consider application and issue or refuse to issue certificate of compliance |
MPCS, PO |
|
|
s.97P(3) |
duty to comply with directions of VCAT following an application for review of a failure or refusal to issue a certificate |
CEO, MPCS, PO |
|
|
s.97Q(2) |
function of being heard by VCAT at hearing of request for amendment or cancellation of certificate |
MPCS, PO |
In consultation with CEO and Council |
|
s.97Q(4) |
duty to comply with directions of VCAT |
MPCS, PO |
|
|
s.97R |
duty to keep register of all applications for certificate of compliance and related decisions |
MPCS, PO |
|
|
s.98(1)&(2) |
function of receiving claim for compensation in certain circumstances |
MPCS, PO |
|
|
s.98(4) |
duty to inform any person of the name of the person from whom compensation can be claimed |
MPCS, PO |
|
|
s.101 |
function of receiving claim for expenses in conjunction with claim |
MPCS, PO |
|
|
s.103 |
power to reject a claim for compensation in certain circumstances |
MPCS, PO |
In consultation with CEO |
|
s.107(1) |
function of receiving claim for compensation |
MPCS, PO |
|
|
s.107(3) |
power to agree to extend time for making claim |
CEO, MPCS, PO |
|
|
s.114(1) |
power to apply to the VCAT for an enforcement order |
CEO, MPCS, PO |
In consultation with Council |
|
s.117(1)(a) |
function of making a submission to the VCAT where objections are received |
CEO, MPCS, PO |
|
|
s.120(1) |
power to apply for an interim enforcement order where section 114 application has been made |
CEO, MPCS, PO |
In consultation with Council |
|
s.123(1) |
power to carry out work required by enforcement order and recover costs |
MPCS, PO |
|
|
s.123(2) |
power to sell buildings, materials, etc salvaged in carrying out work under section 123(1) |
CEO |
except Crown Land In consultation with Council |
|
s.129 |
function of recovering penalties |
MPCS, PO |
|
|
s.130(5) |
power to allow person served with an infringement notice further time |
MPCS, PO |
|
|
s.149A(1) |
power to refer a matter to the VCAT for determination |
CEO |
In consultation with Council |
|
s.149A(1A) |
power to apply to VCAT for the determination of a matter relating to the interpretation of a s.173 agreement |
MPCS, PO |
|
|
s.156 |
duty to pay fees and allowances (including a payment to the Crown under subsection (2A)), and payment or reimbursement for reasonable costs and expenses incurred by the panel in carrying out its functions unless the Minister directs otherwise under subsection (2B)power to ask for contribution under subsection (3) and power to abandon amendment or part of it under subsection (4) |
MPCS, PO |
where council is the relevant planning authority |
|
s.171(2)(f) |
power to carry out studies and commission reports |
CEO, MPCS, PO |
|
|
s.171(2)(g) |
power to grant and reserve easements |
CEO, MPCS, PO |
|
|
s.173 |
power to enter into agreement covering matters set out in section 174 |
CEO, MPCS, PO |
In consultation with Council |
|
power to decide whether something is to the satisfaction of Council, where an agreement made under section 173 of the Planning and Environment Act 1987 requires something to be to the satisfaction of Council or Responsible Authority |
CEO, MPCS, PO |
In consultation with Council |
|
|
power to give consent on behalf of Council, where an agreement made under section 173 of the Planning and Environment Act 1987 requires that something may not be done without the consent of Council or Responsible Authority |
CEO, MPCS, PO |
In consultation with Council |
|
|
s.177(2) |
power to end a section 173 agreement with the agreement of all those bound by any covenant in the agreement or otherwise in accordance with Division 2 of Part 9 |
CEO, MPCS, PO |
In consultation with Council |
|
s.178 |
power to amend a s.173 agreement with the agreement of all those bound by any covenant in the agreement or otherwise in accordance with Division 2 of Part 9 |
CEO, MPCS, PO |
In consultation with Council |
|
s.178A(1) |
function of receiving application to amend or end an agreement |
MPCS, PO |
|
|
s.178A(3) |
function of notifying the owner as to whether it agrees in principle to the proposal under s.178A(1) |
MPCS, PO |
|
|
s.178A(4) |
function of notifying the applicant and the owner as to whether it agrees in principle to the proposal |
MPCS, PO |
|
|
s.178A(5) |
power to propose to amend or end an agreement |
MPCS, PO |
|
|
s.178B(1) |
duty to consider certain matters when considering proposal to amend an agreement |
MPCS, PO |
|
|
s.178B(2) |
duty to consider certain matters when considering proposal to end an agreement |
MPCS, PO |
|
|
s.178C(2) |
duty to give notice of the proposal to all parties to the agreement and other persons who may be detrimentally affected by decision to amend or end |
MPCS, PO |
|
|
s.178C(4) |
function of determining how to give notice under s.178C(2) |
MPCS, PO |
|
|
s.178E(1) |
duty not to make decision until after 14 days after notice has been given |
MPCS, PO |
|
|
s.178E(2)(a) |
power to amend or end the agreement in accordance with the proposal |
MPCS, PO |
If no objections are made
under s.178D |
|
s.178E(2)(b) |
power to amend or end the agreement in a manner that is not substantively different from the proposal |
MPCS, PO |
If no objections are made
under s.178D |
|
s.178E(2)(c) |
power to refuse to amend or end the agreement |
MPCS, PO |
If no objections are made
under s.178D |
|
s.178E(3)(a) |
power to amend or end the agreement in accordance with the proposal |
MPCS, PO |
After considering objections, submissions and matters in s.178B |
|
s.178E(3)(b) |
power to amend or end the agreement in a manner that is not substantively different from the proposal |
MPCS, PO |
After considering objections, submissions and matters in s.178B |
|
s.178E(3)(c) |
power to amend or end the agreement in a manner that is substantively different from the proposal |
MPCS, PO |
After considering objections, submissions and matters in s.178B |
|
s.178E(3)(d) |
power to refuse to amend or end the agreement |
MPCS, PO |
After considering objections, submissions and matters in s.178B |
|
s.178F(1) |
duty to give notice of its decision under s.178E(3)(a) or (b) |
MPCS, PO |
|
|
s.178F(2) |
duty to give notice of its decision under s.178E(2)(c) or (3)(d) |
MPCS, PO |
|
|
s.178F(4) |
duty not to proceed to amend or end an agreement under s.178E until at least 21 days after notice has been given or until an application for review to the Tribunal has been determined or withdrawn |
MPCS, PO |
|
|
s.178G |
duty to sign amended agreement and give copy to each other party to the agreement |
MPCS, PO |
|
|
s.178H |
power to require a person who applies to amend or end an agreement to pay the costs of giving notices and preparing the amended agreement |
MPCS, PO |
|
|
s.178I(3) |
duty to notify, in writing, each party to the agreement of the ending of the agreement relating to Crown land |
MPCS, PO |
|
|
s.179(2) |
duty to make available for inspection copy agreement |
MPCS, PO |
|
|
s.181 |
duty to apply to the Registrar of Titles to record the agreement and to deliver a memorial to Registrar-General |
MPCS, PO |
|
|
s.181(1A)(a) |
power to apply to the Registrar of Titles to record the agreement |
MPCS, PO |
|
|
s.181(1A)(b) |
duty to apply to the Registrar of Titles, without delay, to record the agreement |
MPCS, PO |
|
|
s.182 |
power to enforce an agreement |
CEO, MPCS, PO |
|
|
s.183 |
duty to tell Registrar of Titles of ending/amendment of agreement |
MPCS, PO |
|
|
s.184F(1) |
power to decide to amend or end an agreement at any time after an application for review of the failure of Council to make a decision |
MPCS, PO |
|
|
s.184F(2) |
duty not to amend or end the agreement or give notice of the decision after an application is made to VCAT for review of a failure to amend or end an agreement |
MPCS, PO |
|
|
s.184F(3) |
duty to inform the principal registrar if the responsible authority decides to amend or end an agreement after an application is made for the review of its failure to end or amend the agreement |
MPCS, PO |
|
|
s.184F(5) |
function of receiving advice from the principal registrar that the agreement may be amended or ended in accordance with Council's decision |
MPCS, PO |
|
|
s.184G(2) |
duty to comply with a direction of the Tribunal |
MPCS, PO |
|
|
s.184G(3) |
duty to give notice as directed by the Tribunal |
MPCS, PO |
|
|
s.198(1) |
function to receive application for planning certificate |
MPCS, PO |
|
|
s.199(1) |
duty to give planning certificate to applicant |
MPCS, PO |
|
|
s.201(1) |
function of receiving application for declaration of underlying zoning |
MPCS, PO |
|
|
s.201(3) |
duty to make declaration |
MPCS, PO |
|
|
power to decide, in relation to any planning scheme or permit, that a specified thing has or has not been done to the satisfaction of Council |
CEO, MPCS, PO |
||
|
power, in relation to any planning scheme or permit, to consent or refuse to consent to any matter which requires the consent or approval of Council |
CEO, MPCS, PO |
||
|
power to approve any plan or any amendment to a plan or other document in accordance with a provision of a planning scheme or condition in a permit |
CEO, MPCS, PO |
||
|
power to give written authorisation in accordance with a provision of a planning scheme |
CEO, MPCS, PO |
||
|
s.201UAB(1) |
function of providing the Growth Areas Authority with information relating to any land within municipal district |
MPCS, PO |
|
|
s.201UAB(2) |
duty to provide the Growth Areas Authority with information requested under subsection (1) as soon as possible |
MPCS, PO |
|
|
Rail Safety (Local Operations) Act 2006 |
|||
|
Provision |
Item Delegated |
Delegate |
Conditions and Limitations |
|
s.33 |
duty to comply with a direction of the Safety Director under this section |
SAE, CW, CAPD, DWTS |
where council is a utility under section 3 |
|
s.33A |
duty to comply with a direction of the Safety Director to give effect to arrangements under this section |
SAE, CW, CAPD, DWTS |
duty of council as a road authority under the Road Management Act 2004 |
|
s.34 |
duty to comply with a direction of the Safety Director to alter, demolish or take away works carried out contrary to a direction under section 33(1) |
SAE, CW, CAPD, DWTS |
where council is a utility under section 3 |
|
s.34C(2) |
function of entering into safety interface agreements with rail infrastructure manager |
CEO |
where council is the relevant road authority |
|
s.34D(1) |
function of working in conjunction with rail infrastructure manager in determining whether risks to safety need to be managed |
SAE, CAPD, DWTS |
where council is the relevant road authority |
|
s.34D(2) |
function of receiving written notice of opinion |
CEO, DWTS |
where council is the relevant road authority |
|
s.34D(4) |
function of entering into safety interface agreement with infrastructure manager |
CEO |
where council is the relevant road authority |
|
s.34E(1)(a) |
duty to identify and assess risks to safety |
CEO, SAE, CW, CAPD, DWTS |
where council is the relevant road authority |
|
s.34E(1)(b) |
duty to determine measures to manage any risks identified and assessed having regard to items set out in section 34E(2)(a)-(c) |
CEO, DWTS |
where council is the relevant road authority |
|
s.34E(3) |
duty to seek to enter into a safety interface agreement with rail infrastructure manager |
CEO, DWTS |
where council is the relevant road authority |
|
s.34F(1)(a) |
duty to identify and assess risks to safety, if written notice has been received under section 34D(2)(a) |
CEO, SAE, CW, CAPD, DWTS |
where council is the relevant road authority |
|
s.34F(1)(b) |
duty to determine measures to manage any risks identified and assessed, if written notice has been received under section 34D(2)(a) |
CEO, DWTS |
where council is the relevant road authority |
|
s.34F(2) |
duty to seek to enter into a safety interface agreement with rail infrastructure manager |
CEO |
where council is the relevant road authority |
|
s.34H |
power to identify and assess risks to safety as required under sections 34B, 34C, 34D, 34E or 34F in accordance with subsections (a)-(c) |
CEO, DWTS |
where council is the relevant road authority |
|
s.34I |
function of entering into safety interface agreements |
CEO |
where council is the relevant road authority |
|
s.34J(2) |
function of receiving notice from Safety Director |
CEO, DWTS |
where council is the relevant road authority |
|
s.34J(7) |
duty to comply with a direction of the Safety Director given under section 34J(5) |
CEO, DWTS |
where council is the relevant road authority |
|
s.34K(2) |
duty to maintain a register of items set out in subsections (a)-(b) |
CEO, SAE, CAPD, DWTS |
where council is the relevant road authority |
|
Residential Tenancies Act 1997 |
|||
|
Provision |
Item Delegated |
Delegate |
Conditions and Limitations |
|
s.142D |
function of receiving notice regarding an unregistered rooming house |
EHO |
|
|
s.142G(1) |
duty to enter required information in Rooming House Register for each rooming house in municipal district |
EHO |
|
|
s. 142G(2) |
power to enter certain information in the Rooming House Register |
EHO |
|
|
s.142I(2) |
power to amend or revoke an entry in the Rooming House Register if necessary to maintain the accuracy of the entry |
EHO |
|
|
s.252 |
power to give tenant a notice to vacate rented premises if subsection (1) applies |
EHO, MPCS |
where council is the landlord |
|
s.262(1) |
power to give tenant a notice to vacate rented premises |
EHO, MPCS |
where council is the landlord |
|
s.262(3) |
power to publish its criteria for eligibility for the provision of housing by council |
CEO, MPCS |
|
|
s.518F |
power to issue notice to caravan park regarding emergency management plan if determined that the plan does not comply with the requirements |
EHO |
|
|
s.522(1) |
power to give a compliance notice to a person |
MPCS |
|
|
s.525(2) |
power to authorise an officer to exercise powers in section 526 (either generally or in a particular case) |
CEO |
|
|
s.525(4) |
duty to issue identity card to authorised officers |
CEO |
|
|
s.526(5) |
duty to keep record of entry by authorised officer under section 526 |
MPCS |
|
|
s.526A(3) |
function of receiving report of inspection |
MPCS |
|
|
s.527 |
power to authorise a person to institute proceedings (either generally or in a particular case) |
CEO |
|
|
Road Management Act 2004 |
|||
|
Provision |
Item Delegated |
Delegate |
Conditions and Limitations |
|
s.11(1) |
power to declare a road by publishing a notice in the Government Gazette |
SAE, CAPD, DWTS |
obtain consent in circumstances specified in section 11(2) In consultation with CEO and Council |
|
s.11(8) |
power to name a road or change the name of a road by publishing notice in Government Gazette |
SAE, CAPD, DWTS |
In consultation with Council |
|
s.11(9)(b) |
duty to advise Registrar |
SAE, CAPD, DWTS |
|
|
s.11(10) |
duty to inform Secretary to Department ofEnvironment, Land, Water and Planning of declaration etc. |
CEO, DWTS |
clause subject to section 11(10A) |
|
s.11(10A) |
duty to inform Secretary to Department of Environment, Land, Water and Planning or nominated person |
CEO, DWTS |
where council is the coordinating road authority |
|
s.12(2) |
power to discontinue road or part of a road |
CEO, DWTS |
were council is the coordinating road authority |
|
s.12(4) |
power to publish, and provide copy, notice of proposed discontinuance |
SAE, CAPD, DWTS |
power of coordinating road
authority where it is the discontinuing body |
|
s.12(5) |
duty
to consider written submissions received within 28 days of notice |
SAE, CAPD, DWTS |
duty of coordinating road
authority where it is the discontinuing body |
|
s.12(6) |
function of hearing a person in support of their written submission |
SAE, CAPD, DWTS |
function of coordinating
road authority where it is the discontinuing body |
|
s.12(7) |
duty to fix day, time and place of meeting under subsection (6) and to give notice |
CEO, DWTS |
duty of coordinating road
authority where it is the discontinuing body |
|
s.12(10) |
duty to notify of decision made |
SAE, CAPD, DWTS |
duty of coordinating road
authority where it is the discontinuing body |
|
s.13(1) |
power to fix a boundary of a road by publishing notice in Government Gazette |
SAE, CAPD, DWTS |
power of coordinating road authority and obtain consent under section 13(3) and section 13(4) as appropriate |
|
s.14(4) |
function of receiving notice from VicRoads |
SAE, CAPD, DWTS |
|
|
s.14(7) |
power to appeal against decision of VicRoads |
DWTS |
|
|
s.15(1) |
power to enter into arrangement with another road authority, utility or a provider of public transport to transfer a road management function of the road authority to the other road authority, utility or provider of public transport |
SAE, CAPD, DWTS |
|
|
s.15(1A) |
power to enter into arrangement with a utility to transfer a road management function of the utility to the road authority |
SAE, CAPD, DWTS |
|
|
s.15(2) |
duty to include details of arrangement in public roads register |
SAE, CAPD, DWTS |
|
|
s.16(7) |
power to enter into an arrangement under section 15 |
SAE, CAPD, DWTS |
|
|
s.16(8) |
duty to enter details of determination in public roads register |
SAE, CAPD, DWTS |
|
|
s.17(2) |
duty to register public road in public roads register |
SAE, CAPD, DWTS |
where council is the coordinating road authority |
|
s.17(3) |
power to decide that a road is reasonably required for general public use |
SAE, CAPD, DWTS |
where council is the coordinating road authority |
|
s.17(3) |
duty to register a road reasonably required for general public use in public roads register |
SAE, CAPD, DWTS |
where council is the coordinating road authority |
|
s.17(4) |
power to decide that a road is no longer reasonably required for general public use |
SAE, CAPD, DWTS |
where council is the coordinating road authority |
|
s.17(4) |
duty to remove road no longer reasonably required for general public use from public roads register |
SAE, CAPD, DWTS |
where council is the coordinating road authority |
|
s.18(1) |
power to designate ancillary area |
SAE, CAPD, DWTS |
where council is the coordinating road authority, and obtain consent in circumstances specified in section 18(2) |
|
s.18(3) |
duty to record designation in public roads register |
SAE, CAPD, DWTS |
where council is the coordinating road authority |
|
s.19(1) |
duty to keep register of public roads in respect of which it is the coordinating road authority |
SAE, CAPD, DWTS |
|
|
s.19(4) |
duty to specify details of discontinuance in public roads register |
SAE, CAPD, DWTS |
|
|
s.19(5) |
duty to ensure public roads register is available for public inspection |
SAE, CAPD, DWTS |
|
|
s.21 |
function of replying to request for information or advice |
SAE, CAPD, DWTS |
obtain consent in circumstances specified in section 11(2) |
|
s.22(2) |
function of commenting on proposed direction |
SAE, CAPD, DWTS |
|
|
s.22(4) |
duty to publish a copy or summary of any direction made under section 22 by the Minister in its annual report. |
CEO |
|
|
s.22(5) |
duty to give effect to a direction under this section. |
CEO, DWTS |
|
|
s.40(1) |
duty to inspect, maintain and repair a public road. |
CW, DWTS |
|
|
s.40(5) |
power to inspect, maintain and repair a road which is not a public road |
CW, DWTS |
|
|
s.41(1) |
power to determine the standard of construction, inspection, maintenance and repair |
CW, DWTS |
|
|
s.42(1) |
power to declare a public road as a controlled access road |
SAE, CAPD, DWTS |
power of coordinating road authority and Schedule 2 also applies |
|
s.42(2) |
power to amend or revoke declaration by notice published in Government Gazette |
SAE, CAPD, DWTS |
power of coordinating road authority and Schedule 2 also applies |
|
s.42A(3) |
duty to consult with VicRoads before road is specified |
SAE, CAPD, DWTS |
where council is the
coordinating road authority |
|
s.42A(4) |
power to approve Minister's decision to specify a road as a specified freight road |
SAE, CAPD, DWTS |
where council is the
coordinating road authority |
|
s.48EA |
duty to notify the owner or occupier of land and provider of public transport on which rail infrastructure or rolling stock is located (and any relevant provider of public transport) |
SAE, CAPD, DWTS |
where council is the responsible road authority, infrastructure manager or works manager |
|
s.48M(3) |
function of consulting with the Secretary for purposes of developing guidelines under section 48M |
CEO |
|
|
s.48N |
duty to notify the Secretary of the location of the bus stopping point and the action taken by council |
DWTS |
|
|
s.49 |
power to develop and publish a road management plan |
CEO, DWTS |
|
|
s.51 |
power to determine standards by incorporating the standards in a road management plan |
CEO, DWTS |
|
|
s.53(2) |
power to cause notice to be published in Government Gazette of amendment etc of document in road management plan |
SAE, CAPD, DWTS |
|
|
s.54(2) |
duty to give notice of proposal to make a road management plan |
SAE, CAPD, DWTS |
|
|
s.54(5) |
duty to conduct a review of road management plan at prescribed intervals |
SAE, CAPD, DWTS |
|
|
s.54(6) |
power to amend road management plan |
CEO, DWTS |
Subject to Council resolution |
|
s.54(7) |
duty to incorporate the amendments into the road management plan |
CEO, DWTS |
|
|
s.55(1) |
duty to cause notice of road management plan to be published in Government Gazette and newspaper |
SAE, CAPD, DWTS |
|
|
s.63(1) |
power to consent to conduct of works on road |
SAE, CAPD, DWTS |
where council is the coordinating road authority |
|
s.63(2)(e) |
power to conduct or to authorise the conduct of works in, on, under or over a road in an emergency |
SAE, CAPD, DWTS |
where council is the infrastructure manager |
|
s.64(1) |
duty to comply with clause 13 of Schedule 7 |
SAE, CAPD, DWTS |
where council is the infrastructure manager or works manager |
|
s.66(1) |
power to consent to structure etc |
SAE, CAPD, DWTS |
where council is the coordinating road authority |
|
s.67(2) |
function of receiving the name & address of the person responsible for distributing the sign or bill |
SAE, CAPD, DWTS |
where council is the coordinating road authority |
|
s.67(3) |
power to request information |
SAE, CAPD, DWTS |
where council is the coordinating road authority |
|
s.68(2) |
power to request information |
SAE, CAPD, DWTS |
where council is the coordinating road authority |
|
s.71(3) |
power to appoint an authorised officer |
SAE, CAPD, DWTS |
|
|
s.72 |
duty to issue an identity card to each authorised officer |
SAE, CAPD, DWTS |
|
|
s.85 |
function of receiving report from authorised officer |
CEO, SAE, CAPD, DWTS |
|
|
s.86 |
duty to keep register re section 85 matters |
SAE, CAPD, DWTS |
|
|
s.87(1) |
function of receiving complaints |
CEO, SAE, CAPD, DWTS |
|
|
s.87(2) |
duty to investigate complaint and provide report |
SAE, CAPD, DWTS |
|
|
s.112(2) |
power to recover damages in court |
CEO |
|
|
s.116 |
power to cause or carry out inspection |
SAE, CW, CAPD, DWTS |
|
|
s.119(2) |
function of consulting with VicRoads |
CEO, DWTS |
|
|
s.120(1) |
power to exercise road management functions on an arterial road (with the consent of VicRoads) |
DWTS |
|
|
s.120(2) |
duty to seek consent of VicRoads to exercise road management functions before exercising power in section 120(1) |
DWTS |
|
|
s.121(1) |
power to enter into an agreement in respect of works |
SAE, CW, CAPD, DWTS |
|
|
s.122(1) |
power to charge and recover fees |
CEO, DWTS |
|
|
s.123(1) |
power to charge for any service |
CEO, DWTS |
|
|
Schedule 2 Clause 2(1) |
power to make a decision in respect of controlled access roads |
SAE, CAPD, DWTS |
|
|
Schedule 2 Clause 3(1) |
duty to make policy about controlled access roads |
SAE, CAPD, DWTS |
|
|
Schedule 2 Clause 3(2) |
power to amend, revoke or substitute policy about controlled access roads |
DWTS |
|
|
Schedule 2 Clause 4 |
function of receiving details of proposal from VicRoads |
CEO, DWTS |
|
|
Schedule 2 Clause 5 |
duty to publish notice of declaration |
SAE, CAPD, DWTS |
|
|
Schedule 7, Clause 7(1) |
duty to give notice to relevant coordinating road authority of proposed installation of non-road infrastructure or related works on a road reserve |
SAE, CAPD, DWTS |
where council is the infrastructure manager or works manager |
|
Schedule 7, Clause 8(1) |
duty to give notice to any other infrastructure manager or works manager responsible for any non-road infrastructure in the area, that could be affected by any proposed installation of infrastructure or related works on a road or road reserve of any road |
SAE, CAPD, DWTS |
where council is the infrastructure manager or works manager |
|
Schedule 7, Clause 9(1) |
duty to comply with request for information from a coordinating road authority, an infrastructure manager or a works manager responsible for existing or proposed infrastructure in relation to the location of any non-road infrastructure and technical advice or assistance in conduct of works |
SAE, CW, CAPD, DWTS |
where council is the infrastructure manager or works manager responsible for non-road infrastructure |
|
Schedule 7, Clause 9(2) |
duty to give information to another infrastructure manager or works manager where becomes aware any infrastructure or works are not in the location shown on records, appear to be in an unsafe condition or appear to need maintenance |
SAE, CW, CAPD, DWTS |
where council is the infrastructure manager or works manager |
|
Schedule 7, Clause 10(2) |
where Schedule 7 Clause 10(1) applies, duty to, where possible, conduct appropriate consultation with persons likely to be significantly affected |
SAE, CW, CAPD, DWTS |
where council is the infrastructure manager or works manager |
|
Schedule 7 Clause 12(2) |
power to direct infrastructure manager or works manager to conduct reinstatement works |
SAE, CW, CAPD, DWTS |
where council is the coordinating road authority |
|
Schedule 7 Clause 12(3) |
power to take measures to ensure reinstatement works are completed |
SAE, CW, CAPD, DWTS |
where council is the coordinating road authority |
|
Schedule 7 Clause 12(4) |
duty to ensure that works are conducted by an appropriately qualified person |
SAE, CW, CAPD, DWTS |
where council is the coordinating road authority |
|
Schedule 7 Clause 12(5) |
power to recover costs |
SAE, CW, CAPD, DWTS |
where council is the coordinating road authority |
|
Schedule 7, Clause 13(1) |
duty to notify relevant coordinating road authority within 7 days that works have been completed, subject to Schedule 7, Clause 13(2) |
SAE, CW, CAPD, DWTS |
where council is the works manager |
|
Schedule 7 Clause 13(2) |
power to vary notice period |
SAE, CAPD, DWTS |
where council is the coordinating road authority |
|
Schedule 7, Clause 13(3) |
duty to ensure works manager has complied with obligation to give notice under Schedule 7, Clause 13(1) |
SAE, CW, CAPD, DWTS |
where council is the infrastructure manager |
|
Schedule 7 Clause 16(1) |
power to consent to proposed works |
SAE, CW, CAPD, DWTS |
where council is the coordinating road authority |
|
Schedule 7 Clause 16(4) |
duty to consult |
CEO, SAE, CAPD, DWTS |
where council is the coordinating road authority, responsible authority or infrastructure manager |
|
Schedule 7 Clause 16(5) |
power to consent to proposed works |
CEO, SAE, CAPD, DWTS |
where council is the coordinating road authority |
|
Schedule 7 Clause 16(6) |
power to set reasonable conditions on consent |
CEO, SAE, CAPD, DWTS |
where council is the coordinating road authority |
|
Schedule 7 Clause 16(8) |
power to include consents and conditions |
CEO, SAE, CAPD, DWTS |
where council is the coordinating road authority |
|
Schedule 7 Clause 17(2) |
power to refuse to give consent and duty to give reasons for refusal |
SAE, CAPD, DWTS |
where council is the coordinating road authority |
|
Schedule 7 Clause 18(1) |
power to enter into an agreement |
DWTS |
where council is the coordinating road authority |
|
Schedule 7 Clause 19(1) |
power to give notice requiring rectification of works |
SAE, CAPD, DWTS |
where council is the coordinating road authority |
|
Schedule 7 Clause 19(2) & (3) |
power to conduct the rectification works or engage a person to conduct the rectification works and power to recover costs incurred |
CEO, DWTS |
where council is the coordinating road authority |
|
Schedule 7 Clause 20(1) |
power to require removal, relocation, replacement or upgrade of existing non-road infrastructure |
DWTS |
where council is the coordinating road authority |
|
Schedule 7A Clause 2 |
power to cause street lights to be installed on roads |
SAE, CAPD, DWTS |
power of responsible road authority where it is the coordinating road authority or responsible road authority in respect of the road |
|
Schedule 7A Clause 3(1)(d) |
duty to pay installation and operation costs of street lighting - where road is not an arterial road |
SAE, CW, CAPD, DWTS |
where council is the responsible road authority |
|
Schedule 7A Clause 3(1)(e) |
duty to pay installation and operation costs of street lighting - where road is a service road on an arterial road and adjacent areas |
SAE, CW, CAPD, DWTS |
where council is the responsible road authority |
|
Schedule 7A Clause (3)(1)(f), |
duty to pay installation and percentage of operation costs of street lighting - for arterial roads in accordance with clauses 3(2) and 4 |
SAE, CW, CAPD, DWTS |
duty of council as responsible road authority that installed the light (re: installation costs) and where council is relevant municipal council (re: operating costs) |
|
Planning and Environment Regulations 2015 |
|||
|
Provision |
Item Delegated |
Delegate |
Conditions and Limitations |
|
r.6 |
function of receiving notice, under section 19(1)(c) of the Act, from a planning authority of its preparation of an amendment to a planning scheme |
MPCS |
where Council is not the
planning authority and the amendment affects land within Council's municipal
district; or |
|
r.21 |
power of responsible authority to require a permit applicant to verify information (by statutory declaration or other written confirmation satisfactory to the responsible authority) in an application for a permit or to amend a permit or any information provided under section 54 of the Act |
MPCS |
|
|
r.25(a) |
duty to make copy of matter considered under section 60(1A)(g) available for inspection free of charge |
MPCS |
where Council is the responsible authority |
|
r.25(b)) |
function of receiving a copy of any document considered under section 60(1A)(g) by the responsible authority and duty to make the document available for inspection free of charge |
MPCS |
where Council is not the responsible authority but the relevant land is within Council's municipal district |
|
r.42 |
function of receiving notice under section 96C(1)(c) of the Act from a planning authority of its preparation of a combined application for an amendment to a planning scheme and notice of a permit application |
MPCS |
where Council is not the
planning authority and the amendment affects land within Council's municipal
district; or |
|
Planning and
Environment (Fees) Interim Regulations 2015 |
|||
|
Provision |
Item Delegated |
Delegate |
Conditions and Limitations |
|
r.16 |
power to waive or rebate a fee other than a fee relating to an amendment to a planning scheme |
CEO, MPCS |
|
|
r.17 |
power to waive or rebate a fee relating to an amendment of a planning scheme |
CEO, MPCS |
|
|
r.18 |
duty to record matters taken into account and which formed the basis of a decision to waive or rebate a fee under r.16 or 17 |
CEO, MPCS |
|
|
Residential Tenancies (Caravan Parks and Movable Dwellings Registration and Standards) Regulations 2010 |
|||
|
Provision |
Item Delegated |
Delegate |
Conditions and Limitations |
|
r.7 |
function of entering into a written agreement with a caravan park owner |
CEO |
|
|
r.11 |
function of receiving application for registration |
EHO |
|
|
r.13(1) |
duty to grant the registration if satisfied that the caravan park complies with these regulations |
EHO |
|
|
r.13(2) |
duty to renew the registration if satisfied that the caravan park complies with these regulations |
EHO |
|
|
r.13(2) |
power to refuse to renew the registration if not satisfied that the caravan park complies with these regulations |
EHO |
|
|
r.13(4) & (5) |
duty to issue certificate of registration |
EHO |
|
|
r.15(1) |
function of receiving notice of transfer of ownership |
EHO |
|
|
r.15(3) |
power to determine where notice of transfer is displayed |
EHO |
|
|
r.16(1) |
duty to transfer registration to new caravan park owner |
EHO |
|
|
r.16(2) |
duty to issue a certificate of transfer of registration |
EHO |
|
|
r.17(1) |
power to determine the fee to accompany applications for registration or applications for renewal of registration |
EHO, MPCS |
|
|
r.18 |
duty to keep register of caravan parks |
EHO |
|
|
r.19(4) |
power to determine where the emergency contact person's details are displayed |
EHO |
|
|
r.19(6) |
power to determine where certain information is displayed |
EHO |
|
|
r.22A(1) |
duty to notify a caravan park owner of the relevant emergency services agencies for the caravan park, on the request of the caravan park owner |
EHO |
|
|
r.22A(2) |
duty to consult with relevant emergency services agencies |
EHO |
|
|
r.23 |
power to determine places in which caravan park owner must display a copy of emergency procedures |
EHO |
|
|
r.24 |
power to determine places in which caravan park owner must display copy of public emergency warnings |
EHO |
|
|
r.25(3) |
duty to consult with relevant floodplain management authority |
EHO, MPCS |
|
|
r.26 |
duty to have regard to any report of the relevant fire authority |
EHO, MPCS |
|
|
r.28(c) |
power to approve system for the collection, removal and disposal of sewage and waste water from a movable dwelling |
EHO |
|
|
r.39 |
function of receiving notice of proposed installation of unregistrable movable dwelling or rigid annexe |
EHO |
|
|
r.39(b) |
power to require notice of proposal to install unregistrable movable dwelling or rigid annexe |
EHO |
|
|
r.40(4) |
function of receiving installation certificate |
EHO |
|
|
r.42 |
power to approve use of a non-habitable structure as a dwelling or part of a dwelling |
EHO |
|
|
Schedule 3 clause 4(3) |
power to approve the removal of wheels and axles from unregistrable movable dwelling |
EHO |
|
|
Road Management
(General) Regulations 2005 |
|||
|
Provision |
Item Delegated |
Delegate |
Conditions and Limitations |
|
r.301(1) |
duty to conduct reviews of road management plan |
DWTS |
|
|
r.302(2) |
duty to give notice of review of road management plan |
DWTS |
|
|
r.302(5) |
duty to produce written report of review of road management plan and make report available |
DWTS |
|
|
r.303 |
duty to give notice of amendment which relates to standard of construction, inspection, maintenance or repair under section 41 of the Act |
DWTS |
|
|
r.306(2) |
duty to record on road management plan the substance and date of effect of amendment |
DWTS |
|
|
r.501(1) |
power to issue permit |
DWTS |
where council is the coordinating road authority |
|
r.501(4) |
power to charge fee for issuing permit under regulation 501(1) |
DWTS |
where council is the coordinating road authority |
|
r.503(1) |
power to give written consent to person to drive on road a vehicle which is likely to cause damage to road |
DWTS |
where council is the coordinating road authority |
|
r.508(3) |
power to make submission to Tribunal |
DWTS |
where council is the coordinating road authority |
|
r.509(1) |
power to remove objects, refuse, rubbish or other material deposited or left on road |
DWTS |
where council is the responsible road authority |
|
r.509(2) |
power to sell or destroy things removed from road or part of road (after first complying with regulation 509(3) |
DWTS |
where council is the responsible road authority |
|
r.509(4) |
power to recover in the Magistrates' Court, expenses from person responsible |
CEO, DWTS |
|
|
Road Management (Works
and Infrastructure) Regulations 2015 |
|||
|
Provision |
Item Delegated |
Delegate |
Conditions and Limitations |
|
r.15 |
power to exempt a person from requirement under clause 13(1) of Schedule 7 of the Act to give notice as to the completion of those works |
DWTS |
where council is the coordinating road authority and where consent given under section 63(1) of the Act |
|
r.22(2) |
power to waive whole or part of fee in certain circumstances |
CEO |
where council is the coordinating road authority |
Author’s Title: Director Corporate Services
Department: Corporate Services File No: CM/14/05
Relevance to Council Plan 2015 - 2019
Strategic Objective: An organisation committed to active communication and engagement with our community.
|
That Council adopts the Social Media Policy. Seconded: Cr Leo Tellefson Carried. |
1. Executive Summary
It was identified as part of the 2015 Community Satisfaction Survey that Council needed to improve its communication and engagement with the community. The survey identified that this was not necessarily in terms of what was being communicated but often how things were communicated.
Following on from this result, it was also a subject of a recent community forum where representatives from all communities discussed how Council should best communicate and engage with the community. While traditional forms of communication such as formal meetings and the print media have their place, it was also suggested that Council should move into the area of social media.
This finding mirrored the direction that Council wished to take. Council has already identified that the use of social media would be a good engagement tool to further build on the Community Engagement Strategy.
While social media can be a valuable tool, it can also pose a risk to Council if controls and levels of responsibility are not put in place. The attached policy addresses these issues setting out clear levels of responsibility.
2. Financial Implications
There are no financial implications in implementing this policy as the tasks will be covered in the existing labour budget.
3. Cost Shift Considerations
There are no cost shift implications in this report.
4. Community Consultation
Once adopted, this policy will be promoted through Council’s website, print media and distributed to Community forums.
5. Internal Consultation
Council staff will receive information sessions on this policy once implemented.
6. Legislative / Policy Implications
This policy is in line with industry best practice and legislation.
7. Conflict of Interest Considerations
There are no conflicts of interest involved in the writing of this report.
8. Conclusion
The Social Media Policy will become an invaluable tool for Council to both communicate with and engage the community on various issues.
Buloke Shire Council Ordinary Meeting Minutes Wednesday, 10 February 2016
8.1.4 Social Media Policy
Attachment 1 Social Media Policy
Policy Title Social Media
Policy Responsible
Directorate Human Resources Policy No 176 Date approved 12 March
2014 Revision No 1 Revision Date 12 March
2017 

Purpose
The purpose of the Social Media Policy is to provide guidance and clarify the existing obligations of staff under the Code of Conduct when engaging in Social Media when there is a direct or inferred relationship between the user and the Buloke Shire Council.
Scope
This policy applies to all Employees, Volunteers and Contractors and sets the standards and requirements applicable for Council’s professional use of Social Media as well as professional and personal interactions via Social Media.
Council acknowledges that individuals have a right to exercise judgment in the private use of Social Media for their own personal expression or activities. The scope of this policy extends only to the impact, if any, of their private choices on Council’s reputation where there is a stated or implied connection with the Buloke Shire Council, including when such use occurs outside of office hours.
Therefore, this policy is not intended to cover situations where:
· Information is circulated in a staff member’s personal capacity and not on behalf of, or in connection with, Council;
And
· Use of Social Media in situations where there is no reference to Buloke Shire Council, its Councillors, staff, policies and decisions, services, suppliers or any other stakeholders or Council related matters;
And
· Use of Social Media where such use occurs outside of normal working hours.
This policy is to be read in conjunction with all Buloke Shire Council policies including, without limitation, the Buloke Shire Council Electronic Communication policy, Buloke Shire Council Information Security Policy, Buloke Shire Council Code of Conduct for Staff, and, the Bullying/Equal Opportunity/Discrimination/Sexual Harassment Policy.
Definitions
In this policy –
“Authorised Staff” – means staff that have received approval from the Chief Executive Officer to officially represent the Buloke Shire Council via Social Media technology.
“Social Media” – (also known as web 2.0 technology) refers to online or internet-based tools used for sharing and discussing information, opinions and other content with other users. Social Media forums include, but are not limited to:
· Social networking sites (for example, Facebook, LinkedIn, Yammer, Twitter)
· Video and photo sharing websites (for example, Snapchat, YouTube)
· Blogs
· Podcasts
· Forums and discussion boards
· Other emerging social media and digital communication technology
Buloke Shire Council Ordinary Meeting Wednesday, 10 February 2016
8.1.4 Social Media Policy
Attachment 1 Social Media Policy
“Staff” includes all Employees, Volunteers or Contractors engaged by Council.
Policy Statement
Council recognises that use of Social Media is increasingly becoming a common standard of communication in professional and personal activities.
Corporately, organisations utilise Social Media technology to engage with stakeholders and the community in a timely manner regarding key strategic projects and programs in order to supplement conventional consultation methods.
Council and its staff recognise the potential for risk to Council’s reputation and image arising from the misuse of Social Media in a professional or personal capacity. Accordingly, Council staff are beholden by, and recognise, the requirements and behaviours within the Buloke Shire Council Code of Conduct and Council policies when participating in Social Media activities in an official or private capacity to ensure that the risk of such damage is minimised.
Use Strategy
Council has Facebook, Twitter and
YouTube accounts. Each Social Media account will clearly define protocols to be
observed by respondents and Council’s hours of responsiveness to
correspondence.
When using Social Media to distribute news Council must consider what information suits its Social Media platforms and which platform/s it may be best suited to. For example, it may suit both Facebook and Twitter, but not always.
Council will endeavor to include photos or tiles in posts as much as practicable. Posts containing these are far more successful. Always value add by providing a link to Council website or to further information.
Council should consider its target audience and when they use Social Media to enhance penetration. For example, stay at home parents are more likely to look at Facebook between 9am and 2pm, and then again after 8pm. With this in mind, Council should schedule posts from within the work day to appear in the morning or evening high traffic periods. Structure the day’s Social Media so Council isn’t posting everything at once. This ensures Council appears in timelines consistently rather than bombarding our audience with information then disappearing.
Facebook works on an algorithm, to stay in user’s timelines Council needs to keep people interactive with its posts (views, likes, comments and shares) to keep appearing. This is not the case for Twitter. If a user follows Council, all its posts appear in their time line.
The Media and Communications Officer will be responsible for responding to content posted by the public. Staff should always interact with a ‘like’ or form acknowledgment in a timely fashion and always consult the relevant officer before replying. If gleaning correct information is taking some time, Council will thank poster for their enquiry and confirm their request is being worked on.
The Media and Communications Officer is responsible for consulting with the Extended Management Team to ensure a consistent stream of strong content adaptable for Social Media.
The Media and Communications Officer is responsible for entering all posts into spreadsheet log, including permalink. The spreadsheet log will be registered with records on a monthly basis.
Guidelines
General and Personal Use
1. The Risk and Human Resources Team, in conjunction with Managers and Supervisors, are responsible to ensure staff are provided with information and guidance relating to acceptable use of Social Media.
2. Staff are responsible to familiarise themselves with, and adhere to, the requirements within this policy as amended from time to time.
3. Staff are personally responsible for any information or comments made using Social Media. Information published via Social Media is often permanently available and may be reproduced in other media.
4. Staff must not make any comments or post any material that might result in damage to Council’s reputation or otherwise bring it into disrepute.
5. Staff are responsible to ensure that all online activity complies with Council’s policies including but not limited to Information and Communication Technology policies, Bullying/Equal Opportunity/Discrimination/Sexual Harassment Policy, and, the Code of Conduct, as amended from time to time.
6. Staff must not mislead users by implying they have been authorised to represent Council either through the use of a Council issued email address, use of Council’s corporate logo, use of the identity of another Council staff member, or any other action which may give the impression of Council’s support or approval of Social Media activities.
7. Staff are responsible to ensure that their work performance is not affected by their use of Social Media, including through frequent or prolonged use of Social Media outside of designated work breaks.
Professional Use
When using Social Media councillors, staff, volunteers and contractors are expected to:
· Seek prior advice from Media and Communications Officer.
· Adhere to Buloke Shire Council codes of conduct, policies and procedures
· Behave with caution, courtesy, honesty and respect
· Comply with relevant laws and regulations
· Reinforce the integrity, reputation and values of Buloke Shire Council.
The following content is not permitted under any circumstances:
· Abusive, profane or sexual language
· Content not relating to the subject matter of that blog, board, forum or site
· Content which is false or misleading
· Confidential information about Council or third parties
· Copyright or Trade mark protected materials
· Discriminatory material in relation to a person or group based on age, colour, creed, disability, family status, gender, nationality, marital status, parental status, political opinion/affiliation, pregnancy or potential pregnancy, race or social origin, religious beliefs/activity, responsibilities, sex or sexual orientation
· Illegal material or materials designed to encourage law breaking
· Materials that could compromise council, employee or system safety
· Materials which would breach applicable laws (defamation, privacy, trade practices, financial rules and regulations, fair use, trademarks)
· Material that would offend contemporary standards of taste and decency
· Material which would bring the Council into disrepute
· Personal details or references to councillors, council staff or third parties, which may breach privacy laws
· Spam, meaning the distribution of unsolicited bulk electronic messages
· Statements which may be considered to be bullying or harassment
If you have any doubt about applying the provisions of this policy, check with the Media and Communications Officer before using Social Media to communicate. Depending upon the nature of the issue and potential risk, it may also be appropriate to consider seeking legal advice.
Authorisation
Ensure appropriate authorisation has been obtained before using social media including but not limited to uploading content and acting as a spokesperson on behalf of Council.
Expertise
Do not comment outside your area of expertise. Do not commit Council to actions or undertakings.
Disclosure
Only discuss publicly available information. Do not disclose confidential information, internal discussions or decisions of Council, employees or third parties. This includes publishing confidential, personal or private information where there is sufficient detail for potential identification of councillors, staff or third parties.
Accuracy
Be accurate, constructive, helpful and informative. Correct any errors as soon as practicable. Do not publish information or make statements which you know to be false or may reasonably be taken to be misleading or deceptive.
Identity
Be clear about professional identity or any vested interests. Do not use fictitious names or identities that deliberately intend to deceive, mislead or lie. Do not participate anonymously or covertly via a third party or agency.
Opinion
Clearly separate personal opinions from professional ones and be mindful of Council’s Code of Conduct when discussing or commenting on council matters. In general, don't express personal opinions using Council # tags or other identifications. Only where this is not possible, consider using a formal disclaimer to separate official council positions from personal opinions and distance council from comments made by public and other outside interests.
Privacy
Be sensitive to the privacy of others. Seek permission from anyone who appears in any photographs, video or other footage before sharing these via any form of social media. If asked to remove materials do so as soon as practicable.
Intellectual Property
Seek permission from the creator or copyright owner, to use or reproduce copyright material including applications, audio tracks (speeches, songs), footage (video), graphics (graphs, charts and logos), images, artwork, photographs, publications or music. Also seek permission before publishing or uploading material in which the intellectual property rights, such as Trademarks, are owned by a third party e.g. company logos. Seek permission from the website’s owner wherever possible before linking to another site (including a Social Media application).
Defamation
Do not comment, contribute, create, forward, post, upload or share content that is malicious or defamatory. This includes statements which may negatively impact the reputation of another.
Reward
Do not publish content in exchange for reward of any kind.
Transparency
Do not seek to buy or recompense favorable Social Media commentary. Encourage online publishers to be open and transparent in how they engage with, or review council personnel, services or wares.
Political Bias
Do not endorse any political affinity or allegiance.
Respect
Always be courteous, patient and respectful of others’ opinions, including detractors.
Discrimination
Be mindful of anti-discrimination laws and do not publish statements or information which may be discriminatory.
Language
Be mindful of language and expression.
State of Mind
Do not use Social Media when inebriated, irritated, upset or tired.
Be safe
Protect your personal privacy and guard against identity theft.
Media
Do not issue statements or make announcements through Social Media channels unless authorised. Do not respond directly if approached by media for comment through Social Media. Refer the inquiry to the Media and Communications Officer.
Modification and moderation
Ensure that any Social Media sites created or contributed to can be readily edited, improved or removed and appropriately moderated.
Access
Be mindful of the requisite government web standards for accessibility. Information made available via non compliant platforms should be made accessible in another form where practical.
Be responsive
Specify the type of comments and feedback that will receive a response and clearly communicate a target response time. Make it easy for audiences to reach Council via other methods by publishing Council’s phone number, generic email, Facebook, Skype and Twitter accounts.
Roles and responsibilities
|
Role |
Responsibilities |
|
Councillors |
· Seek advice from Media and Communications Officer on using Social Media · Seek approval for Council branding of Social Media · Register Social Media account/tools/site with the Media and Communications Officer · Understand and comply with the provisions in this policy · Seek training and development for using Social Media · Seek advice from the Manager Risk and Human Resources or Media and Communications Officer if unsure about applying the provisions of this policy |
|
Staff |
· Seek approval from relevant manager for business strategy incorporating social media · Seek advice from Media and Communications Officer on using Social Media and developing a communications plan to support business strategy · Seek approval for council branding of Social Media · Register Social Media account/tools/site with the Media and Communications Officer · Seek training and development for using Social Media · Understand and comply with the provisions in this policy · Maintain records of email addresses, comments, ‘friends’, followers and printed copies or electronic ‘screen grabs’ when using externally hosted sites to the extent practicable · Seek advice from the Manager Risk and Human Resources or Media and Communications Officer if unsure about applying the provisions of this policy · Ensure contractors are provided with a copy of this policy · Familiarise self with the End User Licence Agreements of any external Social Media tools being used |
|
Business Unit Managers |
· Approve business strategy incorporating use of Social Media · Ensure staff consult the Media and Communications Officer on their planned use of Social Media · Ensure contractors are provided with a copy of the Social Media policy · Offer training for staff using Social Media · Advise IT of approval to access Social Media for business purposes |
|
IT Department |
· Facilitate secure access to support delivery of council business via Social Media · Regularly back up and archive internally hosted Social Media sites |
|
Media and Communications Officer |
· Authorise use of Social Media tools for conducting Council business · Provide advice and assist with the development of communication plans using Social Media · Educate councillors, staff and contractors about this policy and their responsibilities when using Social Media · Advise appropriate precautions e.g. disclaimers · Maintain a register of Social Media being used for conducting Council business including records of the business case for using Social Media, its strategic imperative, the intended administrator, URL, login, password and audience · Assist staff to retain some record explaining the context or purpose of Social Media, and a sample of posts where it is impractical to retain large volumes of screen grabs · Monitor Social Media accounts/tools/sites registered for conducting Council business · Monitor Social Media for references to the Buloke Shire Council · Seek legal advice as appropriate where an issue is likely to be contentious or may create legal risk for Council. |
Enforcement
All content published or communicated by or on behalf of Buloke Shire Council using Social Media must be recorded (including the author’s name, date, time, media site location and link) and kept on record.
Buloke Shire Council actively monitors Social Media for relevant contributions that impact on the municipality, its operations and reputation. Buloke Shire Council will be able to find – and act upon – contributions made by councillors and staff if deemed necessary.
This policy will be published and promoted to councillors and staff of Buloke Shire Council. Breaching this policy may result in disciplinary action, performance management and review. Serious breaches may result in suspension or termination of employment or association.
Buloke Shire Council reserves the right to remove, where possible, content that violates this policy or any associated policies.
References
This policy was developed in accordance with the following legislation:
· Charter of Human Rights and Responsibilities Act 2006
· Copyright Act 1958 (Vic)
· Crimes Act 1958
· Defamation Act 2005 (Vic)
· Disability Discrimination Act 1992
· Equal Opportunity Act 2010
· Fair Trading Act 2009 (Cth)
· Fair Work Act 2009
· Freedom of Information Act 1982 (Vic)
· Information Privacy Act 2000 (Vic)
· Local Government Act 1989 (Vic)
· Occupational Health and Safety Act 2004
· Privacy Act 1988 (Cth)
· Public Records Act 1973 (Vic)
· Racial and Religious Tolerance Act 2001
· Racial Discrimination Act 1975
· Sex Discrimination Act 1984
· Spam Act 2003 (Cth)
· Wrongs Act 1958 (Vic)
This policy was developed in accordance with the following documents:
· Buloke Shire Council Electronic Communication Policy
· Buloke Shire Council Information Security Policy
· Buloke Shire Council Enterprise Agreement No. 6 2015
· Buloke Shire Council Code of Conduct
· Buloke Shire Council Performance Management Policy
· Buloke Shire Council Bullying, Equal Opportunity, Discrimination, Sexual Harassment Policy
· State Services Authority: Guidance for the use of Social Media in the Victorian Public Sector (18 August 2010).
8.1.5 Fraud Prevention and Reporting Policy
Author’s Title: Acting Manager Risk and Human Resources
Department: Risk and Human Resources File No: CM/14/18
Relevance to Council Plan 2015 - 2019
Strategic Objective: An organisation that is responsibly governed and values and supports the development of its people
|
That Council adopts the Fraud Prevention and Reporting policy. Seconded: Cr Stuart McLean Carried. |
1. Executive Summary
The Fraud Prevention and Reporting policy is one of the key initiatives in ensuring consistency in risk management activities within Council.
The underlying objective of the Fraud Prevention and Reporting policy is to ensure that proactive fraud prevention strategies remain an integral part of Council’s corporate governance processes.
A summary of the Fraud Prevention and Reporting policy is set out in the discussion summary below.
2. Discussion
The Fraud Prevention and Reporting policy is designed to:
- Improve the transparency of fraud prevention and management processes within the Buloke Shire Council; and
- Protect Council and the community against reasonably foreseeable personal, physical and financial losses that are within the control of the Buloke Shire Council.
The purpose of the policy is to establish procedures to prevent fraud occurring and also Council’s response when fraud is encountered. The policy highlights the importance of fraud prevention and fraud investigation, but maintains fraud prevention as its preferred avenue of action to reduce opportunities of waste, abuse and mismanagement.
This policy provides that all Councillors and employees have a responsibility to identify and act on fraud risks and report on incidents of suspected fraud encountered during work activities. Accordingly, the policy applies to all Councillors, Council employees, contractors, volunteers and employees of any organisation providing goods or services on behalf of the Council and other approved users of Council assets.
This policy encourages the making of protected disclosures of improper conduct to the Independent Broad-based Anti-corruption Commission (IBAC) in accordance with the Protected Disclosure Act 2012 (Vic) and Council’s Protected Disclosure policy and procedures. This policy further encourages and facilitates the reporting to Council of suspected fraudulent activities, where disclosure to IBAC is not appropriate or chosen. This policy therefore operates in conjunction with these documents but does not restate the provisions contained within them.
A review of this policy and an evaluation of fraud control arrangements will be undertaken every two years.
3. Financial Implications
The revised Fraud Prevention and Reporting policy will assist Council to improve accountability and transparency. The policy is aimed at reducing costs associated with insurance premiums by appropriately and proactively managing fraud risks.
4. Cost Shift Considerations
Nil
5. Community Consultation
Nil
6. Internal Consultation
Consultation with the Senior Management Team has been an integral part of the review process.
7. Legislative / Policy Implications
The Fraud Prevention and Reporting policy addresses a number of legislative requirements, regulatory requirements and industrial instruments. Reference to specific legislation, regulations or industrial instruments is made within the policy document.
8. Environmental Sustainability
Nil
9. Conflict of Interest Considerations
No officer involved in the preparation of this report has a conflict of interest.
10. Conclusion
It is recommended Council adopt the Fraud Prevention and Reporting policy.
Buloke Shire Council Ordinary Meeting Minutes Wednesday, 10 February 2016
|
|
Policy Title |
Fraud Prevention and Reporting policy |
||
|
Responsible Directorate |
Risk and Human Resources |
|||
|
Policy No |
|
Date approved |
|
|
|
Revision No |
|
Revision Date |
|
|
Purpose
The Council has a firm commitment to maintaining the highest standards of ethics and accountability and good governance practice. Council does not tolerate fraud by its employees, officers or members, nor the taking of reprisals against those who come forward to disclose such conduct. Council will commence disciplinary action in respect of any person involved in fraudulent activities.
Council expects employees to act with propriety in all Council activities and is committed to educating staff on their responsibilities for mitigating fraud risks and providing an organisational culture, supported by policies and procedures, to prevent, detect, report and investigate suspected fraud incidents.
The purpose of this policy is to:
· Clearly document Council’s commitment to protecting Council property, assets and public money against internal and external fraud;
· Provide a framework for the control and prevention of fraud; and
· Encourage and facilitate reporting to Council of suspected fraudulent activities.
This document represents the current policy of Council until it is revised or rescinded.
Scope
This Policy applies to all Councillors, Council employees, contractors, volunteers and employees of any organisation providing goods or services on behalf of Council and other approved users of Council assets.
This Policy encourages the making of protected disclosures of improper conduct to the Independent Broad-based Anti-corruption Commission (IBAC) in accordance with the Protected Disclosure Act 2012 (VIC) and Council’s Protected Disclosure Policy and Procedures. This Policy further encourages and facilitates the reporting to Council of suspected fraudulent activities, where disclosure to IBAC is not appropriate or chosen. This Policy therefore operates in conjunction with those documents, but does not restate the provisions contained within them.
Definitions
In this policy –
“Fraud” means an intentional, criminal act involving the use of deception to obtain an unjust or illegal advantage (a financial or other benefit) by deception. The benefit might be of direct value, for example money, or it might be indirect, of example time or obtaining information by deception and using the information to obtain more tangible benefits.
Fraudulent actions include, but are not limited to:
· Asking for or receiving money, gifts and bribes for personal gain;
· Improperly obtaining allowances;
· Misuse of Council data and information for personal gain, including selling information;
· Use of Council property, buildings, plant, equipment or vehicles for private use without prior authorisation.
· Accepting favours for preferential treatment;
· Private use of Council assets and inventory;
· Falsifying travel expenses and overtime claims on timesheets;
· Contract rigging;
· Business identity fraud which occurs when commercially sensitive information is used without permission to obtain credit, goods or other services fraudulently; and
· Receiving, taking and using goods beyond entitlement.
“Risk Management” means the coordinated activities to direct and control an organisation with regard to risk.
“Risk” is the effect of uncertainty on objectives.
“Ethics” are the principles, orals and beliefs which guide us in our actions.
Policy Statement
Council acknowledges the importance of demonstrating to the residents and ratepayers of the Buloke Shire that Council is managing its business efficiently, effectively and ethically to deliver results, including through:
· The adoption of a risk management approach to fraud;
· The prevention, detection, investigation and prosecution of cases of fraud; and
· The promotion and maintenance of a high standard of ethical behaviour and fraud awareness.
Fraud control is concerned with the effective utilisation of resources and the minimisation of waste, mismanagement and fraudulent activity.
Measures to prevent fraud should be continually monitored, reviewed and developed, particularly as new systems or arrangements are introduced or modified.
Council will actively seek to prevent fraud at its origin through the development and maintenance of an effective integrity framework. The framework provides oversight on matters including but not limited to conflicts of interest, employment, procurement, misuse of information, assets and resources, delegations and authority, and unlawful/inappropriate conduct.
Fraud flourishes in an environment where there are insufficient controls to prevent waste, abuse and mismanagement. Council believes an emphasis on fraud prevention, rather than fraud investigation, will lead to a reduction of these opportunities for waste, abuse and mismanagement.
Prompt action does, however, need to be taken when fraud is detected, both to bring the fraud to an end and to discourage others who may be inclined to commit similar actions.
Fraud is a crime which is punishable by law under the Crimes Act 1958 (Vic) which can result in loss or detriment to Council’s reputation, damage to business relations, a decline in staff working morale and external investigation.
This Policy is committed to and guided by the principles of:
· The highest standards of legal, ethical and moral behaviour;
· Ensuring the organisational culture and embedded controls effectively prevent fraud;
· Natural justice; and
· Ensuring compliance with the Protected Disclosure Act 2012 and Council’s Protected Disclosure Policy and Procedures.
Council is committed to protecting property, assets and public money against internal and external fraud. Key elements of this involve:
· Implementing effective internal control structures and procedures which aim to eliminate the opportunity for fraud to occur. This can be achieved by analysing operational risks to proactively identify potential opportunities for fraudulent acts and implementing internal controls and separating roles and functions;
· Maintenance of Council’s Risk register and Fraud register in documenting risks to Council and current and proposed controls;
· Requiring all new employees to undertake fraud awareness training during their induction and facilitating ongoing fraud awareness modules on a regular basis by the relevant Officer;
· Encouraging all employees to report suspected fraud-related activity or behaviour, considering confidentiality requirements and protection for the person reporting the suspected fraud either informally or in accordance with the Protected Disclosure Act 2012, as applicable;
· Confirming Council’s ongoing commitment to a policy of prevention, detection, investigation and prosecution of individual cases of fraud, including formal discipline and/or referral to the Victorian Police; and
· Establishing reporting protocols which encourage all employees to report suspected fraud.
Guidelines
Reporting Fraud
1. All Councillors and employees have a responsibility to identify and act on fraud risks and report incidents of suspected fraud encountered during work activities.
2. Where a member of the public reports alleged fraudulent activities of a Councillor or a member of Council staff, such report shall be treated in accordance with Council’s Protected Disclosure policies and any associated procedures.
3. An employee who becomes aware, or has grounds to suspect, fraud has been carried out by another employee, must report the matter as soon as possible to their immediate Supervisor or Senior Manager or in accordance with Council’s Protected Disclosure policies and any associated procedures, as applicable.
4. In the event of an alleged fraud, the person against whom the allegations are made shall be notified at the earliest available opportunity. Any such person shall have a support person and/or receive assistance and support under Council’s Employee Assistance Program policy and procedures during an investigation into any such conduct but is not obliged to do so.
Investigating Fraud
1. The Chief Executive Officer or his or her delegate will decide how any investigation into fraud will be conducted, including whether any external assistance is to be sought. The provisions of the Protected Disclosure Act 2012 will otherwise be followed, as appropriate.
2. Council respects the civil rights of individuals, including employees, and is committed to natural justice and the protection of those making protected disclosures. In circumstances where the allegation of fraud carries the imputation of criminal conduct, then such an employee’s right to silence shall be recognised.
Responsibility
1. Council’s Code of Conduct and Staff Code of Conduct provides guidance to Councillors and employees regarding accepted practice and behaviour. Council values also reinforce ethical behaviour.
2. The Chief Executive Officer is the Officer responsible for fraud control within Council.
3. Councillors, the Chief Executive Officer and Senior Managers are responsible for creating an environment within their departments which makes active fraud control a responsibility of all staff.
4. Councillors, the Chief Executive Officer and Senior Managers are responsible for ensuring there are clear standards and procedures to encourage the minimisation and deterrence of fraud.
5. Senior Managers are to display a commitment to help set high standards, be vigilant about identifying problems and ethical dilemmas, and encourage employees to come forward about potential problems or concerns.
6. Senior Managers and Supervisors will ensure all contractors engaged within their department are aware of Council’s Fraud Prevention and Reporting Policy and Procedures and reference to these are incorporated into contracts to ensure contractors and their employees are aware of their responsibilities and acceptable behaviours.
7. All employees must familiarise themselves with the Fraud Prevention Policy and Procedures.
8. All employees have a responsibility to safeguard Council assets against misuse or improper use or the appearance of misuse or improper use and must not use their position with Council to improperly gain personal advantage or confer advantage or disadvantage on any other person.
9. A review of this Policy and an evaluation of fraud control arrangements is to be undertaken every two years as a minimum.
References
This Policy was developed in accord with the following legislation:
· Crimes Act 1958 (Vic)
· Freedom of Information Act 1982 (Vic)
· Information Privacy Act 2000 (Vic)
· Local Government Act 1989 (Vic)
· Protected Disclosure Act 2012 (Vic)
· Protected Disclosure Regulations 2013 (Vic)
· Charter of Human Rights and Responsibilities Act 2006
Documents
This Policy is implemented in conjunction with the following documents:
· Australian Standard AS/NZS ISO 31000:2009 Risk Management – Principles and Guidelines
· Australia’s Fraud and Corruption Control Standard AS 8001:2008
· Buloke Shire Protected Disclosure Guidelines
· Protected Disclosure Act flowcharts
· Buloke Shire Council Code of Conduct
· Buloke Shire Council Staff Code of Conduct
· IBAC Guidelines for making and handling protected disclosures and IBAC Guidelines for protected disclosure welfare management
· Buloke Shire Council Employee Assistance Program Policy
· Buloke Shire Council Procurement Policy
· Victorian Auditor-General’s Report, ‘”Fraud Prevention Strategies in Local Government”
8.2 Management Reports CONTINUED
8.2.3 Loddon Mallee Regional Action Plan for the Prevention of Violence Against Women
Author’s Title: Acting Manager Risk and Human Resources
Department: Risk and Human Resources File No: GR/09/03
|
Nil |
Relevance to Council Plan 2015 - 2019
Strategic Objective: Engaging with, and facilitating our community to identify and meet its needs
|
That Councilresolves to become a signatory to the following commitment statement for the life of the Loddon Mallee Regional Action Plan for the Prevention of Violence Against Women (2016-2019):
“We acknowledge that violence against women is prevalent and serious in the Loddon Mallee Region.
We recognise that while any person can be a victim of or perpetrator of violence, violence is predominantly perpetrated by men, and in family violence situations, women are predominantly the victims.
We understand that the underlying drivers of violence against women are gender inequality, rigid gender stereotypes and cultures that accept or excuse men’s violence. We commit to working in our own organisations and in partnership with others to end violence against women.
We will do this by creating communities, organisations and cultures that are non-violent, gender equitable, non-discriminatory and that promote respectful relationships. In this way we will address the underlying drivers of violence against women and create a safety community.”
Seconded: Cr Leo Tellefson Carried. |
1. Executive Summary
Family violence and the prevention of violence against women are priority issues for National and State governments in response to growing community pressure for action in relation to the high rates and severity of violence against women. The report from the Victorian Royal Commission into the Prevention of Family Violence is due to be delivered to the state government in February 2016 and it is anticipated this will generate even higher visibility and awareness of this issue and assist to drive policy responses.
The Loddon Mallee Regional Action Plan for the Prevention of Violence Against Women will promote partnerships, strategies and actions to create and coordinate a ‘whole of community’ response. The Plan will provide Council with an opportunity to collaborate on this issue at a regional and local level.
As part of this process, a statement of commitment has been developed for organisations and regional partners to support the objectives of the Plan.
Council’s endorsement of the commitment statement is an important validation of the intent of the plan. The endorsement will recognise the important leadership role Council has in raising awareness and coordinating community action around an issue of high public awareness and concern.
The integrated frameworks underpinning the Plan will also allow Council to demonstrate alignment with national and state frameworks and make a strong case for funding opportunities which are expected to flow from the findings of the Royal Commission into the Prevention of Family Violence.
2. Discussion
Violence Against Women
The Loddon Mallee Regional Action Plan for the Prevention of Violence Against Women defines violence against women in accordance with the United Nations Declarations on the Elimination of Violence Against Women (1993). This defines violence against women as an act of gender-based violence that causes or could cause physical, sexual or psychological harm or suffering, including threats of harm, coercion or arbitrary deprivation of liberty in public or private life.
This definition includes, but is not limited to family violence.
While men, women, children, young people and older people can all be victims of violence, overwhelmingly violence is perpetrated by men and family violence is overwhelmingly perpetrated by men against women. There is a growing body of evidence that women and children are most vulnerable to family violence-related health and wellbeing impacts.
Our Watch is a body established with Commonwealth and Victorian Government support in order to drive nation-wide change in the culture, behaviours and attitudes that lead to violence against women and children. Research undertaken by this organisation identifies that:
- Family violence is the leading contributor to ill-health and premature death in women over 45. This is more than any other well-known risks including high blood pressure, obesity and smoking.
- Almost every week in Australia a women dies as a result of family violence. Some research suggests this rate is in fact much higher.
- One in four children/young people have been exposed to family violence against their mother.
- Physical and sexual abuse of children/young people is also more common in households where there is family violence.
Regional Incidence of Family Violence
The Loddon Mallee region has the second highest regional incidence of reported family violence in the state. Six of the Loddon Mallee local government areas have an incidence rate higher than the state average.
Buloke has the lowest incidence of reported family violence in the Loddon Mallee. Even by these results the reported incident rate is still high, with Buloke recording 3.6 incidents a month (nearly one a week) according to Women’s Health Loddon Mallee.
While a lower rate can reflect a lower level of violence than that of surrounding local government areas, it may also indicate lower levels of confidence to report these issues.
The Role of Local Government
Local Government has an important role to play in creating and maintaining environments which promote health and wellbeing. This role is realised through both legislative activities (for example, the development and implementation of Municipal Health and Wellbeing Plans, and the delivery of maternal and child health services) and non-legislated activities (for example, the provision and management of recreational facilities).
Promoting health and wellbeing can be considered in terms of three stages of influence: primary prevention, early intervention and intervention. From a family violence perspective, these can be described as follows:
- Primary prevention: preventing family violence before it occurs, for example by addressing the underlying causes of family violence such as gender inequality.
- Early intervention: taking action if there are early indicators of potential family violence, for example by addressing identified community or individual attitudes before they develop into established patterns of behaviour.
- Intervention: taking action after family violence has occurred, for example by providing support and treatment for victims of family violence.
Local government as a sector is well placed to influence the primary prevention and early intervention stages. However, some services delivered by local government (such as maternal and child health services) can also extend into the intervention stage as particular circumstances may require.
A number of local government authorities within the Loddon Mallee region have been taking action in primary prevention, including:
- Inclusion of violence against women in Violence Prevention or Community Safety plans;
- Taking a Stand program (bystander training for Council staff and Councillors);
- Inclusion of a Family Violence clause within Enterprise Agreements;
- Engagement and leadership in White Ribbon Day and 16 Days of Activism for the Elimination of Violence Against Women activities;
- Prevention of Violence Against Women in Emergencies projects and plans.
As reported to the October 2015 Ordinary Council meeting, the Buloke Shire Council has also had a number of accomplishments in the field of preventing violence against women, including:
- Participating in the rollout of the ‘Patchwork’ tool through Council’s maternal and child health services;
- Staff access to paid leave of up to 20 days in order to assist staff in dealing with family violence situations;
- Development of draft staff guidelines relating to family violence which outline Council’s intent regarding the establishment of a Contact Officer network, training and education and awareness programs;
- Participation in the 1800RESPECT 24-hour National Sexual Assault, Domestic Family Violence counselling service “Dunny Door Campaign”; and
- Endorsement of actions relating to gender equity, diversity and active citizenship in accordance with the principles outlined under the Victorian Local Government Women’s Charter.
The Regional Action Plan provides an additional opportunity for Council to take a leadership role in the community in preventing violence against women and to align Council activities with other relevant agencies and groups.
The Plan
Women’s Health Loddon Mallee has coordinated the development of the Loddon Mallee Regional Action Plan for the Prevention of Violence Against Women (the Plan) with support and funding from the Department of Justice.
The Plan outlines a number of strategies to guide action at regional local and community levels and is one of nine similar regional plans either under development or already published. Strategies contained within the Plan are consistent with existing primary prevention of violence against women frameworks at both National and State levels.
It has been developed in consultation with a broad range of community services, local government agencies, women’s services, emergency services and sporting and recreational associations across the Loddon Mallee region. Following consultation with these groups, the Loddon Mallee Takes a Stand Reference Group has developed a sign-on statement of commitment for organisations and existing partnerships to support the objectives of the Plan.
Commitment Statement
“We acknowledge that violence against women is prevalent and serious in the Loddon Mallee Region.
We recognise that while any person can be a victim of or perpetrator of violence, violence is predominantly perpetrated by men, and in family violence situations, women are predominantly the victims.
We understand that the underlying drivers of violence against women are gender inequality, rigid gender stereotypes and cultures that accept or excuse men’s violence. We commit to working in our own organisations and in partnership with others to end violence against women.
We will do this by creating communities, organisations and cultures that are non-violent, gender equitable, non-discriminatory and that promote respectful relationships. In this way we will address the underlying drivers of violence against women and create a safety community.”
3. Financial Implications
Nil
4. Cost Shift Considerations
Nil
5. Community Consultation
The Plan has been developed in consultation with a broad range of community services, local government agencies, women’s services, emergency services and sporting and recreational associations across the Loddon Mallee region.
6. Internal Consultation
Consultation has occurred within the Senior Management Team in relation to Council’s ongoing commitment to family violence prevention activities.
7. Legislative / Policy Implications
The Plan is aligned with a number of legislative requirements including the Victorian Charter of Human Rights and Responsibilities 2006; Equal Opportunity Act 2010; Public Health and Wellbeing Act 2008, and; Victorian Public Health and Wellbeing Plan.
8. Environmental Sustainability
Nil
9. Conflict of Interest Considerations
No officer involved in this report has a conflict of interest.
10. Conclusion
It is recommended Council endorse the statement of commitment in the Loddon Mallee Regional Action Plant for the Prevention of Violence Against Women.
8.2.4 Planning
Permit Application 638/15 Two Lot Subdivision (Dwelling Excision) - Lot 2 Plan
of Subdivision 311047C known as 753 Carnes Rd, Laen North
Author’s Title: Manager Planning and Community Support
Department: Planning and Community Support File No: lp/09/01
|
Nil |
Relevance to Council Plan 2015 - 2019
Strategic Objective: A local economy in which the contribution of the agricultural sector and business sector is recognised and their continued growth actively encouraged and supported.
|
That Council: Grants planning permit 638/15 subject to the following conditions: 1) This permit will expire if the development and the use are not started within two years of the date of this permit and the development is not completed within four years of the date of this permit. The responsible authority may extend the periods referred to if a request is made in writing before the permit expires, or within three months afterwards. 2) The development as shown on the endorsed plans must not be altered without the written consent of the responsible authority. 3) Before the plan of subdivision is certified under the Subdivision Act 1988, the owner must enter into an agreement with the responsible authority made pursuant to section 173 of the Planning and Environment Act 1987, and make application to the Registrar of Titles to have the agreement registered on the title to the land under section 181 of the Act which provides that; - Lot 1 will not be further subdivided and the owners will not object to agricultural activities being conducted in the immediate vicinity. - Lot 2 will not be further subdivided so as to create a smaller lot for an existing dwelling The owner must pay the reasonable costs of the preparation, execution and registration of the section 173 agreement. 4) Each lot must be accessed by a vehicular crossing including an appropriately constructed culvert drain crossover. (refer to Buloke Shire Council, Birchip Office for specifications) Referral Authority Conditions: Powercor 6) The plan of subdivision submitted for certification under the Subdivision Act 1988 shall be referred to Powercor Australia Ltd in accordance with Section 8 of that Act. 7) The applicant shall: · Provide and electricity supply to all lots in the subdivision in accordance with Powercor’s requirements and standards, including the extension, augmentation or re-arrangement of any existing electricity supply system, as required by Powercor (a payment to cover the cost of such work will be required). In the event that a supply is not provided the applicant shall provide a written undertaking to Powercor Australia Ltd that prospective purchasers will be so informed. · When buildings of other installations exist on the land to be subdivided and are connected to the electricity supply, they shall be brought into compliance with the Service and Installation Rules issued by the Victorian Electrical Supply Industry. You shall arrange compliance through a Registered Electrical Contractor. · Any buildings must comply with the clearance required by the Electrical Safety (Installations) Regulations. · Any construction work must comply with Energy Safe Victoria’s “No Go Zone” rules. · Set aside on the plan of subdivision for the use of Powercor Australia Ltd reserves and/or easements satisfactory to Powercor Australia Ltd where any electric substation (other than a pole mounted type) is required to service the subdivision. Alternatively, at the discretion of Powercor Australia Ltd a lease(s) of the site(s) and for easements for associated powerlines, cables and access ways shall be provided. Such a lease shall be for a period of 30 years at a nominal rental with a right to extend the lease for a further 30 years. Powercor Australia Ltd will register such leases on the title by way of a caveat prior to the registration of the plan of subdivision. · Provide easement satisfactory to Powercor Australia Ltd, where easements have not been otherwise provided, for all existing Powercor Australia Ltd electric lines on the land and for any new powerlines required to service the lots and adjoining land, save for lines located, or to be located, on public roads set out on the plan. These easements shall show on the plan an easement(s) in favour of “Powercor Australia td” pursuant of Section 88 of the Electricity Industry Act 2000. · Obtain for the use of Powercor Australia Ltd any other easement external to the subdivision required to service the lots. · Adjust the position of any existing easement(s) for powerlines to accord with the position of the line(s) determined by survey. · Obtain Powercor Australia Ltd’s approval for lot boundaries within any area affected by an easement for a powerline and for the construction of any works in such an area. · Provide to Powercor Australia Ltd, a copy of the version of the plan of subdivision submitted for certification, which shows any amendments which have been required. GWM Water 8) The plan of subdivision submitted for certification must be referred to GWM Water in accordance with Section 8 of the Subdivision Act. Seconded: Cr Gail Sharp Carried. |
1. Executive Summary
An application for a two lot subdivision (dwelling excision) has been made to council.
2. Discussion
The subject land has an area of approximately 129.4ha and is contained in a single parcel of land being lot 2 on PS311047P. The land is bounded by roads on three sides with main access being from Carne Road along the eastern boundary. Other road abuttals include R Woods Road to the south and Young Road to the north. The parcel contains an existing dwelling, associated rural sheds and other infrastructure. The home parcel is fenced into approximately 13+ha and is lightly treed with Buloke Trees with a small portion used for cropping.
As is typical of the area the land is flat to gently undulating and the remainder of the land is primarily cleared for farming purposes including cropping. The land also “contains” a small title of land excised in 1991 for the local CFA shed.
The subject site is located in the broader Laen North rural community approximately 12.5km south west of Donald. The area is predominately rural in character and is characterised by a number of farming activities including general grazing and cropping. The gently undulating terrain and good soils etc, means that it comprises some of the better farming land in the locality.
The area is largely cleared of indigenous vegetation with only a few dispersed significant remnants remaining.
The proposal is to subdivide the subject land into two lots as follows:
Lot 1 will have an area of approximately 13.2ha and will contain the existing dwelling, sheds and importantly the remnant Buloke Trees.
Lot 2 will have an area of approximately 116.2ha and will be vacant.
The two most important considerations in deciding upon a dwelling excision under the Framing Zone and Rural policy are:
Whether the use or development will support and enhance agricultural production
This subdivision will not have a negative impact on farm production as the proposed subdivision will support and enhance agricultural production by retaining the existing farmland and associated infrastructure within a single lot for purchase.
The existing dwelling represents a significant financial asset to the land but without corresponding value to the overall productive capacity of the land to the purchaser.
116+ of vacant rural land represents an attractive parcel to the purchaser as it would not carry the extra value for the existing dwelling.
Whether the use or development will permanently remove land from agricultural
production.
This subdivision will not result in the permanent loss of significant land from agricultural
production. It simply seeks to remove a portion of land that has contained a dwelling and
associated infrastructure and remnant vegetation including Bulokes.
The subdivision seeks to ensure that the majority farm land is in fact consolidated and
retained for agricultural production.
The application is in keeping with the decision guidelines of the Buloke Planning Scheme.
3. Financial Implications
Nil
4. Cost Shift Considerations
Nil
5. Community Consultation
The application was sent to three neighbouring properties and advertised in the Buloke Times on the 15th December 2015
6. Internal Consultation
Nil
7. Legislative / Policy Implications
The application considers both the purpose of the Farming Zone and the State and Local Policy Frameworks in the Buloke Planning Scheme.
8. Environmental Sustainability
Nil.
9. Conflict of Interest Considerations
No officer involved in the preparation of this report has any direct or indirect conflict of interest.
10. Conclusion
It is recommended that a planning permit be issued for the Two Lot Subdivision (dwelling excision) subject to the appropriate planning permit conditions.
8.2.5 Drought Relief Advisory Committee
Author’s Title: Director Corporate Services
Department: Corporate Services File No: GS/09/12
Relevance to Council Plan 2015 - 2019
Strategic Objective: An organisation that is responsive to the evolving needs of the community.
|
That Council: 1. Creates a Drought Relief Advisory Committee.
2. Signs and seals the attached Terms of Reference for the Committee, with the amendment of 3. Objectives to state: “The objectives of the Committee are to assist Buloke Shire Council to:”
Seconded: Cr David Pollard Carried. |
1. Executive Summary
With the declaration of a second year of drought it is critical that drought relief is well coordinated and appropriately targeted. With this in mind it is proposed that Council create a Drought Relief Advisory Committee.
The objectives of this committee will be to:
· Provide relevant drought support information to farmers and rural businesses
· Identify opportunities for farming families to maintain connectedness
· Work with service providers to avoid unnecessary duplication of activities and event burn out.
· Identify gaps in the coordination and government response
It is also important that this committee be provided with Terms of Reference to clearly articulate its roles and responsibilities. Central to the Terms of Reference is the reporting mechanism which ensures all of Council is kept informed of activities.
As a result of the immediate need for communication and coordination, an informal group has been working to address the objectives set out above. This report will enable the Committee to officially advise Council.
2. Financial Implications
There are no financial implications relating to this report.
3. Cost Shift Considerations
There are no cost shift implications relating to this report
4. Community Consultation
The process of forming this Advisory Committee will result in extensive community consultation.
5. Internal Consultation
Internal departments will be consulted where required
6. Legislative / Policy Implications
The formation of the Advisory Committee and drafting of its Terms of Reference are in line with Council’s Meeting Procedure Local Law and also the Local Government Act 1989.
7. Conflict of Interest Considerations
The officer has no conflicts of interest in relation to this report
8. Conclusion
It is proposed that Council create a Drought Relief Advisory Committee and adopt Terms of Reference for this committee.
Buloke Shire Council Ordinary Meeting Minutes Wednesday, 10 February 2016
8.2.5 Drought Relief Advisory Committee
Attachment 1 Terms of Reference
§
DROUGHT RELIEF ADVISORY COMMITTEE
TERMS OF REFERENCE
1. BACKGROUND
1.1 By this Terms of Reference document, the Buloke Shire Council (Council) establishes the Advisory Committee (Committee) pursuant to section 76AA(a) of the Local Government Act 1989 (LGA).
1.2 Council will establish from time to time various Advisory Committees. The purpose of the Committee is to provide Council with expertise in relevant matters to assist its decision making for the Buloke Community.
1.3 The Committee has the functions and responsibilities as set out in this Terms of Reference document. The Terms of Reference document sets out the structure and basis on which the Committee can make decisions for, and on behalf of, Council.
1.4 This Terms of Reference document is authorised by a resolution of Council passed on XXXXXXXX
2. PURPOSE
The Committee is established for the purpose of ensuring that Council is well informed of issues affecting the Buloke Shire in relation to the drought relief activities.
3. OBJECTIVE
The objectives of the Committee are to assist Buloke Shire Council to:
3.1 Provide relevant drought support information to farmers and rural businesses
3.2 Identify opportunities for farming families to maintain connectedness
3.3 Work with service providers to avoid unnecessary duplication of activities and event burn out.
3.4 Identify gaps in the coordination and government response
4. ROLES AND RESPONSIBILITY
The role of the Committee is to:
4.1 Have an active role in communicating information to Council; and
4.2 Participate in discussions at meetings.
Committee members are expected to keep confidential all sensitive, commercial and personal information that the members encounter while being a member of the Committee.
5. MEMBERSHIP
5.1 The Committee will consist of 6 members comprising of:
5.1.1 4 community member representatives, including the following:
· Birchip Cropping Group
· Local Buloke Businesses
· Local Farmers
· Southern Mallee PCP
5.1.2 Mayor of Council;
5.1.3 Chief Executive Officer;
5.1.4 Other members invited or co-opted from time to time.
5.2 Other Council officers who do attend a meeting of the Committee are to provide advice and support to the Committee. They are not classed as Committee members.
5.3 All members, excluding additional Council officers, shall have full voting rights.
5.4 Additional Councillors who attend a meeting should be classed as observers and will not have voting rights.
5.5 Council will revise the membership and voting rights of each Committee member at its discretion.
5.6 The Mayor shall be the chairperson.
6. MEETINGS
6.1 Committee meetings must be conducted in accordance with:
6.1.1 Council's Meeting Procedure Local Law;
6.1.2 Part 4, Division 2 of the LGA;
6.1.3 The Committee's discretion, as exercised from time to time; and
6.1.4 Council’s Community Engagement Framework.
6.2 The Committee will meet monthly or as agreed by the Committee from time to time
6.3 The Chairperson will chair all Committee meetings.
6.4 The Chairperson is the authorised spokesperson for the Committee.
6.5 Council will appoint an Officer to provide support to, and liaise with, the Committee. The Council Officer’s role will include:
6.5.1 Maintaining a Register of Committee members, their date of appointment reappointment, official positions held as a Committee member;
6.5.2 Committee members of term completion dates and their eligibility for reappointment as relevant;
6.5.3 Acting as the contact point between Council and the Committee; and
6.5.4 Assisting with meeting the Committee’s reporting requirements.
6.6 A quorum of the Committee will be half of the members plus one.
6.7 The Chairperson shall have the casting vote.
6.8 Members may participate in the meetings via teleconferencing facilities.
.
7. REPORTING
7.1 The Committee is responsible for taking proper minutes of all meetings and preparing reports for the Committee's consideration in accordance with:
7.1.1 Council's Meeting Procedure Local Law;
7.1.2 Part 4, Division 2 of the LGA; and
7.1.3 The Committee's discretion, as exercised from time to time.
7.2 The Committee must provide a copy of the minutes to the Chief Executive’s Office within 2 weeks of the meeting date to allow reporting to Council
7.4 In accordance with section 80A of the LGA when a Councillor attends the Advisory Committee Meeting, this is deemed to be an Assembly of Councillors.
7.5 Consequently, an Assembly of Councillors Record must be completed as soon as possible by the officer in attendance or Committee Chairperson and forwarded to the CEO’s Unit for inclusion in the report to Council.
(Note – this only applies when a Councillor is in attendance.)
8. CREATION AND DISSOLUTION
8.1 These Terms of Reference:
8.1.1 Come into force immediately the common seal of Council is affixed to it; and
8.1.2 Remain in force until Council determines to vary or revoke it.
8.2 By these Terms of Reference the Committee:
8.2.1 Is established; and
8.2.2 Has the responsibility as set out in the Terms of Reference.
8.3 The Committee must be dissolved by a resolution of Council.
Dated: XXXXX
|
The Common Seal of Buloke Council was affixed by authority of the Council in the presence of: |
) ) ) |
.................................................................................... Mayor/Councillor
.................................................................................... Councillor
.................................................................................... Chief Executive Officer
8.3 Financial Reports
8.3.1 Financial Performance as at 31 December 2015
Author’s Title: Director Corporate Services
Department: Corporate Services File No: FM/19/03
|
3 Cash Flow Statement November 5 Capital Works Update November 6 Capital Works Graph November 9 Cash Flow Statement December |
Relevance to Council Plan 2015 - 2019
Strategic Objective: An organisation that is responsibly governed with a strong emphasis on sustainable financial and risk management.
|
That Council receives and notes the Financial Performance Report for the period ending 31 December 2015.
Seconded: Cr David Pollard Carried. |
1. Executive Summary
This report provides an overview of Council’s financial position as at 31 December 2015. Also attached to this report are the financial statements for November. These would normally have been presented in January but as there was no Council meeting they have been included in this report.
The Income Statement provides a summary of the total income and total expenditure relating to the Council’s annual recurrent operations. It also specifically includes capital income but never includes capital works expenditure.
For the period ending 31 December 2015, the year to date (YTD) actual surplus is $4.79m. Total income excluding capital grants is $3.97m. The negative variance in operating income is due to the early receipt of half of the 2015/16 Victoria Grants Commission allocation in June 2015. Council had budgeted to receive this allocation in August 2015.
The Balance Sheet effectively shows a summary of the value of Assets (what we own) and our Liabilities (what we owe), both of which balance off against each other to show Equity (our net worth).
At the 31 December 2015, the Balance Sheet shows Council’s bank balance at $2.18m. As mentioned above, the early receipt of the Victoria Grants Commission allocation in June 2015 is instrumental in the positive cash position.
The Cash Flow Statement is formatted to show a rolling 12 month forecast. At 31 December 2015, the Cash Flow Statement shows Council with a bank balance of $2.18m. As previously stated this is due to the early receipt of grant money. The critical period for the cash flow will be the February period as this is the time when Council generally receives the majority of rate income.
The Capital Works Program report reflects 28.66% i.e. $1.76m of capital works (including additional R2R allocation) has been expended as at the 31 December 2015. Subsequent to the adoption of the 2015/16 Annual Budget, Council was advised that the Roads to Recovery annual allocation for 2015/16 was increased from $2.20m to $3.14m. Council intends to claim its full annual allocation through additional capital road works projects in 2015/16.
2. Financial Implications
This report continues to show that Council’s tight financial management is placing it in a sounder position. It is critical that Council continues to have a positive cash flow and at present it is ahead of budget.
3. Community Consultation
No consultation with the community was required for the production of this report.
4. Internal Consultation
The reports have been prepared in consultation with Budget Managers directly responsible for Council budgets.
5. Legislative / Policy Implications
The report is consistent with the requirements of the Local Government Act 1989.
6. Environmental Sustainability
This report has no direct impact on environmental sustainability.
7. Conflict of Interest Considerations
No officer involved in the preparation of this report has a conflict of interest.
8. Conclusion
The Financial Performance Report reinforces that Council is successfully managing its challenging financial position. Council has a clear understanding of its finances and has implemented its adopted borrowing strategy, allowing it to prudently manage its finances into the future.
Buloke Shire Council Ordinary Meeting Minutes Wednesday, 10 February 2016
8.3.1 Financial Performance as at 31 December 2015
Attachment 1 Income Statement November
Buloke Shire Council Ordinary Meeting Minutes Wednesday, 10 February 2016
8.3.1 Financial Performance as at 31 December 2015
Attachment 2 Balance Statement November
Buloke Shire Council Ordinary Meeting Minutes Wednesday, 10 February 2016
8.3.1 Financial Performance as at 31 December 2015
Attachment 3 Cash Flow Statement November
Buloke Shire Council Ordinary Meeting Minutes Wednesday, 10 February 2016
8.3.1 Financial Performance as at 31 December 2015
Attachment 4 Cash Flow Graph November
Buloke Shire Council Ordinary Meeting Minutes Wednesday, 10 February 2016
8.3.1 Financial Performance as at 31 December 2015
Attachment 5 Capital Works Update November

Buloke Shire Council Ordinary Meeting Minutes Wednesday, 10 February 2016
8.3.1 Financial Performance as at 31 December 2015
Attachment 6 Capital Works Graph November
Buloke Shire Council Ordinary Meeting Minutes Wednesday, 10 February 2016
8.3.1 Financial Performance as at 31 December 2015
Attachment 7 Income Statement December
Buloke Shire Council Ordinary Meeting Minutes Wednesday, 10 February 2016
8.3.1 Financial Performance as at 31 December 2015
Attachment 8 Balance Statement December
Buloke Shire Council Ordinary Meeting Minutes Wednesday, 10 February 2016
8.3.1 Financial Performance as at 31 December 2015
Attachment 9 Cash Flow Statement December
Buloke Shire Council Ordinary Meeting Minutes Wednesday, 10 February 2016
8.3.1 Financial Performance as at 31 December 2015
Attachment 10 Cash Flow Graph December
Buloke Shire Council Ordinary Meeting Minutes Wednesday, 10 February 2016
8.3.1 Financial Performance as at 31 December 2015
Attachment 11 Capital Works Progress December

Buloke Shire Council Ordinary Meeting Minutes Wednesday, 10 February 2016
8.3.1 Financial Performance as at 31 December 2015
Attachment 12 Capital Works Graph December
8.4 Organisational Reports
Cr White Delegate and Activity Report February 2016
North West Municipalities Association (NWMA)
Nothing to report. Meeting scheduled for 26 February 2016 in Edenhope. To be followed by the MAV Strategic Planning Session.
Sea Lake Community Complex
Nothing to report.
Central Murray Regional Transport Forum
Nothing to report. David Leahy who was the main driver of the Forum from Swan Hill is now the CEO of West Wimmera Shire Council. At the moment, Greg Cruickshanks from Swan Hill Rural City Council will still Chair the Forum, and Leigh McPhee will still provide administration support. Geoff Rollinson from Gannawarra Shire Council may become the main driver. This will be confirmed at the next meeting, which will be held within the next month.
Alliance of Councils for Rail Freight Development
The AGM of the Alliance is to be held on Friday 19 February 2016.
The Alliance has submitted papers to both the State and Federal Governments to consider some of the rail freight projects in Victoria in the 2016 budgets. Both papers are available on the RFA website for public viewing at http://www.railfreightalliance.com/ In summary, the projects listed include:
· The Murray Basin Rail Freight Transport Project: request to include $100 Million in Federal and $416 Million in State Budgets
· Rail Freight Infrastructure for Gippsland (double track and bridge replacement) $79 Million from State
· Rail Freight Infrastructure in Shepparton District (reinstate Dookie line) $6 Million from State
· Gippsland Freight and Logistics plan $250,000 State
· Rail Freight Facilitation Unit within Government ($11 Million over 3 years State
Other activities
Met with Sandra Wilson from the Department of Transport re the Bendigo Arts Access Program, with Barry McKenzie from the North Central Local Learning Employment Network, Jessie Holmes, Amanda Gretgrix and Jenna McNicol from Wycheproof and Julie Bateman from Charlton to discuss the opportunities for young people to access the Bendigo Arts Precinct.
The Buloke Child, Youth and Family Services Area Partnership working group met to plan a network meeting.
Attended the Nullawil Progress Association meeting. Issues raised included:
· Toilets are only being cleaned once a week now. Community not happy and there was no consultation. This situation has now been remedied.
· Their ‘back to’ weekend planning is going well. They will ask council for some extra bins but not sure what else they may need. Economic Development Officer, James Goldsmith, is assisting them.
|
That Council receives the Councillor and Mayoral Reports as presented.
Seconded: Cr Graeme Milne Carried. |
8.6 Matters Which May Exclude The Public
The meeting moved into confidential session at 9.15 pm
|
That Council reopens the meeting to the public pursuant to Section 89(2) of the Local Government Act 1989 and brings resolutions from the closed session into open session. Seconded: Cr Ellen White Carried. |
The meeting came back into open session at 9.35pm.
8.6.1 Contract RFQ. 53 - Supply and Delivery of Road Maintenance Unit
Motion:
That Council:
1. Notes and declares the report and attachment for Contract RFQ. 53 – Supply and delivery of road maintenance unit to be confidential; pursuant to Section 77 (2) of the Local Government Act 1989, on the ground that it relates to Contractual Matters as described in Section 89 (2) of the Local Government Act 1989;
2. Awards the contract (Contract RFQ. 53) for the supply and delivery of one road maintenance unit to Ausroad Systems Pty Ltd for the lump sum price of $261,648 (exclusive of GST and on-road costs).
3. Delegates authority to the Chief Executive Officer to approve payments to the Contractor for undertaking works associated with the Contract.
4. Brings the resolution from Council’s consideration of this report into open Council following the conclusion of this report.
Moved: Cr Stuart McLean
Seconded: Cr David Pollard
Carried.
8.6.2 Contract C26-2014/15: Consultancy Services - Investigation and design of Charlton flood and drainage mitigation levee
Motion:
That Council:
1. Notes and declares the report and attachment for C26-2014/15: Consultancy Services – Investigation and design of Charlton flood and drainage mitigation levee to be confidential pursuant to Section 77(2) of the Local Government Act 1989, on the ground that it relates to Contractual Matters as described in Section 89 (2) of the Local Government Act 1989;
2. Delegates authority to the Chief Executive Officer to negotiate resolution of the indemnity and liability matters;
3. Awards the contract (C26-2014/15) for Consultancy Services – Investigation and design of Charlton flood and drainage mitigation levee (excluding superintendency services), to Cardno Victoria Pty for the lump sum price of $179,500 plus provisional items up to $15,000 (exclusive GST), subject to acceptable resolution of indemnity and liability requests, and affixes the Common Seal following resolution of the indemnity and liability matters;
4. Determines options for contract superintendency services of the construction contract, following final design of the flood and drainage mitigation levee works;
5. Delegates authority to the Chief Executive Officer to approve payments to the Contractor for undertaking works associated with the Contract.
6. Brings the resolution from Council’s consideration of this report into open Council following the conclusion of this report.
Moved: Cr Stuart McLean
Seconded: Cr Gail Sharp
Carried.