
Ordinary Council Meeting
Minutes
Wednesday 14 May 2014
Commencing at 7.00pm
Wycheproof Supper Room
367 Broadway, Wycheproof
Paul Younis
Acting Chief Executive Officer
Buloke Shire Council
Minutes of the Ordinary Meeting held on Wednesday, 14 May 2014 commencing at 7.00pm in the Wycheproof Supper Room, 367 Broadway, Wycheproof
PRESENT
CHAIRPERSON:
Cr Reid Mather Mallee Ward
COUNCILLORS:
Cr Ellen White Mallee Ward
Cr David Pollard Lower Avoca Ward
Cr Stuart McLean Lower Avoca Ward
Cr Graeme Milne Mount Jeffcott Ward
Cr Leo Tellefson Mount Jeffcott Ward
Cr Gail Sharp Mount Jeffcott Ward
OFFICERS:
Mr Paul Younis Acting Chief Executive Officer
Ms Gaynor Doreian Director Corporate and Community Services
Mr Anthony Judd Director Works and Technical Services
Mrs Paula Yorston Acting Manager Community Services
Mr Tom O’Reilly Acting Manager Finance
Mr Warren Hemopo Manager Reconstruction
AGENDA
1. COUNCIL prayer AND WELCOME
The Mayor Cr Reid Mather read the Council Prayer and welcomed members of the gallery.
2. RECEIPT OF APOLOGIES
3. CONFIRMATION OF MINUTES OF PREVIOUS MEETING
|
That Council adopt the Minutes of the Ordinary Meeting held on Wednesday, 9 April 2014. Seconded: Cr Graeme Milne Carried. |
4. REQUESTS FOR LEAVE OF ABSENCE
5. DECLARATION of PECUNIARY AND conflictS of interest
Cr David Pollard declared an indirect interest in Item 7.2.6 on the basis of being a Committee Member of the Charlton Rex Theatre who has obtained sponsorship from Acciona..
6.1 Report of Assembly of Councillors Meetings
6.2 Building Permits - Monthly Update
6.3 Planning Applications Received - Monthly Update
6.4 Planning Applications Approved By Acting Chief Executive Officer
6.5 Letters of Congratulations and Recognition of Achievement/Awards
6.6 Council Approval for use of Council Seal
7.2.1 George Gould Homes - Birchip
7.2.2 Township Tree Management Plan and Agreement
7.2.3 Appointment of Acting Chief Executive Officer
7.2.5 Buloke Shire Council Economic Development Strategy
7.2.7 Wycheproof Transfer Station Funding Application
7.2.8 Exercise of Delegation - 10 April 2014 to 14 May 2014
7.2.9 Local Law - Application To Park Heavy / Long Vehicle In Public Street
7.2.10 Application for Permit - Keeping of excess number of birds at 14 Horace Street, Sea Lake
9.3 Questions from Councillors
9.5 Any Other Procedural Matter
9.6.1 FUTURE FUNDING OF LLEN PROGRAM
10..... MATTERS THAT MAY EXCLUDE THE PUBLIC
NEXT MEETING
The next Ordinary Meeting of Council will be held in Wycheproof Supper Room, 367 Broadway, Wycheproof on Wednesday, 11 June 2014 at 7.00pm.
PAUL YOUNIS
ACTING CHIEF EXECUTIVE OFFICER
6. Procedural Items
6.1 Report of Assembly of Councillors Meetings
Author’s Title: Relief Governance Officer
Department: Office of the CEO File No: GO/05/04
|
1 ViewReport of Assembly of Council - 7 April 2014 2 ViewReport of Assembly of Council - 16 April 2014 3 ViewReport of Assembly of Council - 30 April 2014 |
|
That the Council notes the Report of the Assembly of Councillor Meetings held on 7, 16 and 30 April 2014.
Seconded: Cr David Pollard Carried. |
1. Key Points/Issues
The Local Government Act 1989 (the Act) provides that a record must be kept of any Meeting of Councillors and Staff deemed to be an Assembly of Councillors Meeting as defined in the Act.
The Act also provides that the record of any Assembly of Councillors is to be reported to the next practicable Council Meeting and recorded in the Minutes.
A record of the Assembly of Councillor Meetings held on 7, 16 and 30 April 2014 is attached.
Buloke Shire Council Ordinary Meeting Minutes Wednesday, 14 May 2014
6.1 Report of Assembly of Councillors Meetings
Attachment 1 Report of Assembly of Council - 7 April 2014
BULOKE SHIRE COUNCIL
RECORD
Assembly of Council Meeting
|
Date and Time: |
7 April 2014 |
Time: 5.00pm to 8.00pm |
|
Location: |
Charlton District Office |
|
Attendees: |
Cr Reid Mather – Mayor Cr Ellen White Cr David Pollard Cr Stuart McLean Cr Leo Tellefson Cr Gail Sharp Cr Graeme Milne
Paul Younis – Acting Chief Executive Officer (arrived at 6.30pm) Tom O’Reilly – Acting Manager Finance Anthony Judd – Director of Works and Technical Services Gaynor Doreian – Director of Corporate and Community Services Bill Keane – Manager Community Services Warren Hemopo – Manager Reconstruction Jessie Holmes – Senior Planning Officer |
|
Apologies: |
Nil |
ITEMS
|
NO. |
TOPIC |
PURPOSE |
|
|
1. |
Declarations of Conflicts of Interest |
Nil. |
|
|
2. |
Presentations |
|
|
|
3. |
Items for Discussion |
|
|
|
|
3.1 |
Council April 9 2014 Ordinary Meeting Agenda Items |
|
|
|
3.2 |
2014/2015 Budget Status Update |
|
|
|
3.3 |
Flood Contracts Status Update |
|
Next Briefing:
|
Date and Time: |
30 April 2014 |
Time: 5.00pm to 8.00pm |
|
Location: |
Nullawil Community Building |
|
Buloke Shire Council Ordinary Meeting Minutes Wednesday, 14 May 2014
6.1 Report of Assembly of Councillors Meetings
Attachment 2 Report of Assembly of Council - 16 April 2014
BULOKE SHIRE COUNCIL
RECORD
Assembly of Council Meeting
|
Date and Time: |
16 April 2014 |
Time: 5.00pm to 8.00pm |
|
Location: |
Wycheproof Supper Room |
|
|
Attendees: |
Cr Reid Mather – Mayor Cr Ellen White Cr David Pollard Cr Stuart McLean Cr Leo Tellefson Cr Gail Sharp Cr Graeme Milne
Paul Younis – Acting Chief Executive Officer Tom O’Reilly – Acting Manager Finance Anthony Judd – Director of Works and Technical Services Gaynor Doreian – Director of Corporate and Community Services Bill Keane – Manager Community Services |
|
|
Apologies: |
Nil |
|
BUDGET REVIEW NO 2 MEETING AGENDA
|
NO. |
TOPIC |
|
|
1. |
Review 2014/ 2015 Budget |
|
|
2. |
Request from North West Municipalities Group |
|
Buloke Shire Council Ordinary Meeting Minutes Wednesday, 14 May 2014
6.1 Report of Assembly of Councillors Meetings
Attachment 3 Report of Assembly of Council - 30 April 2014
BULOKE SHIRE COUNCIL
RECORD
Assembly of Council Meeting
|
Date and Time: |
30 April 2014 |
Time: 5.00pm to 8.00pm |
|
Location: |
Nullawil Community Building |
|
Attendees: |
Cr Reid Mather – Mayor Cr Ellen White Cr David Pollard Cr Stuart McLean Cr Leo Tellefson Cr Gail Sharp Cr Graeme Milne
Paul Younis – Acting Chief Executive Officer Tom O’Reilly – Acting Manager Finance Anthony Judd – Director of Works and Technical Services Gaynor Doreian – Director of Corporate and Community Services Paula Yorston – Acting Manager Community Services Warren Hemopo – Manager Reconstruction |
|
Apologies: |
Bill Keane – Manager Community Services Paula Yorston – Acting Manager Community Services Warren Hemopo – Manager Reconstruction |
ITEMS
|
NO. |
TOPIC |
PURPOSE |
|
|
1. |
Declarations of Conflicts of Interest |
NIL |
|
|
2. |
Presentations |
NIL |
|
|
3. |
Items for Discussion |
|
|
|
|
3.1 |
Local Government Amendment (Governance and Conduct) Bill 2014 |
|
|
|
3.2 |
Public Transport Users Association - Council Support – Open Letter to Premier – Herald Sun |
|
|
|
3.3 |
Council Meeting 14 May 2014 |
|
|
|
3.4 |
Update on 2014/2015 Budget Questions |
|
|
4. |
CEO Updates |
Council Meeting Agenda Items for 14 May 2014 |
|
|
5. |
Councillor Matters |
|
|
Next Briefing:
|
Date and Time: |
12 May 2014 |
Time: 5.00pm to 8.00pm |
|
Location: |
Wycheproof Supper Room |
|
6.2 Building Permits - Monthly Update
Author’s Title: Compliance Administration Officer
Department: Works and Technical Services File No: DB/14/02
|
Nil |
|
That the Council note information contained in the report on Building Permits approved under delegation from 1st April 2014 to 30th April 2014.
Seconded: Cr Stuart McLean Carried. |
1. Executive Summary
This report provides information on Building Permits approved under delegation from 1st April 2014 to 30th April 2014.
2. List of Building Permits Approved by Council Surveyor
|
Permit No. |
Address |
Project Description |
Value |
Date Approved |
|
20140031 |
Birchip-Corack Road, BIRCHIP |
New Building: Storage Shed |
$9,800 |
15/04/2014 |
|
20140032 |
842 Devon Park Road, DONALD |
Extension: Verandah |
$13,500 |
15/04/2014 |
|
20140034 |
10 Blair Street, DONALD |
Extension: Addition to Dwelling-Completion and Carport |
$30,000 |
22/04/2014 |
|
20140035 |
John Curtain Drive, CHARLTON |
New Building : Dwelling(Travellers Rest) |
$186,670 |
29/04/2014 |
3. List of Building Permits Approved by Private Surveyors
|
Permit No. |
Address |
Project Description |
Value |
Date Approved |
|
20140033 |
28 Campbell Street, BIRCHIP |
New Building: Shed |
$11,500 |
9/04/2014 |
6.3 Planning Applications Received - Monthly Update
Author’s Title: Senior Planning Officer
Department: Corporate and Community Services File No: LP/09/01
|
Nil |
|
That the Council note information contained in the report on planning applications under consideration by staff and the status of each of these applications.
Seconded: Cr David Pollard Carried. |
1. Executive Summary
This report advises provides information on planning applications under consideration by staff and the status of each of these applications.
2. List of Planning Applications
|
Application No |
Applicant |
Address |
Date Rec |
Summary of Proposal |
Status |
|
535/14 |
Acciona |
1 Gap Road, Nine Mile |
20/12/13 |
Use and development of a wind energy facility |
Council report |
|
545/14 |
Charlton Lions Club |
9 Camp St, Charlton |
09/04/14 |
Buildings & works to an outbuilding |
Referral |
|
546/14 |
R Bales |
38 Cumming Ave, Birchip |
14/04/14 |
Buildings & works to a façade |
Referral |
|
547/14 |
Ferguson Perry Surveying |
505 Bischs Rd, Nareewillock |
08/04/14 |
Two Lot Subdivision |
Referral |
|
548/14 |
R Bailey |
Willangie-Woomelang Road |
17/04/14 |
Two dwellings on the one lot |
Notice of Advert |
6.4 Planning Applications Approved By Acting Chief Executive Officer
Author’s Title: Relief Governance Officer
Department: Office of the CEO File No: LP/10/01
|
Nil |
|
That the Council note information contained in the Report on Planning Permits that have been administered by the Planning Officer and approved by the Acting Chief Executive Officer under Council’s delegated authority. Seconded: Cr Stuart McLean Carried. |
1. Executive Summary
This report advises Council of the planning permits that have been administered by the Planning Officer and approved by the Acting Chief Executive Officer under Council’s delegated authority.
2. List of Planning Permits
|
Date |
Permit No. |
Applicant |
Address and Project |
|
07.02.14 |
543/14 |
Craig Steel Building Design |
Lot 1 of Plan of Subdivision 62019 Parish of Charlton East
Pty No: 360600102
Known as 1-5 Camp Street, Charlton
Use and Development of an Outbuilding |
|
07.02.14 |
544/14 |
Bryan Pedersen |
Crown Allotment 78 Parish of Teddywaddy
Pty No: 385116502
Known as 941 Gretrix Road, Teddywaddy West
Second dwelling on the Lot in a Farming Zone |
6.5 Letters of Congratulations and Recognition of Achievement/Awards
Author’s Title: Relief Governance Officer
Department: Office of the CEO File No: CR/13/01
|
Nil |
|
That the Council acknowledge and congratulate the persons and/or groups mentioned in the report for their achievements.
Seconded: Cr Leo Tellefson Carried. |
1. Executive Summary
This report acknowledges and congratulates community persons and/or groups for their success in being recognised for a significant achievement or for being a recipient of an honourable award.
The report also informs Council of any letters of congratulations or any particular recognition of achievement that Council has received or been awarded in the past month.
2. Recognition of Achievement Items
|
Provider |
Recipient |
Date |
Purpose for Recognition |
|
Independent Grocers of Australia |
Weirs IGA Donald |
12 April 2014 |
Winner of 2014 Victorian Retailer of the Year Awards Meat Department of the Year Fruit and Vegetable Department of the Year Grocery Department of the Year Weirs IGA will represent Victoria at the National Retail Awards to be held in Queensland in July. |
|
Victorian Veterans Cycling Council Inc. |
Shane Wall |
Easter Weekend 18-21 April 2014 |
Winner of the South Pacific Championships for Veteran Cyclists (65-69 Yrs) Winner of Victorian Title for Veteran Cyclists (65-69 Years) |
6.6 Council Approval for use of Council Seal
Author’s Title: Relief Governance Officer
Department: Office of the CEO File No: Nil
|
Nil |
|
That Council approval be granted to the Chief Executive Officer to execute the items as listed below.
Seconded: Cr Ellen White Carried. |
1. Executive Summary
Council approval is required for the use of the Council Seal on the items
as listed below.
2. Agreements/Leases
|
PROPERTY/PROJECT |
EXTERNAL PERSON OR ORGANISATION AGREEMENT IS WITH |
|
Contract C19- 2013/14 Replacement of Watchupga Culgoa Rd Bridge over Tyrell Creek at Culgoa- Design and Construct |
Infracon Group Pty Ltd 1A Randor Street CAMPBELLFIELD VIC 3061 |
Buloke Shire Council Ordinary Meeting Minutes Wednesday, 14 May 2014
7.2 Management Reports
7.2.1 George Gould Homes - Birchip
Author’s Title: Acting Chief Executive Officer
Department: Office of the CEO File No: CP/02/15
|
1 ViewInstrument of Delegation - Birchip Community Housing Committee |
Relevance to Council Plan 2013 - 2017
Objective: A Buloke community where people of all ages, backgrounds and abilities, are embraced and supported and can access the Council services they need to help live healthy and fulfilling lives.
Strategy: Working with the community to make Buloke an even better place to live.
Priority: Support the provision of a broad range of housing choice, affordability and availability.
|
That: 1. Council appoint members of the Birchip Community Housing Committee as a Special Committee of Council in accordance with Section 86 of the Local Government Act 1986. 2. Council delegate to the Birchip Community Housing Committee the powers and duties set out in the attached instrument of delegation and attach the Common Seal of Council to the Instrument of Delegation. Seconded: Cr Graeme Milne Carried. |
1. Purpose
For Council to consider the management and operation of the George Gould Homes in Birchip.
2. Discussion
In the mid 90’s, the former Birchip Shire Council and then Buloke Shire Council entered into two agreements with the Director of Housing under the Commonwealth Government auspiced Community Housing Program (CHP), to construct 7 units on the land. The units were for the elderly, single parent families and others that met the prescribed criteria.
The Agreements contain standard conditions, but of significance is a condition that funds contributed under the CHP (approx $485,000) be refunded to the Director of in certain circumstances, such as the sale or transfer of the land on which the units are constructed. The Agreements also required that there be a management committee comprising representatives of tenants, the Shire Council and Lions Club of Birchip, with a requirement that the Committee meet regularly and provide periodic reports to the Council.
The Agreement also allows the Council to terminate the agreement after 25 years (ie. 2020). The termination also triggers the requirement to repay money to the Director of Housing based on the formula in the Agreement.
In April 1997 the Birchip Community Housing Committee (BCHC) was appointed by the Council as a special committee under section 86 of the Local Government Act 1989 to manage the units and to assist Council in meeting its obligations that there be a community based committee managing the units.
There appears to have been limited oversight of the BCHC by Council and limited interaction between Council and the Committee. There are no delegations on file that enable the committee to perform the functions of Council as a Section 86 Committee.
For several years, the BCHC have wanted to expand the number of units and have approached Council for support. Council has been unable to agree to any of the Committee’s requests, it appears that the uncertain nature of the agreement and the committees powers have made resolution of the issues difficult.
The BCHC’s day to day operational management of the units has been able to ensure that the units have been managed in accordance with Councils agreement with Director of Housing. The Committee carry out all functions associated with the operation of the units and ensure the units are self funding.
To continue to operate the units in accordance with the agreement, Council can formalise the arrangement with BCHC in the form of a Section 86 Committee or transfer the agreement to a registered housing agency (subject to the approval of the department). There are existing registered housing agencies operating in the Region, but this option is not supported by BCHC as transferring ownership would potentially see the loss of the local management currently provided by BCHC. No approach has been made to any registered housing agency.
3. Financial Implications
The management of the Units is totally funded by the BCHC from the operation and renting of the units. The Committee have indicated their desire to expand the units and construct additional housing options. The Committee have available funds to expand the operation which would require Council support to allow development to occur on the land. The Committee have prepared a Business Case which indicates that the development is able to be funded without impacting on other Council funding sources. The Business Case has been developed with an appropriate amount of rigour
4. Community Consultation
There is no broad Community Consultation proposed at this time. Officers have met with the BCHC to discuss the options.
5. Internal Consultation
N/A
6. Legislative / Policy Implications
Section 86 Committees are provided for under the Local Government Act as a Special Committee of Council. Council can delegate certain powers to a special committee. Council cannot delegate the power to borrow money or to enter into contracts exceeding the amount determined by council. Environmental Sustainability
N/A
7. Conflict of Interest Considerations
Members of a special committee are required to make disclosures in the council’s register of interests.
8. Conclusion
It is clear that Council have responsibilities for the Management of the units in accordance with the agreement with the Director of Housing. The BCHC have been successfully managing the units on Councils behalf and have the capacity and desire to expand the operation. The formalisation of the Committee as a Section 86 Committee under the Local Government Act can see the current operation continue and allow expansion of the operation.
Buloke Shire Council Ordinary Meeting Minutes Wednesday, 14 May 2014
7.2.1 George Gould Homes - Birchip
Attachment 1 Instrument of Delegation - Birchip Community Housing Committee


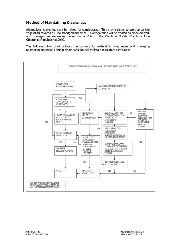
7.2.2 Township Tree Management Plan and Agreement
Author’s Title: Environmental Compliance Officer
Department: Works and Technical Services File No: EM/11/02
|
1 ViewTownship Tree Management Plan and Agreement 2 Birchip Significant Tree Register - printed in separate document 3 Charlton Significant Tree Register - printed in separate document 4 Culgoa Significant Tree Register - printed in separate document 5 Donald Significant Tree Register - printed in separate document 6 Nullawil Significant Tree Register - printed in separate document 7 Sea Lake, Berriwillock, Nandaly Significant Tree Register - printed in separate document 8 Watchem Significant Tree Register - printed in separate document 9 Wycheproof Significant Tree Register - printed in separate document |
Relevance to Council Plan 2013 - 2017
Objective: An organisation that is responsive to the evolving needs of the community.
Strategy: Continuing to actively listen to the community and providing constructive and timely feedback on proposed actions.
Priority: Councillors and Senior Staff regularly attending township Forum and Progress Association meetings to report on Council activities, listen to local concerns and provide feedback on past activities.
|
That the Council: 1. Enter into an Agreement with PowerCor for a Tree Management Plan for significant trees in the townships within Buloke (see attatched)
2. Council continue to work with Powercor and community representatives on the development and ongoing review of the Plan and the Significant Tree Register.
3. Council authorise the signing and sealing of the Agreement with Powercor for a Tree Management Plan
Seconded: Cr Gail Sharp Carried. |
1. Purpose
The purpose of this report is for council to considerentering into an agreement with Powercor regarding the responsibilities, agreed actions and future tree/powerline management for the significant trees, private trees and other Council Trees within town boundaries of the Buloke Shire Council Municipality.
2. Discussion
The purpose of the Tree Management Plan is to inform Managers of Public Land situated in urban areas of pending tree clearing works where Powercor are responsible for the maintenance of the powerline clearance space.
Powercor seeks to engage Council who are responsible for the management of tree assets and to identify areas or trees which warrant joint development of long term management plans.
Following significant community interest in the trimming of the peppercorn trees in Wycheproof by Powercor, members of Council and Powercor staff have met in order to develop a Tree Management Plan and Agreement that covers all of the townships within the Buloke Shire Council.
Powercor have implemented this template plan with a number of other municipalities in our region following community feedback on clearance zones.
Council and Powercor staff have completed an inspection through each township in order to establish a significant tree register and have also requested feedback through local community forums.
Staff have sent out letters and a copy of significant tree register to each township forum for comment and have also facilitated meetings where requested with Powercor and community groups. As the plan will be subject to ongoing review, community forums and interested community members will be able to provide additional input through Council or Powercor representatives.
The plan sets out the key requirement of Powercor with respect to communication with affected stakeholders, as well as the extent of pruning of identified significant trees. It also identifies that the plan and significant tree list will be subject to ongoing review from both Powercor and Council, particularly in the first twelve months of its implementation.
For a majority of cases, Powercor have agreed that the clearance space on significant trees will be defined as a maximum of between 1000-2000mm.
Powercor will complete yearly inspections done on all trees identified in the significant tree list. Any trees that have grown back into the clearance space will be trimmed to a greater clearance to keep required clearance profile clear of vegetation.
It is expected that this plan, and more specifically the significant tree register, will be subject to constant review through ongoing discussions with community and Powercor representatives.
Powercor contractors are due to start pruning works in Buloke Shire Council townships in May 2014.
3. Financial Implications
Tree pruning under powerlines remains the responsibility of Powercor. Staff will continue to liaise with Powercor and the community to ensure a beneficial outcome for all parties.
4. Community Consultation
Letters were sent to all the community groups and forums within the Shire, requesting any significant tree that would like to register to be placed on the yearly trimming cycle.
A number of meetings have been held with Wycheproof Vision regarding the peppercorn trees in Wycheproof.
Further consultation will be required with the community during the implementation and ongoing review of the Plan.
5. Internal Consultation
Staff and Councillors have held meetings with community members and Powercor regarding the trimming of trees.
6. Legislative / Policy Implications
Electricity Safety (Electrical Line Clearance) Regulations 2010S.R.No. 47/2010
7. Environmental Sustainability
The Buloke Shire Council seeks to work with local communities in protecting high value environmental assets.
8. Conflict of Interest Considerations
N/A
9. Conclusion
It is recommended that Council enter into the Tree Management Plan and Agreement with Powercor and continue to review the significant tree register with community members.
Buloke Shire Council Ordinary Meeting Minutes Wednesday, 14 May 2014
7.2.2 Township Tree Management Plan and Agreement
Attachment 1 Township Tree Management Plan and Agreement






7.2.3 Appointment of Acting Chief Executive Officer
Author’s Title: Mayor
Department: Office of the CEO File No: PE/21/02
|
Nil |
Relevance to Council Plan 2013 - 2017
Objective: An organisation that is responsibly governed with a strong emphasis on sustainable financial and risk management.
Strategy: Ensuring Council is well governed and its finances and risks are managed sustainably and responsibly.
Priority: Continue Council’s risk management program including the development of a plan to identify and mitigate high-level corporate and community risks.
|
That: 1. Council appoint John Hicks as Acting CEO for the period of 15th May 2014 until 13 August 2014 or the permanent appointing of the new Chief Executive Officer, whichever first occurs. Seconded: Cr Gail Sharp Carried. |
1. Purpose
For council to consider the appointment of an Acting Chief Executive Officer for Buloke Shire Council.
2. Discussion
At its April 2014 meeting, council extended the appointment of Mr Paul Younis as Acting Chief Executive Officer to the 14th May 2014. Council has begun the process of recruiting a CEO on a permanent basis, which is expected to take a number of months. With the departure of Mr Younis council will be required to appoint a CEO for the interim period.
7.2.4 Permission to Seek Adoption from the Minister for Amendment C19- Replacement Municipal Strategic Statement for the Buloke Planning Scheme and Delete Four Local Planning Policies
Author’s Title: Senior Planning Officer
Department: Corporate and Community Services File No: LP/10/01
|
1 ViewMunicipal Strategic Statement Final Copy |
Relevance to Council Plan 2013 - 2017
Objective: A Shire planned to meet the current and future needs of the agricultural sector and town-based residents while maintaining and enhancing its built environment.
Strategy: Ensure the built environment of the Shire is appropriately regulated.
Priority: Complete the review of the Buloke Planning Scheme, including the Municipal Strategic Statement .
|
That Council: 1. Approve the request to seek adoption from the Minister for Planning for Amendment C19 – Replacement Municipal Strategic Statement to the Buloke Planning Scheme.
Seconded: Cr Leo Tellefson Carried. |
1. Purpose
The current Municipal Strategic Statement (MSS) of the Buloke Planning Scheme has not been updated since its inception in 1998. This report seeks adoption for a planning scheme amendment that will replace the existing MSS. Adoption is to be sought from the Minister of Planning following public exhibition of the amendment.
2. Discussion
The proposed MSS correlates with the Buloke Shire Council Plan themes of Community, Built Environment, Natural Environment and Economy. By utilising the same themes throughout these two key Council documents it is proposed that strengthened links will create more consistent priorities and outcomes. The proposed MSS also seeks to incorporate strategies that directly impact on Buloke land use scenarios and acknowledge land use patterns such as predominant agriculture and complex zone interfaces due to historical land use patterns.
Following public exhibition, one submission was received in relation to the Amendment. The submission was from VicRoads. The submission requested that Council not abdicate any responsibilities for assets. It is not clear how the proposed document compromises any other legislative requirements for asset management and this was reiterated to the referral agency to their satisfaction.
Meetings were held in each of Council’s five main townships during business hours as well as after-hours availability. The meetings were advertised twice in the three locally circulating newspapers. Unfortunately, no public engaged in the consultation process.
The Department of Planning, Transport and Local Infrastructure has signalled that changes to the State and Local Planning Policy Framework will occur in the coming months which may result in the scope of local content being minimised and the removal of the Municipal Strategic Statement from Planning Schemes.
3. Financial Implications
Preparation of the amendment is included in the operating budget of the Planning Department, including the planning scheme amendment lodgement fee.
4. Community Consultation
Notices were placed in all locally circulating newspapers and in Council’s Community Matters sections of each newspaper. Five sessions were held in the townships of; Sea Lake, Wycheproof, Birchip, Donald and Charlton for a total of six hours. Letters were sent to all referral agencies within the Buloke Planning Scheme, all neighbouring Councils and the Ministers required under Section 19 (1) of the Act to Ministers as required by section 31 of the Act and Regulation 10 of the Planning and Environment Regulations 2005.
5. Internal Consultation
Internal consultation has been undertaken with several staff members including Council’s Economic Development Officer and Environmental Compliance Officer. Consultation with Councillors has been undertaken on several occasions to ensure consistency amongst Council’s strategic documents and Councillor’s position on a number of strategic land use directions.
6. Legislative
/ Policy Implications
Pursuant to Part 1 Section 4 (1)(d) of the Planning & Environment Act
1987 Council is obliged to implement the objectives of planning in Victoria
7. Environmental Sustainability
The proposed MSS seeks to strengthen the natural environment through identifying strategies for appropriate and sustainable land use management.
8. Conflict of Interest Considerations
No known conflict of interest.
9. Conclusion
It is recommended that Council approve a request to seek adoption from the Minister of Planning for the purpose of introducing the replacement Municipal Strategic Statement in to the Buloke Planning Scheme.
Buloke Shire Council Ordinary Meeting Minutes Wednesday, 14 May 2014
7.2.4 Permission to Seek Adoption from the Minister for Amendment C19- Replacement Municipal Strategic Statement for the Buloke Planning Scheme and Delete Four Local Planning Policies
Attachment 1 Municipal Strategic Statement Final Copy
21 MUNICIPAL STRATEGIC STATEMENT
21.01 INTRODUCTION
Buloke Shire is a rural municipality
located in north-west Victoria. The Shire has an area of some 8,000km2 and its economy
is largely based on broadacre, dryland agricultural production. In 2011 the ABS
estimated the shire had a total population of 6, 384. Buloke Shire is located
in the riverine plains and Murray-Mallee region of Victoria, approximately
300km North West of Melbourne and 180km south of Mildura. The Shire is
characterised by vast agricultural plains extending from the sedimentary hills
south of Charlton, north to the Mallee dunes and into the Wimmera region,
interspersed by small settlements acting as service centres to the surrounding
farming districts.
The Shire also plays a valuable role in the production of the State’s agricultural output, including $225 million as the gross value of agricultural production at the 2012 ABS data.
The Shire contains 5 townships and 5 hamlets, the largest of which is Donald with a population of over 1400 people. Approximately 64% of the population live in the urban centres of the Shire, with the remainder residing on farms throughout the rural areas.
The main urban centres of the Shire and their populations in 2011 were as follows: Birchip (683), Charlton (1,072), Donald (1434), Sea Lake (634), Wycheproof (686). Other smaller settlements include Berriwillock, Culgoa, Nandaly, Nullawil, and Watchem, which range in population from 50 to 140.
The population centres of Buloke Shire provide an important retail and industry function for the Shire. They provide a range of shopping facilities, medical and educational services and recreational facilities. While the key urban centres in the Shire each have a strong and unique identity, a number of features are characteristic of them all. These include: the strong focus on the core commercial area; the role of major highways in shaping settlement patterns and commercial development; the existence of an industrial precinct; and the strong delineation between urban and non-urban land use, defined by historic patterns of zoning and servicing.
Another feature of the Shire’s (and the region’s) towns is the way in which sympathetic rural, urban commercial and industrial land uses are interspersed. While towns in Buloke Shire do have identified commercial and industrial areas, historic patterns of development have created urban areas with mixed land uses.
The municipality has seen structural demographic change for several decades, this has resulted in outcomes such as the age structure of the Shire, in comparison to regional Victoria as a whole, has less representation in the younger age groups, particularly the ages between 18 and 35, and a relatively high representation in the age groups over 50. The relatively high proportion of lone person households is a reflection of the ageing nature of the community.
21.02 KEY INFLUENCES AND ISSUES
----
The key influences and related issues of
how to respond to them in Buloke are:
Our Community
Settlement and Township Development
· An Ageing Population – Accommodating and servicing older residents.
· Population Decline – Mitigating and/or adapting to population decline.
· The viability of urban centres - Maintaining or improving urban character, amenity and services, and encouraging development in urban centres.
· Our Community value - Ensuring the participation within the community reflects in social capital outputs and indicators.
Our Natural Environment
Environment
· Environmental Values - Protecting biodiversity, native vegetation and natural landscape values.
· Risk management - Minimising environmental risk, including salinity and floodplain management.
· A changing climate - Mitigating and adapting to climate change.
Natural Resources
· Providing viable futures - Managing natural resources sustainably.
Our Built Environment
Housing
· A changing demographic - Ensuring diversity, availability and quality of housing
stock
Heritage
· Preserving heritage - Utilising the heritage values of the Shire to enhance the
community.
Infrastructure
· Financial viability - Providing and managing infrastructure, including Communications, Power, Sewerage and Water to provide for present and future needs.
Transport
· Future needs- Maintaining and improving the Shire’s connectivity, internally
and to the rest of the region/state/world.
· Minimising travel times
Our Local Economy
Economic Development
· Viability - Encouraging economic activity in the Shire that increases incomes
and opportunities for residents.
Agricultural Development
· Future growth and opportunity - Managing and encouraging sustainable
agriculture
· Preserving the value of agricultural land
· Protecting valuable agricultural land from inappropriate settlement.
21.02 - 1 LAND USE THEMES:
The objectives, strategies and implementation, including policy guidelines, scheme implementation and further strategic work are outlined in the following clauses;
21.05 Our community
21.06 Our Natural Environment
21.07 Our Built Environment
21.08 Our Local Economy
21.03 THE VISION
The Council’s vision for the Buloke municipality as follows:
‘A sustainable community where everyone is actively encouraged to participate in community life to enrich the cultural, social, and economic viability of our Shire and to care for our most important asset, the natural environment.’
The Council Plan 2013-2017 also set key objectives and strategies for the Buloke Shire Council revolving around the strategic areas of community, local economy, built environment, natural environment, and people and organisation. The strategic objectives of the Council Plan may be summarised as:
· Including, supporting, servicing and connecting a diverse community.
· Recognising and supporting agriculture and business in the local economy; encouraging employment and investment.
· Supporting current and long term sustainable agriculture; providing facilities and infrastructure that contributes to the well being of the community.
· A shire that is working with the community to protect and enhance its natural environment.
· Responding to the evolving needs of the community; managing risk and developing its people.
The 2006 strategic review Buloke 2015: A Partnership in Progress also identified priority actions including:
· Facilitating new housing opportunities within existing township boundary areas
· Encouraging the development of independent living opportunities for older people
· Protecting and enhancing the environmental value of remnant vegetation and habitat
· Working with local farming and agricultural groups to encourage sustainable farming practices
Among the priority projects committed to by Council that are of
direct relevance to the planning scheme are:
· Promoting the shire as a location for renewable energy production
· Developing township structure plans
· Implementing strategies to improve stormwater quality and enhance natural waterways
Reference Documents
Buloke 2015: A Partnership in Progress (July 2006)
Buloke Shire Council Plan 2013-2017
Buloke Planning Scheme Four Year Review of the MSS (July 2013)
21.04 STRATEGIC FRAMEWORK PLAN
The Buloke Shire Strategic Framework Plan (Figure One) sets out the general pattern for land use and development to respond to the key influences and issues to achieve the strategic vision for the municipality.
The framework plan identifies:
· Major landscape features, including:
- Richardson River
- Avoca River
- Lake Buloke
- Lake Tyrell
- The Mallee Plain
- The Wimmera Flats
· Major transport links, including:
- Sunraysia Highway
- Calder Highway
- Mildura-Ballarat Railway line
- Swan Hill-Bendigo Railway line
· Townships and hamlets
· Major community assets and infrastructure
· Recreational Lakes
SETTLEMENT STRUCTURE PLAN (FIGURE 1)
21.05 OUR COMMUNITY
This Clause provides local content to support Clause 11 (Settlement) and Clause 15 (Built Environment and Heritage - Part) of the State Planning Policy Framework.
Overview
The demographics and geography of the Buloke Shire are key influences on its settlement patterns and township development. Major demographic influences on the shire are an aging population and population decline. The shire has an older than average median age (45) compared to the rest of Australia (37). Declining population trends are similarly a key influence on the viability both of the shire’s capacity to maintain services overall, and to the shire’s urban centres of Donald, Charlton, Wycheproof, Birchip and Sea Lake, which are small towns spread over large distances. This makes local economies of scale difficult to achieve for economic activity and community development. Any tendencies to disperse population over the shire thus also pose challenges to the viability of its urban centres and the capacity for the shire to service its residents effectively and efficiently.
The main issues arising from these key settlement influences will be addressed through the following objectives and strategies:
Key Issues
· Ageing Population – How to accommodate and service older residents.
· Population Decline – How to mitigate and adapt to population decline.
· Viability of urban centres - How to maintain or improve urban character, amenity and services, and how to encourage development in urban centres.
· Community value - Ensuring the participation within the community reflects in social capital outputs and indicators.
Objective 1
To encourage accommodation and services that will meet the needs of a diverse population.
Strategies
· Increase the mix of housing types and densities to reflect the needs of older people in the community
· Encourage further public or private housing for the elderly within the Shire. Ideally these facilities should be established in key urban centres.
· Encourage development that facilitates older people living at home.
Objective 2
To adjust to changing population demographics and attract residents to the Shire.
Strategies
· Ensure future development maximises the range of existing services, infrastructure and facilities to encourage population retention and growth.
· Ensure that threshold populations are determined and made apparent in order to retain services.
· Work collaboratively with other key strategic partners who have links with the Shires changing demographics including health networks, education networks and social service providers.
Objective 3
To adapt to smaller populations where necessary and maintain sustainable communities.
Strategies
· Maintain threshold populations within the defined urban centres of the Shire through urban consolidation where possible.
· Encourage joint usage of existing facilities and the rationalisation of under utilised facilities.
· Promote and encourage greater community involvement and self-sufficiency.
· Ensure that all communities are provided with facilities in both a social and cost effective manner.
Objective 4
To develop vibrant, attractive urban centres within the Shire which provide high quality living environments, with ready access to a range of facilities and services.
Strategies
· Encourage consolidation of development and growth to within the defined township boundaries of the large, serviced urban centres of the Shire to provide a sustainable population base, maximise services and promote opportunities for employment, investment and infrastructure development.
· Avoid land use conflict between residential, industrial and rural land uses.
· Protect residential amenity and improve the presentation of streetscapes and town centres.
· Encourage the re-use of vacant housing stock where this does not affect residential amenity
· Protect and enhance the quality of recreation facilities and the range of community services provided in the Shire.
Implementation
These strategies will be implemented by:
The use of policy guidelines
The exercise of discretion
· The use of the Township Policy to promote high quality development that is consistent with the character of the Towns in Buloke Shire.
· The use of the Discretionary Uses in the Township Zone Policy to provide a set of standards for non-residential developments that may have potential to impact on residential amenity.
· By encouraging development that uses, or re-uses, sites within the existing urban area, maximising the use of infrastructure.
· By encouraging residential development that offers housing forms best suited to the household structure and age-groups represented in the Shire.
· Recognising the positive characteristics of urban centres, streetscapes and rural landscapes and encouraging the maintenance of these characteristics when deciding on applications for land use and development.
· Encouraging opportunities for land use and development that sensitively re-use existing heritage buildings.
Applying Zones and Overlays
The application and use of the:
· Township Zone to provide for a range of urban uses, while maintaining residential amenity in towns.
· Commercial 1 Zone within existing town centres to promote a consolidation of commercial areas.
· Commercial 4 Zone in peripheral highway commercial areas to reflect those commercial uses that are unsuitable for town centres.
· Industrial 3 Zone, where sensitive uses are located adjacent to existing industrial development.
Further strategic work
· Develop additional initiatives to retain and attract young people to the Shire.
· Investigate the potential for development for older people close to services.
· Continue to undertake an audit of recreational facilities to determine long term needs and maintenance requirements.
· Develop and implement guidelines for the restoration and maintenance of heritage areas and features.
· Investigate the population levels and characteristics needed to support government and private services and facilities, and monitor service changes in various centres.
Other actions by Council
· Provision of Customer and Community Service Officers in five district centres.
· Operation of HACC, Social Support, and Home Help Handyman program along with Senior Citizens Centres in eight towns.
· Operation of Maternal Health Centres, Neighbourhood Houses and Pre-Schools.
· Operation of VicRoads Agencies.
· Support private and public sector provision of a range of housing in the community.
· Maximise community involvement in the pursuit and management of community services.
21.06 OUR NATURAL ENVIRONMENT
This Clause provides local content to support Clause 12 (Environmental and Landscape Values), Clause 13 (Environmental Risks), Clause 14 (Natural Resources –part) of the State Planning Policy Framework.
Overview
The Buloke Shire Council faces environmental challenges such as wind erosion, salinity and floodplains. These challenges cause environmental degradation and impact on natural resources including agricultural land as well as impacting on life, property and community infrastructure. The need to plan appropriately for the environmental management of risks is critical to the Councils ability to respond to emerging impacts
The natural environment of the Buloke Shire is highly modified as a result of settlement and agriculture. The environment has many aspects of significance which need to be protected, for example remnant vegetation along roadsides, watercourses and rivers, and significant wetlands such as Lake Buloke, Lake Tyrell and the Wooroonook Lakes.
Key Issues
· How to protect biodiversity, native vegetation and natural landscape values in
Buloke Shire.
· Environmental degradation – How to minimise and reverse the effects
· Climate change – How to mitigate risk and adapt to climate change
Objective 1
To conserve remnant native vegetation and protect biodiversity throughout Buloke Shire.
Strategies
· Prevent native vegetation removal and promote native revegetation where practicable.
· Protect remnant native vegetation where it exists along roadsides and waterways.
· Encourage the protection and enhancement of remnant vegetation through the development of linkages between existing areas, and by requiring proposals to retain and enhance vegetation where appropriate.
· Regulate droving of livestock and manage road works to prevent areas of remnant vegetation being compromised.
Objective 2
To conserve the environmental value of the waterways and wetlands, including those at Lake Buloke, Lake Tyrell and the Wooroonook Lakes.
Strategies
· Prevent inappropriate vegetation removal, waste water disposal and earthworks that negatively affect waterways and wetlands.
· Promote the use of existing serviced areas for new development and discourage expansion into areas of environmental sensitivity.
· Educate the community on the environmental sensitivity of land as an important economic and environmental resource which requires protection and careful management.
· Discourage the removal of native vegetation from waterways
· The precautionary principle will be used for all use and developments with unknown impacts
· Incorporate CMA strategies that mitigate adverse impacts on waterways and wetlands into statutory and strategic planning considerations.
FLOODPLAINS
Objective 1
To ensure that new use and developments do not compromise the health of the catchment, a natural resource base.
Strategies
· Manage activities on floodplains to maintain natural flows.
· Accurately map floodwater regularly to ensure appropriate application of zones
and overlays.
· Educate the shire population about artificial barriers to natural water flows and
their consequences
· Maintain rural flows and natural conditions within waterways where possible.
· Identify and implement coordinated land use strategies to deal with flood
control.
WILDFIRE PROTECTION
Objective 1
To identify areas of wildfire risk and address issues of development with regard to that risk.
Strategies
· Ensure that development applications meet the Country Fire Authorities
guidelines.
· Ensure native and remnant vegetation are within the Department of
Environment and Primary Industries guidelines for permissible volume or
offsets are set.
· Minimise the threat and potential impact of bushfires throughout the shire
through land use management.
SALINITY
Objective 1
To reduce the impact of salinity on development, rivers, soil, groundwater and areas of environmental significance.
Strategies
· Discourage development in areas identified as subject to high levels of salinity
unless a salinity management plan is prepared.
· Manage the identified high recharge areas in the Shire with stringent planning
controls.
· Promote vegetation retention in high recharge areas and salinity tolerant
vegetation in new developments.
· Provide information on best practice land management to reduce impacts of
Salinity.
WATERWAY MANAGEMENT
Objective 1
To recognise the contribution waterways make to the economy along with natural fauna and flora.
Strategies
· Educate the Shire population about the economic value of health waterways.
Implementation
These strategies will be implemented by:
The use of policy and the exercise of discretion
· Encourage planning permit applications that accommodate the management of land and water, and the enhancement of vegetation.
· Requiring detailed site analysis to assess environmental impacts and land suitability for particular permit applications.
· Encourage proposals for land use and development which incorporate measures to minimise the impact on remnant vegetation, including dead and hollow bearing trees.
· Encourage proposals that provide areas of open space directly adjacent to existing vegetation or areas of public land.
· High value remnant vegetation, including a broad vegetation type, ecological vegetation class of floristic community or sub-community which is classified as depleted, rare or endangered, should not be cleared.
· Council will consider the advice of the Department of Environment and Primary Industries and the relevant Catchment Management Authority where sites include remnant vegetation, including grasslands and wetlands.
· Applications for land use and development should demonstrate consistency with applicable regional vegetation plans and the vegetation and habitat recommendations of catchment-based strategies.
· Should the land be identified to contain the habitat of a Victorian Rare and Threatened flora or fauna species the responsible authority should request the advice of the Department of Environment and Primary Industries to determine whether and under what conditions the proposed development should proceed.
· High priority should be placed upon retaining remnant vegetation and habitat corridors in areas identified as habitat for Victorian Rare and Threatened Flora or Fauna species.
· Approaches such as fencing pockets of remnant vegetation or providing vegetation corridors between pockets of remnant vegetation should be considered as requirements on permits where appropriate.
· Using the Catchment Management Strategy to promote integrated farm management and environmental protection, promoting vegetation and habitat enhancement, appropriate water use and the protection of waterways.
· Encourage applications that accommodate the management of land and water, and the enhancement of vegetation.
· Preventing earthworks that result in inappropriate concentrations of floodwater, or
directs water from a natural path to an area that would not otherwise experience
flooding.
By applying Zones and Overlays
· Environmental Significance Overlay (ESO1) to waterways in the Shire to prevent inappropriate vegetation removal, waste water disposal and land forming.
· Vegetation Protection Overlay (VPO1) to roadsides of identified significance to maintain habitat and promote vegetation linkages.
· Land Subject to Inundation Overlay (LSIO) to areas identified as being subject to
flooding to prevent inappropriate rural, residential or industrial development that
may have impacts on water quality.
· Floodway Overlay (FO) to areas identified as being highly subject to flooding to prevent inappropriate rural, residential or industrial development that may have impact on water quality and flows.
· Urban Floodway Zone (UFZ) to areas identified as being highly subject to flooding to prevent any development and protect lives and infrastructure.
Further strategic work
· In conjunction with adjoining local governments, the Department of Environment and Primary Industries and Catchment Management Authorities, identify areas subject to flooding, saline discharge and groundwater recharge areas.
· Implement the Buloke Shire Roadside Management Guidelines to identify practices to minimise disturbance to roadside vegetation.
· Establish appropriate stock routes that minimise environmental impacts.
· In collaboration with other governmental departments, identify areas subject to salinity.
· Amendment to remove sections of the Environmental Significance 2 Overlay from the Buloke Planning Scheme as a consequence of the pipeline and decommissioning of channels
Other Actions
· In collaboration with the Environmental Officer undertake to produce information sheets for farmers regarding land use planning and environmental risks.
21.07 OUR BULT ENVIRONMENT
This Clause contains local content to supplement Clause 19 (Infrastructure) and
Clause 18 (Transport) Clause 16 (Housing) and Clause 15 (Built Environment and
Heritage- Part) of the State Planning Policy Framework.
Overview
The sparsity of settlement throughout the Shire means that planning for infrastructure and transport must be efficient, logical and equitable. Utilising existing infrastructure and forward planning for future infrastructure provisions are of equal importance for Buloke Shire, as maintenance has a fundamental economic impact.
There are also numerous significant heritage buildings and places throughout the Shire listed and their consideration is provided for by the Heritage Overlay. Heritage assets in the Shire contribute to the character of the landscape and townships. The towns and rural areas of the Shire contain numerous historic buildings and sites acting as a reminder of the history and cultural heritage of the towns and surrounding area.
The principal transport infrastructure connecting the shire to the region and beyond is railways and highways. All major towns in the Shire have silo facilities at the railroad terminals. The significant network of highways and secondary roads connects the Shire to Melbourne, Sydney, Adelaide, Ballarat, Mildura and Bendigo. The Calder Highway tends to be used mostly by heavy vehicles and road transports from Melbourne, while the Sunraysia Highway is more generally used by rural transportations and tourists visiting Mildura. Increasing traffic volumes are being experienced through grain transports using major roads from Rainbow, Beulah, Birchip and Wycheproof. Local roads, which are the responsibility of the Shire, prove to be a major liability in terms of cost for the Council.
The Shire also has limited airport infrastructure. The airstrips at Birchip, Charlton, and Donald have sealed runways and lighting, while Sea Lake and Wycheproof have grass runways.
Key Issues
· How to utilise the heritage values of the Shire to enhance the community.
· Maintaining and improving the Shire’s connectivity, internally and to the rest of the region, state and the world.
· Minimising travel times for residents.
· Managing the costs and demands of local infrastructure maintenance given scarce
resources and sparse population.
TRANSPORT
Objective 1
To ensure new development is managed to take advantage of the existing road network without unnecessarily increasing the works requirements of Council.
Strategies
· Development, (especially development that generates substantial traffic), should be directed to those roads that are able to support it.
· The cost of upgrading roads for new development should not be unfairly imposed on the community and, where appropriate, the cost should be met by the developer.
Objective 2
To improve the Shire’s connectivity and reduce travel times, particularly given scarce resources and vast distances.
Strategies
· Maximise the availability and accessibility of internet resources and tools for Shire residents involved in business and community activities, particularly given the anticipated connection to the wireless National Broadband Network and potential future optic fibre connection.
RENEWABLE ENERGY
Objective 1
To facilitate the development of a more sustainable, renewable energy industry for the Buloke Shire.
Strategies
· Promoting the Shire as a suitable site for renewable energy.
· Supporting community initiatives in favour of renewable energy.
· Encourage the upgrade of existing energy infrastructure to accommodate renewable energy projects.
TELECOMMUNICATIONS
Objective 1
To provide the Shire with access to efficient, affordable and modern telecommunication infrastructure.
Strategies
· Encourage new providers into the region for competition .
· Recognise the positive contribution modern telecommunication has on economic development including rethinking employment.
· Facilitate any upgrades of new instillations of telecommunication infrastructure.
· Promote the advantages of telecommunications to reduce isolation.
INFRASTRUCTURE
Objective 1
To maintain and enhance the quality of infrastructure provision in the Shire.
Strategies
· Ensure proper situating of septic solutions in non sewered urban areas.
· Lobby for implementation of sewer infrastructure in smaller townships and support Domestic waste water management plans for each hamlet.
· Lobby for upgrades to power supply infrastructure in the Council.
· Maintain levels of community, health and education infrastructure in the Shire by encouraging higher use.
· Promote the advantages of existing infrastructure, including transport and the use of public transport facilities.
· Protect areas of possible future transport expansion from development such as road reserves.
Objective 2
To encourage efficient use and development of infrastructure.
Strategies
· Encourage co location of developments where appropriate.
· Inform the Shire population about costs associated with infrastructure maintenance.
Objective 3
To encourage development in key towns where provision of reticulated water, sewerage, power, communications, drainage and sealed roads is readily available.
Strategies
· Promote development in locations that have existing service connection options.
· To discourage developments that require an extension of service delivery, unless costs are met by the developer.
Objective 4
To demonstrate that without the rationalisation process, infrastructure decline will continue due to lower patronage.
Strategies
· Inform and consult with the Shire population about using infrastructure and prioritising essential infrastructure.
· Promote the need to maintain threshold populations for infrastructure provisions.
HERITAGE
Objective 5
To protect the buildings, sites and artefacts of natural and man made heritage significance in the Shire and to utilise the heritage values of the Shire in order to enhance the community.
Strategies
· To maximise the economic value and amenity, and unleash the potential of the Shire’s heritage places.
· To preserve and maintain places of heritage value where practicable.
Implementation
These strategies will be implemented by;
The use of policy guidelines
The exercise of discretion
· Developments requiring significant water infrastructure will be referred to the relevant water authority.
· Industrial development in sewered areas will be strongly encourage to mitigate the impact of septic on groundwater.
· Applications affecting Road Zone 1 will be referred to VicRoads.
Applying Zones and Overlays
Applying the:
· The application of the Industrial 3 Zone (IN3Z) and Commercial 4 Zone (B4Z) to guide development.
· The application of the Road Zones to ensure appropriate consideration of development that may affect significant transport routes.
· The Heritage Overlay to provide statutory protection for places with identified
cultural and natural heritage values where practicable.
Through undertaking further strategic work
· Identify and protect areas with potential to become Industrial areas.
· Ensure the continual maintenance of transport routes by responsible authorities.
Other actions by Council
· Support the improvement of electricity supply and capacity.
· Establishments, extensions or new designated areas for Industrial areas in the five major towns.
· Request support for transport route maintenance.
· Apply for funding from relevant bodies, such as Heritage Victoria, for the preservation and maintenance of heritage areas used by the community.
21.08 OUR ECONOMY
This clause contains local content to supplement Clause 14 (Natural
Resource Management) and Clause 17 (Economic Development) of the State
Planning Policy Framework.
Overview
The key to providing for a vibrant community is the provision of an employment base. Although agriculture is the economic foundation of the Shire, the primary production areas such as cropping and grazing are limited in their capacity to provide direct employment to members of the community. Higher efficiencies within agricultural can still contribute to the Shire wide productivity outputs but other such opportunities like value adding of local produce and manufacturing through the development and promotion of Rural Dependent Enterprises need to be supported to provide employment opportunities outside of agriculture.
Whilst the industry base of the Shire is small, increased opportunities and diversity in industrial developments in the Shire are critical to the creation of employment opportunities. Many of the existing key towns within the Shire contain vacant land zoned for industrial purposes. Traditional industries that support the agricultural sector such as repairs and servicing of agricultural machinery could be strengthened alongside opportunities for new industries that process raw materials and by-products of agriculture. Access to infrastructure, availability of affordable and serviced land, incentives, raw materials and markets are key considerations for the establishment and operation of successful industrial development.
The support for successful retailing will have a positive impact on the retention of population in the towns and contribute to the economic prosperity of the Shire. There is also the potential in the Shire for quality tourism development based on the Shire’s natural and built features, relying on its location relative to surrounding attractions such as the Murray River and the Goldfields. The annual duck shoot at Donald attracts significant numbers of visitors to the Shire as do other local events such as Country racing and the Mallee Rally.
Service industries incorporating opportunities for legal, finance, accounting business services and personal services have become increasingly important to support the primary production industry. This sector is also becoming more important as contracting out for such services, professional support, equipment and assets maintenance becomes the business trend.
In order to maintain and enhance the use of the Shire’s natural resources, including agricultural land, there needs to be a planning framework that allows for sustainable land use and development. Management of the most important economic asset needs to be high priority for the Shire.
Key issues
· Managing and encouraging sustainable agriculture.
· Preserving the value of agricultural land.
· Protecting valuable agricultural land from inappropriate settlement.
· Economic Development – How to encouraging economic activity in the Shire that increases incomes and opportunities for residents.
Objective 1
To protect productive farming land and ensure land use patterns of large, viable allotment sizes for broad acre cropping are maintained.
Strategies
· Support research for ongoing farming efficiency and diversification.
· Encourage farmers to create farm plans.
· Encourage the use of Future Farming techniques including crop rotation.
· Consider land use patterns of surrounding areas before removing land from agricultural use.
· Actively support and promote the Birchip Cropping Group and other Agricultural Research and Development enterprise.
Objective 2
To support, promote and facilitate sustainable, diverse and viable agriculture to provide for the long-term economic, social and environmental health of the Buloke Shire.
Strategies
· Develop a Rural Land Use strategy.
· Investigate innovative farming opportunities originating from the pipeline water supply.
· Investigate innovative farming opportunities originating from the governments approach to Climate change adaptation.
· Encourage the revegetation areas of wind erosion vulnerability.
· Encourage the use of Future Farming techniques including crop rotation.
· Investigate where areas of soil structure decline are prominent within the Shire.
· Actively encourage track rationalisation for hoofed animals in areas of soil structure decline.
· Limit the fragmentation of productive agricultural land to maintain sustainable holdings.
· Encourage and support agricultural diversification and sustainable farm practices.
· Ensure that new development does not limit the viability of surrounding enterprises and reflects the optimum use of land.
The exercise of discretion
· Using the Catchment Management Strategy to promote integrated farm management and environmental protection.
· Promoting vegetation and habitat enhancement, appropriate water use and the protection of waterways.
· Using the Rural Land Use Strategy to promote farm practice that is sustainable and uses water and soil in an effective and sustainable way.
· Encourage planning permit applications that accommodate the management of land and water, and the enhancement of vegetation.
· Requiring detailed site analysis to assess environmental impacts and land suitability for certain permit applications.
Applying Zones and Overlays
Applying the:
· Farming Zone (FZ) to identify areas of agriculture that needs to be protected.
· Environmental Significance Overlay (1 & 2) to protect waterways and channels from insensitive land uses.
Further strategic work
· Develop a Rural Land use strategy.
Other actions by Council
· Continual support for the Birchip Cropping Group and other sustainable agricultural initiatives.
COMMERCIAL
Objectives 1
To encourage sustainable economic activity in the Shire that increases employment choices, incomes and opportunities for residents.
Strategies
· Provide a broad range of services and facilities that is consistent with the role of the town in the settlement hierarchy.
· Improve the presentation of the whole Shire, including strengthening the role, function and presentation of the streetscapes, commercial centres and facilities in the townships to provide a vibrant environment for development.
· Investigate the re-use of key vacant commercial buildings.
· Develop strategies for economic development in conjunction with regional municipalities.
· Actively promote tourism products including items of natural and cultural heritage, landscapes, events and culinary products with a local focus, protecting the assets that contribute to that experience.
· Encourage the development of a diverse range of accommodation options.
· Encourage growth and infill development in business areas
INDUSTRIAL DEVELOPMENT
Objective 1
To facilitate well planned and sited industrial use and development.
Strategies
· Appropriate zoning of land for industrial estate developments.
· Guide development to maximise use of existing infrastructure.
· Ensure an adequate supply of serviced industrial land, requiring attractive and landscaped development.
Objective 2
To promote industrial use and development which adds value to local produce.
Strategies
· Encourage business plans that demonstrate the benefits to the local economy.
· Support Rural Dependent Enterprises that complement the agricultural production base of the Shire and are appropriately located.
· Encourage the development of local enterprises based on processing of local products.
Objective 3
To minimise conflict with other sensitive land uses such as residential areas.
Strategies
· Require permit applications to show amenity issues being addressed proactively.
· Encourage development in appropriate locations.
EXTRACTIVE INDUSTRY
Objective 1
To identify, facilitate and ensure that extractive industry is carried out in an environmentally sensitive manner including the site rehabilitation.
Strategies
· Ensure applications are within the Department of Environment and Primary Industry guidelines for rehabilitation of sites.
· Encourage the controlled development of mining and extractive industries, ensuring regard for community and environmental values and appropriate rehabilitation.
· That proposed site operation be considered against the economic benefits and surrounding amenity.
Implementation
These strategies will be implemented by:
The use of policy guidelines
The exercise of discretion
· The use of the Rural Land Policy to provide guidance for subdivision, value adding production and intensive agriculture.
· The use of the Townships Policy to direct development to appropriate locations, enhance the presentation of the towns and to protect the amenity of residential areas.
· Requiring detailed site analysis, where appropriate, for industrial and processing development in rural areas.
· Preventing the loss of important cultural and natural landscapes and heritage places that contribute to the tourism product of the Shire.
The application of Zones and Overlays
· The application and use of the Township Zone to provide flexibility for non-residential development while maintaining residential amenity in towns.
· The application and use of Industrial 3 Zone to identify established industrial areas within the urban area.
· The application and use of Commercial 1 Zone to identify established commercial centres, or areas for potential town centre expansion.
· The application and use of Commercial 4 Zone to identify those commercial areas on the fringe of towns with highway access, appropriate for large scale bulky goods retailing.
· The application and use of Heritage Overlay to identify places of heritage significance.
Through ongoing strategic investigation
· Prepare and promote tourism strategies in association with tourism boards.
· Improve visitor signage in association with VicRoads.
· Identify and protect areas with mining or extractive potential.
· Continuously identify emerging tourism products and markets.
· Develop a comprehensive database on existing and potential industrial and commercial properties and promote the provision of serviced land.
· Investigate options for re-use of key buildings in urban areas.
· Identify options for water sources to facilitate new agricultural industry and undertake land suitability studies to provide a basis for planning and development promotion in conjunction with the Department of Natural Resources and Environment.
Other actions by Council
· Provide support to retailers through strengthening forums and chambers of commerce.
· Encourage retailers through the economic development officer to diversify their market presence and continuously up skill.
7.2.5 Buloke Shire Council Economic Development Strategy
Author’s Title: Senior Planning Officer
Department: Corporate and Community Services File No: ED/10/01
|
1 ViewBSC Economic Development Strategy |
Relevance to Council Plan 2013 - 2017
Objective: A local economy in which new business is actively encouraged; investment welcomed; employment created; business skills developed and local networks are supported.
Strategy: Leveraging new industry development from the Wimmera Mallee Pipeline, active encouragement of entrepreneurship, promotion of local business opportunities, fostering growth in business networks and the availability of business support services.
Priority: Help to develop the local economy through implementation and ongoing review of Council’s Economic Development Strategy.
|
That Council : 1. Adopt the Economic Development Strategy and that actions will be implemented in line with Council’s adopted Annual Budgets. 2. Will receive a quarterly progress report on actions by way of an agenda item at Council’s Assembly Meetings.
Seconded: Cr Leo Tellefson |
|
AMENDMENT 1. Adopt the Economic Development Strategy and that actions will be implemented in line with Council’s adopted Annual Budgets. 2. Will receive a quarterly progress report on actions by way of an agenda item at Council’s Assembly Meetings. 3. Council will review the Economic Development Strategy in 12 months.
Seconded: Cr Graeme Milne Carried. |
|
THE AMENDMENT THEN BECAME THE MOTION AND WAS CARRIED.
|
1. Purpose
The Economic Development Strategy previously adopted by Council is due to expire in 2016 and over the last eighteen months a new strategy has been developed with a staff working group. The new strategy has a stronger focus on advocacy, actions and agriculture.
2. Discussion
The proposed economic development strategy has four themes;
- Retail & Commerce
- Agriculture
- Services
- Mining & Alternative Energy
The themes are broken down in to fourteen sub-headings that include strategies and initiatives.
The Economic Development Strategy is measured by a number of actions and advocacy indictors over short term, long term and annual periods.
The plan is focused on utilising the limited resources at Council’s disposal to the maximum benefit across a range of business types and communities within the Shire. The plan builds on Council’s ability to network in a wide range of settings both locally, regionally and beyond.
3. Financial Implications
The strategy does not include any further spending other than that already budgeted in the Buloke Shire Council Budget. If adopted, the strategy will provide justification for grant applications as a base document endorsed by Council.
4. Community Consultation
The strategy has been developed without community consultation. However, it is envisaged that a community consultation plan will be developed with input from Councillors.
5. Internal Consultation
The strategy has been developed with the input of a number of Council
staff including; the Chief Executive Officer, Economic Development Officer,
Economic Projects Officer, Community Development Officer, Senior Planning
Officer and Risk Coordinator.
6. Legislative/Policy
Implications
The strategy is not a legislative requirement; however, the principles of
the Local Government Act have been absorbed in to the document including
procurement, governance and risk management.
7. Environmental Sustainability
The strategy acknowledges several environmental issues that need to be addressed to ensure continued economic growth, including climate change and alternative energy sources.
8. Conflict of Interest Considerations
Nil known.
9. Conclusion
It is recommended that the Economic Development Strategy be adopted by Council for implementation.
Buloke Shire Council Ordinary Meeting Minutes Wednesday, 14 May 2014
7.2.5 Buloke Shire Council Economic Development Strategy
Attachment 1 BSC Economic Development Strategy

People ~ Places ~ Produce ~ Potential
Buloke Shire Council Ordinary Meeting Wednesday, 14 May 2014
7.2.5 Buloke Shire Council Economic Development Strategy
Attachment 1 BSC Economic Development Strategy
INTRODUCTION
Where we are
a) Buloke Shire is a rural municipality located in North West Victoria.
b)
c) The Shire has an area of some 8,000 kilometers squared and is largely based on broadacre, dryland agricultural production. In 2011 the ABS estimated the shire had a total population of 6,384. It is approximately 250 kilometers North West of Melbourne and 180 kilometers south of Mildura.
d) Two main highways, the Calder and Sunraysia run North and South through the Shire. The Shire also plays a valuable role in the production of the State’s agricultural output, including $252 million as the gross value of agricultural production at the 2012 Remplan data set.

Who we are
The Shire contains five townships and five hamlets, the largest of which is Donald with a population of over 1,400 people. Approximately 64% of the population lives in the urban centers of the Shire, with the remainder residing on rural holdings throughout the agricultural areas.
The main urban centers of the Shire and their populations in 2011 were as follows:
Birchip(683), Charlton(1,072), Donald(1,434), Sea Lake(634), Wycheproof(686). Other smaller settlements include the districts of Berriwillock, Culgoa, Nandaly, Nullawil, and Watchem, which range in population from 50 to 140 people.
The age structure of the Shire, in comparison to regional Victoria as a whole, has less representation in the younger age groups, particularly the ages between 18 and 35, and a relatively high representation in the age groups over 65 (3,280). The relatively high proportion of lone person households is a reflection of the ageing nature of the community. It is also a stable population with 5,105 (74.5%) living in the Shire for at least five years
The educational qualifications attained by Buloke residents are comparatively less than found in regional Victoria with only 1,542 (29.1%) holding post secondary educational qualifications.
What we do
Workplaces in Buloke provide approximately 2,486 jobs. The majority of these jobs 786 (33.0%) are in the Agricultural sector followed by 286 (9.1%) in the Health sector. 236 (11.8%) in the Education sector and 202 (9.5%) in the retail sector.
These four sectors round out the top four industries of employment in 2012. A small number of manufacturers operate in the Shire employing 151 (5.2%) people. A high proportion 2,227 (90.8%), of the jobs in Buloke are filled by people who live in the Shire.
Of the 3,260 households in Buloke 1,593 (57.4%) are owned and 580 (20.9%) are being purchased which is well above the average levels in regional Victoria. The majority of houses are detached dwellings is 2,591 (78.4%).
Housing density makes Buloke one of Victoria’s most sparsely populated municipalities.
The population centers of Buloke Shire provide an important service; retail and industry function for the Shire. They provide a range of shopping facilities, medical and educational services and recreational facilities. While the key urban centers in the Shire each have a strong and unique identity, a number of features are characteristic of them all. These include: the strong focus on the core commercial area; the role of major highways in shaping settlement patterns and commercial development; the existence of an industrial precinct; and the strong delineation between urban and non-urban land use, defined by historic patterns of zoning and servicing.
What we generate
The output generated by the Buloke Shire Council economy is estimated at $610 million. Agriculture, forestry and fishing accounts for $169.02 million, followed by manufacturing ($102 million).
The total value-added by the Buloke Shire Council economy is estimated at $305.33 million. Agriculture, forestry and fishing contributes the highest value-added ($88.01 million), followed by rental, hiring and real estate services ($39.59 million).
The estimated number of employed persons in Buloke in December 2011 was 3,560, which is 226 higher than the number reported in December 2009 with an increase of 6.8%. Compared to regional, state and national averages, Buloke Shire Council has a high proportion of managers and laborers; a comparable representation of machinery operators and drivers; but an under representation for other occupations including salespersons.
Major Infrastructure and Investment Projects
There are a number of key infrastructure and investment projects currently underway or recently completed in Buloke Shire. These include:
1. Road restoration project post January 2011 Floods.
2. Redevelopment of Charlton Hospital.
3. Development of Donald Intermodal Freight Hub.
4. Development of the Wimmera Mallee Pipeline.
5. Creation of the Charlton Trade Centre which facilitates TAFE training in the region through a state of the art new centre.
6. Funding for the new Donald Family Centre which includes maternal child health services, kindergarten and preschool capabilities.
7. Upgraded internet and mobile phone services including future connection of the NBN telecommunication facilities.
8. Multipurpose centre at Berriwillock to service the surrounding communities.
Major Regional Projects
1. The Loddon Mallee North Regional Growth Plan is the long term strategic plan for the region. This strategy identifies, prioritises, communicates and advocates for key regional projects.
Issues and Trends
The last 20 years has seen major economic, social and environmental change. It is likely that the pace of this change will increase and many other factors may be unforeseeable.
However it is possible to identify many likely issues and to plan accordingly. Some key issues include:
1. The world population will continue to grow and therefore so will the demand for food and other resources.
2. China and India will continue to grow economically and in their global influence.
3. The process of globalisation will continue, creating new opportunities for business but also making local economies more susceptible to these impacts.
4. The ageing population will present major challenges but will also provide new business opportunities.
5. The generational change of the employed population will lead to new ways of working.
6. The cost of energy is likely to rise and there is likely to be a strong focus on efficiency and alternate energy sources.
7. The drive to lower carbon emissions will require ongoing responses from business and government.
8. The digital economy and connectivity will become even more important and impact a greater number of areas.
9. Innovation and new technology development will continue and create new industry sectors and businesses.
Economic Development Principles and Mechanisms
The main goal of economic development is to improve the economic wellbeing of the community. There is no single strategy, policy, or program for achieving this. As communities differ in their strengths and weaknesses, each has a unique set of challenges and opportunities. In light of this Buloke Shire needs to recognise that:
1. Councils have responsibilities under the Local Government Act 1989 regarding economic developmentowth Plan onal G. These include:
a) To promote the social, economic and environmental viability and sustainability of the municipal district;
b) To improve the overall quality of life of people in the local community; and
c) To promote appropriate business and employment opportunities.
2. The private sector is the key driver of economic activity and the key economic activity in the Buloke Shire is agriculture.
3. A significant amount of investment and employment generation comes from businesses already located in the area. Much of this will come from a number of high growth businesses. The approach of supporting this type of business growth is known as “Economic Gardening”.
4. In addition to the Council there are of range of groups that also have key roles in economic development. These include, the Australian and Victorian Governments, neighbouring Councils, business and industry associations, trade unions, infrastructure and education providers, the community and businesses. Council must work cooperatively with these Groups for the best outcomes possible.
5. Duplication of services between agencies and groups should be minimised and the leverage of funding maximised.
6. Economic development goals must be balanced against other important objectives that at times may be in conflict. These include environmental, social and cultural values.
7. Different economic land uses may be in conflict and so their relative merits and weaknesses must also be carefully balanced.
8. Council’s economic development function also has a key role in assisting during periods of emergencies and natural disasters where businesses are affected.
9. High quality Infrastructure is vital for both the attraction of new businesses and for existing businesses to be able to compete. It can significantly reduce the cost of doing business as well as increasing sustainability.
10. Flexibility in the provision of economic development services is required in the face of ongoing and often rapid change in areas of society, technology, the environment and economy plus new government policies and programs.
Economic Development Strategy Vision
To create a new period of development and investment within the Buloke Shire Council which includes accounting for the advantages and strengths of the Buloke area. The strategy will focus on the most effective way that Council can deliver economic development, with a focus on business support, facilitation and personalising the Buloke Shire service delivery.
Economic Development Strategy Objectives
Objective 1: To seek advantages from the demographic changes to the Shire profile.
Objective 2: To encourage appropriate development throughout the Shire.
Objective 3: To create a climate for investment and growth of existing and new business.
Objective 4: To provide leadership and facilitation in economic development.
Objective 5: To strengthen the business of agriculture.
Objective 6: To capitalise on business opportunities that arise.
Objective 7: A commitment to understanding our economy.
Economic Development Strategy Themes
The Economic Development Strategy has four strategic themes and fourteen sub themes in which actions and measures are elaborated on, these include:




BUSINESS

STRATEGY 1
To increase interconnectedness of business throughout the Shire.
Initiatives:
® Participate with and reenergise Traders Forums and Chambers of Commerce.
® Facilitate group purchasing bodies between like businesses for cross Shire collaboration.
® Develop a local product and services database for internal and external usage.
STRATEGY 2
To promote the reuse of key vacant commercial buildings.
Initiatives:
® Initiate and maintain annual contact with vacant premise owners following a usage audit.
® Facilitate innovative initiatives for the use of vacant buildings for start ups and local uses.
STRATEGY 3
To continuously improve the skills and capabilities of business owners in the Shire.
Initiatives:
® Assess the type and demand of skills required by employees and employers from new and existing data sets.
® Provide a suite of various business seminars that are demand driven and address skills gap
STRATEGY 4
To support Shire businesses as they transition into an online environment.
Initiatives:
® Advocate for improvements in technologies and coverage both of internet and telephone to support businesses transitioning to ecommerce.
® Promote the benefits of adopting online technology to complement existing trading.
STRATEGY 5
To encourage entrepreneurship.
Initiatives:
® Celebrate success through the biannual Buloke Business Awards
® Prepare a prospectus pack for new business owners.
® Facilitate networking events between businesses and with relevant departments
® Advocate strengthening youth and home business opportunities.
STRATEGY 6
To increase the profile of Buy Local within the Shire to both traders and the public.
Initiatives:
® Publicise and encourage buy local schemes through promotions and education through different mediums.
® Continue with Councils local price preference in Procurement Policy.
® Promote cross town referral processes to keep purchases in Buloke.
STRATEGY 7
To increase opportunities by expanding business development and incubator spaces.
Initiatives:
® Develop further capacity in existing and new enterprise parks.
® Encourage future strategic business planning by local business.
VISITOR AND TOURISM

STRATEGY 1
To provide a multi faceted tourism facility in the five larger townships.
Initiatives:
® Ensure a travellers rest with toilet facilities and RV dump points is available.
® Ensure up to date tourism signage and information paraphernalia is available at strategic locations throughout towns.
STRATEGY 2
To connect interested parties such as providers and customers.
Initiatives:
® Encourage a diverse range of accommodation options.
® Maintain tourism websites with current information.
® Facilitate and support the local and regional tourism board.
® Provide and promote targeted, demand driven tourism seminars.
AGRICULTURAL AND SUPPORT SERVICES
STRATEGY 1
To provide targeted assistance to those businesses that support primary producers.
Initiatives:
® Strengthen relationships between the primary producer and their supporting industries.
® Increase workforce participation through the employment portal.
® Liaise with groups such as Nullawil Best Wool and poultry clusters to provide innovative information.
STRATEGY 2
To encourage farm based business that supplements and compliments agriculture.
Initiatives:
® Facilitate business training for farm located business.
® Publicise products available from local agricultural business including farm gate products.
STRATEGY 3
To strengthen the industrial interface between agriculture and retail.
Initiatives:
® Ensure appropriate land supply for agricultural services and support where there is demand.
LIVESTOCK
STRATEGY 1
To strengthen the Shire as a prime location for livestock production.
Initiatives:
® Continue to operate the Wycheproof Saleyards.
® Active representation on peak bodies.
STRATEGY 2
To market the Shires comparative advantages for intensive agriculture.
Initiatives:
® Maintain involvement with regional and state stakeholders of intensive agriculture.
® Promote the Shires bio security credentials and take steps to ensure it is maintained.
STRATEGY 3
To allow for future marketing and market changes to produce systems and sales.
Initiatives:
® Keep abreast of market changes and requirements to adjust for disseminating information.
AGRICULTURAL SCIENCE
STRATEGY 1
To strengthen the Shire and regions leading role in agricultural research and development.
Initiatives:
® Continue and strengthen partnerships with Birchip Cropping Group, ‘No Til’ groups and other farm based stakeholder groups.
® Identify gaps in value adding opportunities such as food and fibre clusters.
STRATEGY 2
To support diverse agricultural methods.
Initiatives:
® Investigate and support innovative farming opportunities.
STRATEGY 3
To capitalise on the pipeline water opportunities.
Initiatives:
® Garner specific economic opportunities from the pipeline.
STRATEGY 4
To build on the Shires advantages in sustainable agriculture and research capabilities.
Initiatives:
® Actively participate in regionally significant projects and market the Shire as a prime position.
® Establish links with private sector research and development companies.
STRATEGY 5
To adjust to climate change.
Initiatives:
® Disseminate relevant and timely information regarding adaptation initiatives, research and economic opportunities.
® Continued landcare support.
AGRICULTURE
STRATEGY 1
To increase farm productivity through improved knowledge base and adoption of best practice in agriculture.
Initiatives:
® Promote membership of local farmers in a range of agricultural industry and research groups.
STRATEGY 2
To protect productive agriculture and ensure viable land use patterns.
Initiatives:
® Undertake a rural land use strategy and ensure Buloke Planning Scheme reflects current circumstances and desired futures.
STRATEGY 3
To improve communication between Council and primary producers to increase value adding ventures.
Initiatives:
® Disseminate information to assist agricultural productivity.
® Support farmers and potential supply chain partners to facilitate collaboration on projects.
STRATEGY 4
To support rural dependent enterprises that compliments an agricultural holding.
Initiatives:
® Encourage and provide electronic tools for developing farm plans on the Council website.
STRATEGY 5
To position Buloke Shire as a leader for carbon farming initiatives.
Initiatives
® Explore the potential of the carbon farming funding.
® Collaborate with agricultural research bodies.
LEARNING AND EDUCATION
STRATEGY 1
Support initiatives that increase postsecondary education levels throughout the Shire.
Initiatives:
® Promote the rural skills cadet program to all school leavers through school newsletters and shire liaison activities by the Youth Officer.
®
Continue
to advocate for apprenticeships and traineeships by local employers to retain
populations and meet skill shortages.
STRATEGY 2
Up skill existing labour force and attract new skilled labour to the workforce by identifying skill gaps.
Initiatives:
® Advocate for targeted skills programs to assist in delivering the skills needed for the Buloke Shire as identified in analysis including the Agrifoods project and government data.
STRATEGY 3
Advocate for Shire wide modern, accessible and affordable education facilities.
Initiatives:
® Highlight past local student achievements in regional and state forums such as the Rural Victoria Living Expo.
® Promote and support adult education services in the five larger townships.
® Encourage innovative learning facilities with external providers for wider accessibility.
STRATEGY 4
To improve access to adult education opportunities and build on external provider relationships.
Initiatives:
® Promote and support community resource centers and innovative learning environments such as an enterprise park.
CULTURAL
STRATEGY 1
To support community based cultural and art activities.
Initiatives:
® Participate in state and federal grant funding seeking for activities.
®
Grow the
Hobson Bay friendship alliance and encourage collaboration on cultural
activities.
STRATEGY 2
To acknowledge and recognise the value of culture with youth.
Initiatives:
® Support youth based initiatives such as Kool Skools, FReeZA and Youth Engage events.
STRATEGY 3
To encourage a wide range of diverse cultural activities to meet the needs of the range of demographics in the shire.
Initiatives:
® Continue to develop partnerships with external cultural organisations such as Arts Victoria, Hobson’s Bay and Museum Council of Victoria.
® Attract state and regional cultural events.
HEALTH
STRATEGY 1
To embrace new forms of sustainable service delivery and build on local capabilities.
Initiatives:
® Assist health providers to educate the community about technological health service delivery.
STRATEGY 2
To maintain acceptable levels of health services in the communities.
Initiatives:
® Advocate for minimum standards of service delivery and encourage staff retention and improvement.
STRATEGY 3
To embrace an ageing population as an economic development opportunity.
Initiatives:
® Promote opportunities within the age care sector for Buloke with an ageing population such as employment and entrepreneurship for service delivery.
SOCIAL CAPITAL
STRATEGY 1
To promote volunteerism, active citizenship and a village lifestyle.
Initiatives:
® Encourage participation by publicising programs available and requiring participation.
® Celebrate and recognise volunteers.
STRATEGY 2
To work on housing affordability and practicality issues.
Initiatives:
® Ensure social housing opportunities are maintained by various sources including government and private partnerships.
STRATEGY 3
To vest responsibility for community development within the community.
Initiatives:
® Continue master planning and community planning with widespread participation.
ALTERNATIVE ENERGY
STRATEGY 1
To market Buloke as an attractive location for alternative energy industries including small community projects.
Initiatives:
® Map areas suitable for alternative energy development including appropriate infrastructure and ensure a supportive planning scheme.
STRATEGY 2
To increase locals participation with alternative energy options.
Initiatives:
® Educate and promote local investment in self sufficient energy production.
STRATEGY 3
To promote the Shire as a location for trialing alternative energy systems including biomass and other carbon initiatives.
Initiatives:
® Advocate the State and Federal Government to support alternative energy research and trails in rural contexts.
® Participate in regional trail programs.
MINING
STRATEGY 1
The sustainable exploitation of natural resources.
Initiatives:
® Encourage extractive industry with a strong planning scheme.
STRATEGY 2
To have employee ready locals for the industry.

Initiatives:
® Ensuring that local employees have the appropriate skills to take advantage of mining opportunities.
STRATEGY 3
To strengthen the regions mining profile.
Initiatives:
® Build relationships with current salt mining operations and promote the industry and expansion options.
TRANSPORT
STRATEGY 1
Build on the advantages of the major transport networks through the Buloke Shire.
Initiatives:
® Advocate for State and Federal Government investment in the maintenance of State highways.
STRATEGY 2
Capitalise on changes to on farm storage methods in agriculture.
Initiatives:
® Promote the Shires grain receivable and storage capabilities and access to markets.
STRATEGY 3
Be in a position of strength for rail and road freight changes.
Initiatives:
® Ensure the road management plan for the Buloke Shire is prepared for legislative changes to road and rail freight.
® Continue active participation in transport stakeholder committees.
TELECOMMUNICATIONS
STRATEGY 1
Promoting telecommunications as a way to stay connected.
Initiatives:
® Ensuring appropriate coverage and decreased black spots.
® Competitiveness from telecommunication providers.
STRATEGY 2
Improve telecommunications infrastructure for wider options.
Initiatives:
® Promote the ecommerce and telecommuting aspects of improved infrastructure.
ECONOMIC DEVELOPMENT STRATEGY MONITORING AND REVIEW
The Economic Development Strategy is a working document that will have a desktop review annually and a consultation with stakeholders review biennially. The document strategies will continue to align and compliment Council directives and strategy documentation as well as respond to changes in policy and marketplace.
|
|
SHORT TERM 1-5 YEARS |
LONG TERM 5 YEARS + |
ANNUAL |
|
ACTIONS
|
Assist with acquiring skilled staff for local business through increased participation with the Buloke Shire Council employment portal.
Develop and assist to implement a Shire wide ‘Buy Local’ campaign with each town incorporating Buloke branding.
An annual youth event held in each major township.
Obtain RV friendly status across the Shire.
Undertake an agricultural economic study to prioritise the areas of Council involvement and assistance. |
Audit vacant commercial buildings and contact owners annually about mixed uses activities.
An increased number of local businesses participating in targeted training by the Buloke Shire Council or registered training organisations.
Develop and publish an investment prospectus document for Buloke Shire Council.
Facilitate the statutory process such as building and planning for significant community infrastructure.
Present entrepreneurship opportunities at all relevant events such as Birchip Cropping Group Day, youth events and the Rural Victorian Living Expo. |
Produce an annual events calendar with print and online versions available.
Encourage trader and chamber groups to meet regularly with support from Council including providing a meeting space.
Collate and publish a business newsletter quarterly.
Continue to invest in Wycheproof Saleyards and its growth.
Maintain all Buloke Shire Council affiliated websites with current information.
Increase participation in the Rural Skills Cadetship program.
Annual contact between business and Council Economic Development Officers.
|
|
|
SHORT TERM 1-5 YEARS |
LONG TERM 5 YEARS + |
ANNUAL |
|
ADVOCACY
|
Active involvement with the Agrifoods skills project.
Participate and prioritise regional focused forums such as Regional Growth Plans and joint infrastructure applications to increase the benefits to Buloke Shire Council.
Promote Buloke Shire Council Local Government area as a relocation option through attendance at the Regional Victoria Living Expo.
Create a new residents package to support interaction with BSC and local business.
Work with Research and development groups to ensure Buloke Shire Council residents are having their needs prioritised. |
Liaise with alternative energy suppliers to invest in BSC due to its natural advantages.
Provide quarterly online information brief about govt and non government policies and opportunities to local producers.
Focus on recognition of local and regional tourism status for Buloke Shire Council Tourism Board and the Wimmera Mallee Tourism Board at State level.
Lobby for large scale housing affordability options to be adaptable and available for smaller scale such is present in Buloke Shire Council.
Assist with the development of a program with the Department of Education and Training to strengthen connections between apprentices and employers for long term retention. |
Continue Buloke Shire Council promotion of telemedicine options to overcome distances.
Link as many funding opportunities between government and research through liaison.
Ensure the Buloke Planning Scheme content allows for economic opportunities and has appropriately zoned land.
Advocate for higher annual investment in Buloke Shire Council transport infrastructure by state and federal government including road, rail and urban requirements all needed to facilitate commerce.
Assist local business to access State and Federal Assistance Programs through Buloke Shire Council contacts. |
7.2.6 Notice of Intention to Approve Planning Permit Application 535/14 for the use and development of a Wind Energy Facility.
Author’s Title: Senior Planning Officer
Department: Corporate and Community Services File No: LP/09/01
|
1 ViewAcciona Planning Permit conditions |
Relevance to Council Plan 2013 - 2017
Objective: A local economy in which new business is actively encouraged; investment welcomed; employment created; business skills developed and local networks are supported.
Strategy: Encouraging innovative energy solutions for future energy generation.
Priority: Actively promoting the Shire as a location for energy production from wind, solar and other clean energy technologies and advocate to other levels of Government for investment in infrastructure to ensure this can occur.
Cr David Pollard declared an indirect interest in Item 7.2.6 on the basis as of being a Committee Member of the Charlton Rex Theatre who has obtained sponsorship from Acciona.
Cr Pollard left the Council Chamber at 7.20pm.
|
That: 1. That Notice of Intention to approve Planning Permit 535/14 for a Wind Energy Facility, subject to conditions as attached, be given to the applicant and submitters.
Seconded: Cr Graeme Milne Carried. |
Cr Pollard re-entered the Council Chamber at 7.24pm
1. Executive Summary
An
application for a wind energy facility comprising of twenty-four turbines was
received
on the 20 December 2013 from Acciona. The application is to supersede
the current
proposal allowable under Planning Permit 490/13. Four submissions were received, three
objections and one in favour of the proposal.
2. Discussion
The land is zoned Farming Zone with no overlay controls. A planning permit is required
for a wind energy facility in Farming Zone. An additional requirement under the Buloke
Planning Scheme under Clause 52.32 are the Wind Energy Guidelines. State and Local
Planning Policies addressing environment, energy and economics were also
determinates in the planning decision.
The application was received on the 20 December 2013 and Notice of Application was undertaken by:
- Notice in the North Central News (23/01/14) and the Buloke Times (25/01/14).
- Letters sent to all landowners within a 5km radius of the proposed site on 20/01/2014.
- Planning Permit documentation available for inspection in Charlton and Donald.
Four submissions were received. One was in favour of the application subject to council controls being met and no further consultation was required. Three objections were received and they were addressed in the following way:
- Objection One raised concerns about the increased risk of fire, noise pollution and visual impact on the ridge proportions.
- A letter was sent to the objector acknowledging the objection and requesting a meeting with Council’s Planning Officer. The applicant, Acciona, sent a letter addressing the objections raised including information about consultations with the local CFA, how the applicant has met noise standards and an offer to assess targeted screening on site to reduce visual amenity impacts. No contact from the objector was received.
- Objection Two raised concerns about the increased height of the turbines and the potential impact on vegetation to construct the turbines. A letter was sent to the objector acknowledging the objection and requesting a meeting with Council’s Planning officer. The applicant, Acciona, sent a letter addressing the objections raised including information about the increased efficiency and economic benefits of larger, modern turbines as well as outlining how the native vegetation responsibilities are to be met. A meeting between Council’s Planning Officer and the objector resolved some concerns subject to an additional planning condition being placed on the permit.
- Objection Three raised concerns about the visual amenity impact and also about the impact to their agricultural activities as a result of the increased traffic during and post construction. A letter was sent to the objector acknowledging the objection and requesting a meeting with Council’s Planning Officer. The applicant, Acciona, sent a letter addressing the objections raised including information about the route of construction traffic and the opportunity to investigate alternate routes. A meeting between Council’s Planning Officer and the objector was unable to substantiate an alternate route that would be feasible. Further investigation by the applicant confirmed that no other route was viable. A mutual agreement on post construction traffic has been decided upon.
- A final objection was received on the 2nd May 2014 after exhibition and was acknowledged and matters raised included unsightliness and amenity impacts. Due to time restraints, consulting on the objection was not able to take place.
The application was referred to a
number of Referral Authorities including:
- North Central Catchment Management Authority – no objection, no conditions
- Powercor- no objections, no conditions
- GWM Water- no objections, no conditions
- VicRoads, no objections, conditions on the planning permit
- Department of Environment and Primary Industry- no objections, no conditions
- Country Fire Authority- no objections, conditions on the planning permit
- Environmental Protection Agency- no objections, note on the permit
- Aboriginal Affairs Victoria - no response
- Civil Aviation Safety Authority- no objections, note on the planning permit
- Department of Transport, Planning and Local Infrastructure - no objection, no conditions
The
application was accompanied by a number of technical reports to address the
Wind Energy Guidelines; these are listed below with a brief summary of their
specifics for the proposed Berrimal Wind Facility:
- Community Consultation and Engagement Strategy: Consultation with a range of stakeholders and the local community has taken place over the life of the project and will continue to take place on a regular basis including post construction.
- Landscape and Visual Impact Assessment: The assessment concludes that the impact on the landscape (classified as undulating pastoral) will be noticeable but minor to moderate change.
- Shadow Flicker and Blade Glint Assessment: The maximum allowable shadow flicker per year under the guidelines is 30 hours. One house will experience 2.8 hours per year and two houses less than one hour.
- Transport Impact Assessment: Preliminary assessment of the traffic route has determined works will need to be undertaken. Planning permit conditions from Council and VicRoads will ensure this is carried out to Council’s satisfaction.
- Geotechnical Investigation: Preliminary drilling has determined rock structure and general geology of the site, planning permit conditions allowing micrositing as a result of geological testing have been included.
- Electromagnetic Interference Analysis: The report analyses all telecommunication services in the area and determines that interference issues are not expected. A complaints process will be part of a planning permit to ensure ongoing compliance.
- Aviation Assessment: The assessment concludes that the risk to aviation is low, minimal marking as a result of the turbine height is the only recommendation.
- Flora and Fauna Management Plan: No nationally listed flora is on site and the three Ecological Vegetation Class communities are highly modified. Only recommendation is that access tracks align with existing farm traffic routes to minimise native vegetation impacts. Targeted surveys for three fauna species are required and will be a condition on the planning permit.
- Cultural Heritage Management Plan: Compliant and endorsed by the Registered Traditional Owners.
- Noise Assessment: Demonstrates compliance with NZS6808:2010
Taking into consideration the submissions received, advice from statutory referral agencies and the data contained within the reports submitted by Acciona, the applicant has met the guidelines for the wind energy facility and the development is in keeping with the land use principles of the Buloke Shire Planning Scheme.
3. Financial Implications
There are three specific
financial implications:
- If the Notice of Intention to Approve is challenged through the Victoria Civil and Administrative Tribunal, Buloke Shire Council will be required to provide legal support for the position taken in the planning permit process and outcome.
- If the planning permit is ultimately approved by the end of the Notice period or VCAT, then enforcement of the conditions will add additional workload to the Planning staff at Buloke Shire Council.
- Once the project is developed and operational a set fee as determined by the Electricity Regulator will be provided to Council annually from the energy producing facility.
4. Community Consultation
Community consultation was undertaken by Council as per Section 52 of the Planning
and
Environment Act 1987 which included notice in the locally circulating
newspaper (North Central News)
and mail notification to neighbouring properties within a 5km radius
of the project.
5. Internal Consultation
Consultation was undertaken with Council’s Technical Officer regarding construction and ongoing road maintenance with several conditions recommended for the planning permit.
6. Legislative / Policy Implications
There are many statutory requirements on wind energy facilities; this includes sections of the Planning and Environment Act, the Buloke Shire Planning Scheme, Victoria Planning Provisions and the Policy and Planning Guidelines for Development of Wind Energy Facilities in Victoria 2009.
7. Environmental Sustainability
There are two environmental considerations for this planning permit; from a
development perspective all environmental sustainability issues need to be addressed
through the environmental management plans. In relation to the ongoing use perspective,
the alternative energy sector is proposed to increase overall environmental sustainability.
8. Conflict of Interest Considerations
No conflict of interest considerations are reasonably known.
9. Conclusion
It is recommended that a Notice of Intention to Approve Planning Permit 535/14 for the
use and development of a wind energy facility be granted.
Buloke Shire Council Ordinary Meeting Minutes Wednesday, 14 May 2014
7.2.6 Notice of Intention to Approve Planning Permit Application 535/14 for the use and development of a Wind Energy Facility.
Attachment 1 Acciona Planning Permit conditions
ATTACHMENT 1
GENERAL
This Permit Allows:
1. (a) Before the development starts, development plans must be prepared to the
satisfaction of the Responsible Authority. When approved, the plans will be
endorsed by the Responsible Authority and will then form part of this permit.
(b) Except as permitted under condition 1(c), the use and development as shown
on the endorsed development plans or other plans to the satisfaction of the
Responsible Authority must not be altered or modified in any way without
the written consent of the Responsible Authority.
(c) Any micro siting of wind generators will be regarded as generally in accordance with the endorsed plans if the Responsible Authority is satisfied that it will not give rise to a material adverse change to assessed landscape, vegetation, cultural heritage, visual amenity, shadow or noise impacts when compared to the site shown on the endorsed plans.
(d) If a turbine requires micro siting then:
i) House #17 should not have turbine #23 brought any closer than shown in the application plans.
ii) House #18 & 19 should not have turbine #7 & 2 brought any closer on the side than shown in the application plans.
LIGHTING
2. No permanent external lighting of infrastructure associated with the wind energy facility may be installed or operated, without prior written consent from the Responsible Authority, other than:
(a) Low-level security lighting;
(b) Aviation obstacle lighting; and
(c) Lighting necessary in the case of an emergency or for operational call outs at reasonable times.
SPECIFICATIONS
3. The wind energy facility must be constructed and maintained in accordance with the following specifications, which must not be changed without the prior written consent of the Responsible Authority:
(a) A total of not more than 24 wind turbine generators.
(b) The turbine model that is selected for final use will not give rise to a material adverse change in the assessed impacts of the planning permit application turbine model.
(c) The wind turbines shown on the plan shall have an overall height of not more than 185 metres.
(d) The rotor on each wind generator must comprise of no more than three blades.
(e) The tower, nacelle and rotor blades must be off-white or another colour to the satisfaction of the Responsible Authority, and must be of a non-reflective finish.
(f) The colours and finishes of all substations and ancillary equipment must be specified so as to ensure that impact on landscape values is minimised, to the satisfaction of the Responsible Authority.
(g) All new electricity and optic fibre cabling associated with the collector network within the wind energy facility turbine cluster must be placed under the ground unless otherwise requested by Powercor.
(h) The access tracks within the site are to be sited to ensure minimum impacts on the site, including impacts on erosion and overland flows and, where appropriate, having regard to the farming attributes of the land.
(i) The wind energy facility may include up to four permanent meteorological monitoring masts.
(j) The wind energy facility may include a temporary concrete batching plant, while the
facility is being constructed.
(k) The wind energy facility may include the temporary construction compound; borrow pit and casting area as designated in the endorsed development plans.
(l) The wind energy facility may include up to two substations.
4. An operations and maintenance building, car parking for staff vehicles, amenities including bathroom and kitchen facilities, warehouse to accommodate equipment, an outside storage area and up to two substations may be permanent features of the development. The Permit Holder must provide the Responsible Authority with a site map showing the location of the foregoing with the lodgement for the building permit application for the wind energy facility.
5. The use and development authorised by this permit may be completed in stages as shown on the endorsed development plans. The corresponding obligations arising under this permit may be similarly completed in stages.
TRAFFIC MANAGEMENT – VICROADS CONDITIONS
6. Before the commencement of any works and before the engagement of any haulage contractors, a Traffic Management Plan to the satisfaction of the Responsible Authority, in consultation with Vic Roads, in its capacity as road authority under the Road Management Act 2004 for local and arterial (public) roads used to transport material to/from and within the vicinity of the wind energy facility. The traffic management plan must be submitted to and approved by the Responsible Authority and Vic Roads. When approved, the plan will be endorsed by the Responsible Authority and Vic Roads.
The traffic management plan, without limiting the generality of the plan, must include:
(a) Prior to commencement of works, an existing conditions survey of public roads and associated infrastructure that may be used in connection with the wind energy facility (for access, delivery of material, pre-construction or construction purposes) including details of the suitability of the proponent’s use, design, condition and construction standard of the relevant public roads and bridges.
(b) The designation of appropriate construction and transport vehicle routes to the wind energy facility for pre construction, construction and transport.
(c) The designation of all vehicle access points to the wind energy facility from surrounding roads, including main road access points to local access roads.
(d) The designation of vehicle access points which must be designed and located to ensure safe sight distances, turning movements, and avoid potential through traffic conflicts.
(e) Engineering plans and reporting demonstrating whether, and if so, how truck movements to and from the site can be safely accommodated within a road reserve. Mitigation measures are to be developed by the proponent and agreed to by VicRoads and the Responsible Authority for all hazards including, but not limited to; oversize and over-mass haulage, traffic management, removal of roadside vegetation, reduction in speed limits, alteration to any road furniture or intersection, emergency management, and risk management.
(f) recommendations regarding the need for road, bridge and intersection upgrades to accommodate any additional traffic, oversize or over-mass loads, or site access requirements (whether temporary or ongoing). Where upgrades are required, the traffic management plan must include:
i) Detailed engineering plans showing the required works.
ii) The timing of when works are to be undertaken.
(g) A program of regular inspections to be carried out during the construction of the wind energy facility to identify maintenance works necessary as a result of construction traffic.
(h) Works identified during surveys in condition (a) above must be completed expeditiously to the satisfaction of Vicroads and the Responsible Authority.
(i) The designation of operating hours and speed limits for trucks on routes accessing the site which:
i) Avoid school bus routes and school bus times where relevant.
ii) Provide for resident safety.
(j) Measures to be taken to manage traffic impacts associated with the construction and ongoing operation of the wind energy facility on the traffic volumes and flows on surrounding roads.
(k) A program to rehabilitate existing public roads and associated infrastructure to a safe and usable condition to a standard no less then what is required to support the proposed use or the condition identified by the surveys required under Condition (6a) above, whichever is the greater:
i) During the construction period.
ii) At the conclusion of the construction of the wind energy facility.
iii) First two years during the operation of the wind energy facility.
(l) Demonstration that all necessary permits have been obtained for the removal of vegetation within the road reserve for the purpose of providing access to the site for material.
(j) That the proponent is responsible for any damage caused to construction vehicles or other vehicles in the event that the safe and usable quality of any public road and associated infrastructure is degraded or compromised as a result of the development, and that VicRoads or the Responsible Authority will not accept liability for any such damage.
7. By no later than three (3) months after the date of completion of the wind energy facility, a post construction conditions surveys of public roads that have been used in connection with the wind energy facility (for access, preconstruction or construction purposes) must be submitted to the satisfaction of Vicroads and the Responsible Authority. The report must include details of any dilapidation or damage to the roads and a program of rehabilitation in accordance with the requirements of the approved Traffic Management Plan.
8. The traffic management and road upgrade and maintenance works indentified in the endorsed traffic management plan must be carried out in accordance with the endorsed traffic management plan to the satisfaction of Vicroads and the Responsible Authority.
9. The provision of a security bond prior to the commencement of works equal to the estimated cost of the rehabilitation/replacement of any infrastructure identified as being at risk to the satisfaction of Vicroads and the Responsible Authority.
10. All works, reporting and the provisions of Vicroads road escort vehicles and personnel are to be at not cost to Vicroads or the Responsible Authority, including but not limited to: all additional route survey work, together with all associated Vicroads bridge assessments for the over dimensional and over-mass vehicles and their loads, and all additional traffic management resources and equipment such as variable message signs.
11. The use and development must be carried out in accordance with the endorsed Traffic Management Plan and the cost of any works including maintenance are to be at the expense of the permit holder.
ENVIRONMENTAL AND CULTURAL MANAGEMENT PLANS
12. Before the development starts, an environmental management plan must be prepared to the satisfaction of the Responsible Authority. When approved, the environmental management plan will be endorsed by the Responsible Authority and will then form part of this permit.
(a) The Environmental Management Plan must include:
i) The identification of all construction and operational processes that could potentially lead to water contamination.
ii) The identification of appropriate storage, construction and operational methods to control any identified contamination risks.
iii) The identification of waste re-use, recycling and disposal procedures.
iv) Appropriate sanitary facilities for construction and
maintenance staff.
(b) The plan must contain procedures for the removal of any temporary buildings and staging areas on completion of construction of the project and for the return of the relevant parts of the site to its former condition (or to the standard otherwise specified by this permit), on the completion of construction.
(c) The environmental management plan must include a sediment, erosion and water quality management plan. This plan must be prepared in consultation with and approved by the relevant Catchment Management Authority.
The sediment and erosion plan must include:
i) Procedures to ensure that silt from batters, cut-off drains, table drains and road works is retained on the works site during and after the construction stage of the project. All land disturbances must be confined to a minimum practical working area and to the vicinity of the identified works areas. Soil to be removed must be stockpiled and separate soil horizons must be retained in separate stockpiles and not mixed. Stockpiles must be located away from drainage lines.
ii) The installation of geotextile silt fences (with sedimentation basins where appropriate) on all drainage lines from the site which are likely to receive run-off from disturbed areas.
iii) Procedures to contain any contaminated or turbid run-off during and after construction of the wind energy facility.
iv) Procedures to suppress dust arising from construction-related activities. Appropriate measures may include water spraying of roads and stockpiles, stabilising surfaces, temporary screening and/or wind fences, modifying construction activities during periods of heightened winds and revegetating exposed areas as soon as practicable.
v) Procedures to ensure that steep batters are treated in accordance with Environmental Protection Authority recommendations detailed in the ‘Construction Techniques for Sediment Pollution Control’ No 275, May 1991.
vi) Criteria for the siting of any temporary concrete batching plant (temporary
or permanent) associated with the development of the wind energy facility
and the procedure for its removal and reinstatement of the site once its use finishes. The establishment and operation of any temporary concrete batching plant must be in accordance with the Environment Protection Authority’s Environmental Guidelines for the Concrete Batching Industry, Publication No. 628.
vii) Procedures for waste water discharge management.
viii) A process for overland flow management to prevent the concentration and diversion of waters off site or erosion prone slopes.
ix) Pollution management measures for management of stored and stockpiled materials including waste materials, litter and any other potential source of water pollution.
x) Incorporation of control measures outlined in EPA publication No. 480 Environmental Guidelines for Major Construction Sites.
xi) Siting of temporary concrete batching plant and any on-site wastewater and
disposal and disposal treatment fields at least 100 metres from any
watercourse.
xii) Appropriate capacity and an agreed program for annual inspection and regular maintenance of any on-site wastewater management system constructed to service staff, contractors or visitors.
xiii) A program of inspection and remediation of localised erosion, with a specified response time.
13. Procedures for storage of any fuels, lubricants or waste oil
to be stored in bunded areas with contingency measures to ensure
that any chemical or oil spills are contained on-site and
cleaned up in accordance with the Environment Protection Authority’s
requirements, are to be provided to the responsible authority for endorsement
within three months of project construction commencement.
14. The environmental management plan must include an Emergency
Management Plan which must be endorsed by both the Country Fire Authority
and Responsible Authority and must not be altered without the written
consent of both parties.
15. The wind energy facility must be constructed and operated in compliance with the cultural heritage management plan Jaara Jaraa Aboriginal Corporation Dja Dja Wurrung Clans Aboriginal Corporation approved by Aboriginal Affairs Victoria.
16. The environmental management plan must include a native vegetation protocol. This protocol is to be established in consultation with the Department of Environment and Primary Industry– North West Region. The protocol is to clarify the circumstances in which a planning permit will be sought for native vegetation removal. The protocol is to also include the offset actions that will be undertaken if native vegetation disturbance or removal cannot be avoided for the construction, operation and decommissioning stages of the project.
17. The Environmental Management Plan must also include:
(a) A pest animal and plan management plan including:
i) Procedures for the control of pest animals and follow-up pest animal control for all areas disturbed by the wind energy facility construction works for a period of two years following the completion of the wind energy facility;
ii) A program of early identification and eradication of weeds in disturbed areas and follow-up weed control for a minimum period of two years following the completion of the works; and
iii) A monitoring plan.
(b) A training program for construction workers and permanent employees or contractors at the wind energy facility site including a site induction program relating to the range of issues addressed by the Environmental Management Plan.
(c) A program for reporting, including a register of environmental incidents, non- conformances, complaints and corrective actions.
18. The Environmental Management Plan is to be reviewed every five years and if necessary amended to reflect operational experience and changes in environmental management standards and techniques. The amended Environmental Management Plan must be submitted to the Responsible Authority for re-endorsement. Once re-endorsed, the amended environmental management plan will take the place of the earlier version of the environmental management plan and will form part of this permit.
19. The use and development must be carried out in accordance with the endorsed Environmental Management Plan.
NOISE
20. The operation of the wind energy facility must comply with the New Zealand Standard ‘Acoustics – The Assessment and Measurement of Wind Farm Noise’ (NZS6808:2010) (the ‘New Zealand Standard’) as modified by this condition, in relation to any dwelling existing at the date of issue of this permit to the satisfaction of the Responsible Authority. In determining compliance with the New Zealand Standard, the following requirements apply:
(a) The wind energy facility operator must ensure the sound level from the wind energy
facility, when measured outdoors within 10 metres of a dwelling at any relevant
nominated wind speed, should not exceed the background level (L95) by more than
5dBA or a level of 40dBA L95, whichever is the greater.
(b) When sound has a special audible characteristic, the measured sound level of the source shall have a 5dBA penalty applied.
(c) Compliance at night must be separately assessed with regard to night time data. For these purposes the night is defined as 10.00pm to 7.00am. For sleep protection purposes, a breach of the standard set out at Condition 20(a), for 10% of the night, amounts to a breach of the condition.
Noise compliance assessment
21. An independent post-construction noise monitoring program must be commissioned by the proponent within two months from the commissioning of the last generator. This is to continue for 24 months, to the satisfaction of the Responsible Authority. The program must be carried out in accordance with the New Zealand standard as varied by Conditions 20 (a), (b) and (c) above. The wind facility operator must pay the reasonable costs of the monitoring program.
22. For the purposes of determining compliance under condition 20, and in accordance with the requirements of condition 21, the following requirements must be met by the wind facility operator:
a. Acoustic compliance reports must be prepared by a suitably qualified and experienced independent acoustic engineer to demonstrate compliance with the noise limits specified in the New Zealand Standard.
b. Noise assessment positions must be located according to the New Zealand Standard, and shown on a map.
c. Compliance reports should be publically available.
d. Following facility commissioning, all complaints shall be managed following procedures set out in the noise complaints management plan set out in condition 30.
23. Demonstrating compliance with the noise standards must not include the calculation/use of mitigation measures that are used in post construction management techniques (i.e. sector management).
24. Post installation sound levels shall, where practical, be measured at the same locations where the background sound levels were determined (GPS coordinates and a map showing these locations is to be provided) as required by condition 22(b) of this Permit. If not practicable, alternate sites are to be submitted to and be to the satisfaction of the Responsible Authority.
25. Following demonstration that compliance with the noise criteria has been achieved to the satisfaction of the Responsible Authority by the program above, the Responsible Authority will inform the permit holder in writing of the date that compliance has been achieved.
26. The compliance noise monitoring program must be repeated commencing not less than 10 months and not greater than 12 months after the compliance date specified in condition 24, unless with the written consent of the Responsible Authority.
27. An independent report summarising the results of the monitoring program, and the data collected, and indicating compliance or non compliance with the New Zealand Standard (as modified by condition 20), must be forwarded to the Responsible Authority at six monthly intervals during the monitoring period. The results must be written in plain English and formatted for reading by lay people.
28. The Responsible Authority must make a copy of the report referred to in Condition 34, and any data available, as soon as practicable during office hours for any person to inspect free of charge.
29. Upon a written request by the Responsible Authority, a peer review of any acoustic assessment or report is required to be submitted under this permit by the wind facility operator, is to be undertaken by a suitably qualified acoustic consultant chosen by the Responsible Authority and submitted to Council for review to Council's satisfaction. The cost of the peer review is to be borne on the wind facility operator.
Noise complaint management plan
30. Before the use commences, the wind facility operator must submit to the Responsible Authority details of a noise complaint, evaluation and response plan to the satisfaction of the Responsible Authority. The plan should include, but not be limited to the following components:
a. A noise complaint telephone service;
b. A table outlining complaint information for each complaint received, including:
i. the complainant’s name;
ii. any applicable property reference number if connected to a background testing location;
iii. the complainant’s address;
iv. a receipt number for each complaint which is to be communicated to the complainant;
v. the time, prevailing conditions and description of the complainant’s concerns including the potential incidence of special audible characteristics;
vi. the processes of investigation to resolve the complaint.
c. A report including a reference map of complaint locations, and outlining complaints, investigation and remediation actions is to be provided on an annual basis to the satisfaction of the Responsible Authority.
d. The register and complaints response process shall continue for the duration of the operation of the wind energy facility and must be made available to the Responsible Authority within seventy two hours of a written request being made.
Ongoing noise compliance monitoring, review and enforcement
31. For the purposes of complaints evaluation, the following requirements apply, unless with the written consent of the Responsible Authority:
a. Post installation sound levels shall, where practical, be measured at the same locations where the background sound levels were determined (GPS coordinates and a map showing these locations is to be provided).
b. If a breach in compliance is detected, or noise complaints are received, the wind facility operator must provide to the Responsible Authority an independent assessment report prepared by a suitably qualified and experienced independent acoustic engineer to:
i. identify the weather or operational conditions associated with the complaint / breach;
ii. analyse the uncertainty and confidence levels in the monitoring, and the steps taken to reduce uncertainty;
iii. target assessment to identify the cause and remediation actions;
iv. submit a remediation plan to the satisfaction of the Responsible Authority outlining the investigation process, complainant communications, actions and timelines to resolve the complaint/breach.
If the complaint is not resolved through the processes outlined above, the Responsible Authority may request an independent peer review at the cost of the wind facility operator and on/off shut down testing to resolve uncertainty.
c. Following the initial post-construction reporting process, additional independent assessment may be requested by the responsible authority at any time, where complaints are received and are considered to reasonably warrant investigation.
d. If investigations indicate special audible characteristics are potentially occurring, procedures outlined in Appendix B of the Standard should be applied.
32. Upon receiving a written request by the Responsible Authority, the wind facility operator must within 60 days of that request supply an assessment of noise levels emitted by the wind energy facility by a suitably qualified acoustic consultant with readings taken at times and locations specified by the Responsible Authority. Recommendations to address any non-compliance with the New Zealand Standard must be included in the report and, on agreement by the Responsible Authority, measures to address non-compliance must be immediately implemented to the satisfaction of the Responsible Authority.
33. The wind turbines must operate in their normal mode during any investigation required under this Permit, unless at the request of, or with the written consent of the acoustic engineer.
34. Substations and transmission lines related to the wind energy facility on the nominated site must comply with the Environment Protection Authority’s Guidelines for Control of Noise for Industry in Rural Victoria NIRV: 1411 at all times, to the satisfaction of the Responsible Authority. To the extent of any inconsistency, condition 20 prevails.
35. Before the use commences, details of a noise complaint, evaluation and response process must be submitted to and approved by the Responsible Authority. This evaluation process should include, but not be limited to the following components:
(a) A noise complaint telephone service;
(b) Details of validity requirements for noise complaints (that is: date, time, noise description and weather conditions at the receptor);
(c) Response protocol to valid noise complaints;
(d) A register of complaints, responses and rectifications which may be inspected by the Responsible Authority within seventy two hours of a written request being made.
(e) Provision for review of the complaint and evaluation process, including review of the process six months after commencement of the operation of the wind energy facility.
36. Upon receiving a written request by the Responsible Authority, the operator must within 60 days of that request supply an assessment of noise levels emitted by the wind energy facility by a qualified acoustic consultant with readings taken at times and locations specified by the Responsible Authority. Recommendations to address any non-compliance with NZS6808 must be included in the report and, on agreement by the Responsible Authority, measures to address non-compliance must be immediately implemented to the satisfaction of the Responsible Authority.
37. An independent post-construction noise monitoring program must
be commissioned by the proponent within two months from the commissioning of
the last generator and continue for 24 months all to the satisfaction of the
Responsible Authority. The program must be carried out in accordance
with the New Zealand standard as varied by Conditions 20 (a), (b) and (c)
above. The permit holder must pay the reasonable costs of the monitoring
program.
38. An independent report summarising the results of the monitoring program, and the data collected, and indicating compliance or non compliance with the New Zealand Standard (as modified by condition 20), must be forwarded to the Responsible Authority at six monthly intervals during the monitoring period. The results must be written in plain English and formatted for reading by lay people. A peer review of the noise reports will be undertaken prior to a decision on the adequacy of the reports. This will be undertaken by an independent expert chosen by the responsible authority, and the costs incurred for this peer review will be borne by the proponent.
BLADE SHADOW FLICKER
39. No existing dwelling as at the date of this permit will experience over ten hours blade shadow flicker per annum, unless the operator of the wind energy facility has entered into an agreement with the relevant landowner under which the landowner acknowledges and accepts that shadow flicker may exceed 30 hours per annum at the landowner's dwelling. Evidence of any such agreement must be provided to the satisfaction of the Responsible Authority.
COMPLAINTS HANDLING
40. Before the use commences the complaint, evaluation and response process outlined at Appendix D of the permit application report will be endorsed and become part of the planning permit.
TELECOMMUNICATION AND TELEVISION RECEPTION AND INTERFERENCE
41. If, following the commencement of operation of the wind energy facility, complaints are received regarding the television and radio reception at the residences identified within 5km, a post-construction qualitative survey must be carried out. If the qualitative survey establishes any detrimental increase in interference to reception or transmission, measures must be taken to mitigate the interference to return the affected reception or transmission to pre-construction quality at the cost of the wind energy facility operator and to the satisfaction of the Responsible Authority.
SECURITY
42. Unless directed otherwise by the emergency services, all site and wind generator access points and access to electrical equipment must be locked and made inaccessible to the general public to the satisfaction of the Responsible Authority. Public safety warning signs must be located on all towers and, unless directed otherwise by the emergency services, all spare parts and other equipment and materials associated with the wind energy facility must be located in screened, locked storage areas that are inaccessible to the public, to the satisfaction of the Responsible Authority.
EMERGENCY ARRANGEMENTS
43. Before the use starts, the operator of the wind energy facility must conduct a familiarisation visit and explanation of emergency procedures for the Country Fire Authority (CFA) and the State Emergency Service (SES), and thereafter must continue to provide such sessions for the CFA and SES on a regular basis and/or as required by those agencies.
AVIATION
44. The applicant will provide appropriate conspicuous markings to the two existing wind monitoring masts.
45. Plans must be provided to Civil Aviation and Safety Authority and other relevant bodies and operators to enable the details of the wind energy facility to be identified on the relevant aeronautical charts once final locations are selected.
46. Despite any other condition of this permit, the Wind Energy Facility Operator must
implement the requirements of the Civil Aviation and Safety Authority.
DECOMMISSIONING
47. The wind energy facility operator must, without delay, notify the Responsible Authority in writing within two months of all or any wind energy facility generators permanently ceasing to generate electricity, whether due to planned removal, faults or otherwise. Within 12 months of the date of notification, the wind energy facility operator, or in the absence of the operator, the owner of the land on which the relevant generator is located must undertake the following to the satisfaction of the Responsible Authority:
(a) Remove all non-operational or downed equipment;
(b) Remove and clean up any residual spills;
(c) Clean up and restore all storage, construction and other areas associated with use, development and decommissioning of the wind energy facility including provision of soil cover and grassing over the wind generator site;
(d) Restore all access roads and any other area affected by the project closure or decommissioning, if not otherwise useful to the on-going management of the land;
(e) Prepare and submit a post-decommissioning traffic management plan to the satisfaction of the Responsible Authority and, when approved by the Responsible Authority, implement that plan; and
(f) Prepare and submit a post-decommissioning revegetation management plan to the satisfaction of the Responsible Authority and, when approved by the Responsible Authority, implement that plan.
AGREEMENTS
48. Any Agreements required under the Planning Scheme shall be retained by the wind energy facility operator for inspection by the Responsible Authority and any prospective purchaser of a property containing wind turbines.
POST CONSTRUCTION TRAFFIC
49. At the completion of construction, all traffic to the site will be via Old Wedderburn road, weather permitting.
LANDSCAPE
50. Before the development starts, a program of landscape mitigation works is to be offered at no initial cost to the owners of any house within 5km of a wind turbine. As part of this program an Off-site Landscaping Plan must be prepared and submitted, to the satisfaction of the Responsible Authority. When approved, the plan will be endorsed by the Responsible Authority. The Off-site Landscaping Plan may be submitted in stages, to the satisfaction of the Responsible Authority (such that not all stages are completed before the development starts) and must include:
(a) A provision for the owners of any other dwellings within 5km of a wind turbine to have the opportunity to accept the offer of visual screen planting at any time up to until twelve months after the commissioning of the last wind turbine; and
(b) The process by which the owners of any other dwellings within 5km of a wind turbine will be informed of this offer and the process by which it can be accepted.
Following acceptance of the offer of landscape mitigation works, the off-site Landscaping Plan must include:
(c) Details of planting or other treatments that will be used to reduce the visual impact of the wind turbines at the dwellings of participating landowners;
(d) Details of the species proposed to be used for the landscaping including details of height and size of species at maturity;
(e) A timetable for the implementation plan.
51. Before the development starts, a Landscape Plan for the intended permanent buildings on site must be submitted to and approved by the Responsible Authority. It must be prepared by a suitably qualified person and show details of landscaping of around the site to minimise the visual impact of the substations, switchyard and associated buildings (excluding turbines) from public roads and nearby dwellings. When approved by the Responsible Authority, the landscape plan will be endorsed and will then form part of the permit.
52. The development must be carried out in accordance with the endorsed Off-site Landscaping Plan and Landscape Plan for the intended permanent buildings on site, to the satisfaction of the Responsible Authority.
ADVERTISING SIGNS
53. Details of any signage proposed to be displayed as part of the wind farm must be approved by the Responsible Authority and limited to:
(a) One logo or company identification for the wind facility operator or wind generator manufacturer displayed on each wind turbine.
(b) Signs required specifically in relation to site safety issues.
EXPIRY
54. Notwithstanding other provisions of these conditions, this permit will expire if one of the following circumstances applies:
(a) The development is not started within four years of the date of this permit.
(b) The development is not completed within six years of the date of this permit.
The Responsible Authority may extend the periods referred to if a request is made in writing before the permit expires or within six months afterwards.
55. For the purposes of this permit, the carrying out of preliminary investigative works is not considered to amount to commencement of the development.
7.2.7 Wycheproof Transfer Station Funding Application
Author’s Title: Director Works and Technical Services
Department: Works and Technical Services File No: WM/15/02
|
Nil |
Relevance to Council Plan 2013 - 2017
Objective: A Shire working with the community to reduce our carbon footprint, protect and enhance the natural environment and share experiences and information.
Strategy: Providing services and advice to the community to assist in reducing its impact on our natural environment.
Priority: Continue long-term planning for sustainable waste disposal facilities.
|
That: 1. Council submit a funding application for $25,000 under Sustainability Victoria’s Rural and Regional Transfer Station Upgrade Fund for the development of the Wycheproof Transfer Station. 2. Consider an allocation $25,000 matching funding in the development of the 2014/15 capital budget. Seconded: Cr Graeme Milne Carried. |
1. Purpose
This report advices Council on the proposal to submit a funding application for construction of the Wycheproof Transfer Station.
2. Discussion
In the Buloke Shire Waste Management Strategy 2012-2022, it was highlighted that the Wycheproof Landfill had less than 5 years of airspace available and it was planned to close the landfill and establish a transfer station.
In addition, Sustainability Victoria’s Draft Statewide Waste and Resource Recovery Infrastructure Plan 2013 identifies the Wycheproof Landfill to be scheduled to close which provides the opportunity to upgrade to a transfer station.
Staff have since calculated that there is less than 2 years life left in the existing landfill and have commenced planning the establishment of the transfer station.
Sustainability Victoria has recently released the Rural and Regional Transfer Station Upgrade Fund, which has been developed to support infrastructure upgrades at transfer stations and resource recovery centres.
The funding program requires co-contribution from Councils ($1:$1 funding
ration) to a maximum of $75,000 per site (for sites with less than 1,000 tonnes
per annum).
Council staff and consulting engineers have established plans and costings for the project, totalling $50,000, of which Council will need to provide $25,000 matching contribution.
Successful applications will be announced in July 2014.
3. Financial Implications
The total project cost is $50,000, of which Council will need to provide a matching contribution of $25,000 in the 2014/15 capital budget
4. Community Consultation
This priority has been included in Council’s Waste Management Strategy 2012-2022, which went through a community consultation process in 2012.
5. Internal Consultation
Staff have been working towards a transition to a transfer station at Wycheproof over the past two years and have developed plans and costings for the project.
6. Legislative / Policy Implications
This project aligns within the Council Plan and the Waste Management Strategy 2012-2022 as a key priority
7. Environmental Sustainability
Greater efficiencies and resource recovery are expected to be achieved in this project through increased diversion capacity of the bins and a better site access, flow and ease of use.
8. Conflict of Interest Considerations
Nil
9. Conclusion
It is recommended that the Council submit a funding application for $25,000 for the development of the Wycheproof Transfer Station. In doing so, Council will need to consider an allocation $25,000 matching funding in the development of the 2014/15 capital budget.
7.2.8 Exercise of Delegation - 10 April 2014 to 14 May 2014
Author’s Title: Acting Chief Executive Officer
Department: Office of the CEO File No: PE/02/01
|
Nil |
Relevance to Council Plan 2013 - 2017
Objective: An organisation that is responsibly governed with a strong emphasis on sustainable financial and risk management.
Strategy: Ensuring Council is well governed and its finances and risks are managed sustainably and responsibly.
Priority: Maintain good governance processes for Council and Special Committee meetings and communicate decisions to the community.
|
That the Council note the report. Seconded: Cr Gail Sharp Carried. |
1. Pupose
This report is to provide Council with an update of the use of delegated authority by the Chief Executive Officer in awarding contracts for the period 10 April 2014 to 14 May 2014.
2. Discussion
At the April 2014 Ordinary Meeting, Council delegated certain powers and functions under Section 98(1) of the Local Government Act 1989 to the Acting CEO to award time-critical contracts.
Under this delegation, the Acting CEO has approved a two Tender Evaluation Panel reports recommending award of the tenders.
Contract No. C20 – 2013/14, for the Design and Construction of the Charlton Skate Park, has been awarded to Enlocus Pty Ltd for the tendered lump sum price of $140,000 (excluding GST). The initial contract meeting has been held and community consultation work has begun.
Contract No. C17 2013/14, for the Redevelopment of Synthetic Lawn Bowling Green, for Birchip Bowls Club, has been awarded to Berry Bowling Systems Pty Ltd for the tendered lump sum price of $276,815 (excluding GST), which includes a provisional sum of $23,000. The contractor and Birchip Bowling Club have been informed and preliminary and planning works have begun.
3. Financial Implications
These tenders are within the Council budget and within the engineering estimates. These projects will be completed over the 13/14 and 14/15 financial years.
4. Community Consultation
The projects were publicly tendered in accordance with council’s procurement policy.
5. Internal Consultation
Nil
6. Legislative / Policy Implications
Whilst the value of the two tendered sums exceeds the current authority delegated to the Chief Executive Officer, Council authorised delegations to the Acting Chief Executive Officer in accordance with the Local Government Act 1989, Sect 98(1) to award these contracts.
7. Environmental Sustainability
Nil
8. Conflict of Interest Considerations
Nil
9. Conclusion
7.2.9 Local Law - Application To Park Heavy / Long Vehicle In Public Street
Author’s Title: Compliance Team Leader
Department: Corporate and Community Services File No: LA/O8/10
|
Nil |
Relevance to Council Plan 2013 - 2017
Objective: A Buloke community connected and involved in shaping decisions that affect them.
Strategy: Working with communities and other stakeholders to maintain and enhance a living environment where people feel safe, are connected to their community and are actively encouraged and supported to participate in community life.
Priority: Develop a community safety risk assessment process for service and project activities and progressively implement this over the term of the Plan.
|
That: 1. Council refuse the application made under Parking or leaving Heavy or Long Vehicles on a Road under Council’s Local Law No 10 Clause 17E.
Seconded: Cr Stuart McLean Carried. |
1. Purpose
For Council to consider an application for a permit to allow parking or leaving heavy or long vehicles on a road under Council’s Local Law No 10 Clause 17E.
2. Discussion
The applicant in View Street, Charlton requests an exemption from the Local Law so as to park a Prime Mover with Trailer in View Street, Charlton at anytime during weekdays on a regular basis.
Local Law No 10 Clause 17E, Parking or Leaving Heavy or Long Vehicles on a Road controls the parking of heavy/long vehicles on township roads within the Buloke Shire.
The Local Law allows Council to consider applications to allow the parking of heavy/long vehicles on a road and was created to control the continual parking of heavy/long vehicles within a township in a manner that did not have an impact on the local amenity of a residential area.
The parking of heavy/long vehicles is also controlled by state legislation. The Road Safety Road Rules 2009, Rule 200 (2) Stopping on roads – heavy and long vehicles controls the parking of heavy/long vehicles in a built up area.
At the end of the community consultation period for this particular application Council had received 3 signed objections from landowners/residents in View Street, Charlton who stated that they would be impacted by the activity and that the parking of a heavy/long vehicle is inappropriate and interferes with the general amenity of the area. One other objection was received from an anonymous party.
Several reasons for objections were received these being:-
Visual amenity;
Traffic safety issues;
Arrival and departure times;
Noise, from truck idling for long periods to build up air to disengage brakes;
Parking of truck in front of neighbouring properties;
Damage to road and infrastructure; and
Residents state that the truck inhibits the garbage truck during collection periods and also causes residents to relocate their bins away from their property.
3. Financial Implications
Nil
4. Community Consultation
Following normal Local Laws procedures Council has undertaken a survey that involved 16 neighbouring properties that may or could be affected by the activity. Landowners and residents were advised in writing to consider the application and also submit any objections to Council by the 26 March 2014. Four objections were received.
5. Internal Consultation
Councils Asset Engineer has also made an assessment regarding the possible impact on roadway and also other infrastructure within the area of View Street and any other road in the vicinity that will be subjected to continual heavy /long vehicle traffic/usage.
Assessment: This location is not suitable for the proposed long vehicle parking. The parking of heavy/long vehicles will compromise the road surface and have safety and visual impact on other road users and residents in the area.
6. Legislative / Policy Implications
The application and its consideration are in keeping with the Buloke Shire Council Local Law Number 10 Clause 17E and the Road Safety Road Rules 2009, Rule (2).
7. Environmental Sustainability
Nil
8. Conflict of Interest Considerations
Nil
9. Conclusion
It is recommended that Council refuse the application to allow the parking of a heavy/long vehicle for longer than one hour in View Street, Charlton.
That the applicant, be advised that the heavy/long vehicle can only be parked for a period of one hour.
7.2.10 Application for Permit - Keeping of excess number of birds at 14 Horace Street, Sea Lake
Author’s Title: Compliance Team Leader
Department: Corporate and Community Services File No: LA/08/06
|
Nil |
Relevance to Council Plan 2013 - 2017
Objective: A Buloke community connected and involved in shaping decisions that affect them.
Strategy: Working with communities and other stakeholders to maintain and enhance a living environment where people feel safe, are connected to their community and are actively encouraged and supported to participate in community life.
Priority: Develop a community safety risk assessment process for service and project activities and progressively implement this over the term of the Plan.
|
That: Council approve the application and grant a permit under Council’s Community Local Law No. 10 Clause 14(2) to keep 10 large birds at the address with the following conditions:
1. No more than 10 large birds (parrots) are kept on the property at any one time. 2. The property must be maintained in a sanitary condition. 3. The aviaries in which the birds are kept to be cleaned weekly and a record of the cleaning schedule maintained. 4. All food is to be stored in vermin proof containers. Seconded: Cr Graeme Milne Carried. |
1. Purpose
Council has received a local laws application for a permit to allow the keeping of 10 large birds on the property located at 14 Horace Street, Sea Lake.
The applicants Joan Bell & Darryl McKenzie request an exemption from Council’s Local Law 10, Clause 14(2) to keep 10 large birds (parrots) in Horace Street, Sea Lake.
2. Discussion
The applicants currently live in Ballarat and are in the process of purchasing the property at 14 Horace Street, Sea Lake. They intend to move to the Shire in November this year. The applicants are aware that a Local Law permit is required to keep extra birds in an urban area and have made an early application, as the issue or refusal of a permit will have a bearing on whether they purchase the property.
The Compliance Team Leader has spoken with the applicants regarding the keeping and housing of the birds and also in respect to any issues regarding noise from the birds. Investigations have revealed the following that:
a) Contact has been made with the City of Ballarat in respect to any complaints regarding the applicants keeping birds at their current and previous address.
Finding: No substantiated complaints have been recorded against the applicants.
b) That 2 large birds to be kept at the address are Electus Parrots (approx size of a Galah)
c) That the remaining birds are much smaller than Electus Parrots.
d) The aviaries will be located under a tree on the boundary of Wilkinson Street.
e) The rear of the aviaries is clad with solid sheet that will be positioned near the galvanized iron boundary fence.
Following community consultation Council received 2 signed objections from landowners/residents who stated that they would be impacted by the activity and that the possible noise from birds is inappropriate and would interfere with the general amenity of the area.
Objector 1 has objected stating that the potential noise from the birds may have an impact as they undertake shift work; however, they have no real issue if they were smaller birds. Comment: Objector 1 does not live adjacent to the applicant’s address.
Objector 2 has objected on the basis of the noise that will impact them and affect their living quality.
Comment: Objector 2 is located behind the applicant’s address, there is a large full length garage located on the boundary between the properties providing a further noise buffer.
3. Financial Implications
Nil
4. Community Consultation
Following normal Local Laws procedures Council has undertaken a survey that involved 3 neighboring properties that may or could be affected by the activity. Landowners and residents were advised in writing to consider the application and also submit any objections to Council by the 17 April 2014. Two objections were received.
5. Internal Consultation
Nil
6. Legislative / Policy Implications
The application and decision making is in keeping with Council’s Community Local Law No. 10 Clause 14(2).
7. Environmental Sustainability
Nil
8. Conflict of Interest Considerations
Nil
9. Conclusion
It is recommended that Council approve the application and grant a permit under Council’s Community Local Law No. 10 Clause 14(2) to keep 10 large birds at the address subject to the recommended conditions.
7.3 Financial Reports
Author’s Title: Acting Chief Executive Officer
Department: Office of the CEO File No: FM/05/04
|
1 Draft 2014-2015 Budget - printed in separate document |
Relevance to Council Plan 2013 - 2017
Objective: An organisation that is responsibly governed with a strong emphasis on sustainable financial and risk management.
Strategy: Ensuring Council is well governed and its finances and risks are managed sustainably and responsibly.
Priority: Review and renew the Council’s financial plans to improve financial sustainability as measured by indicators of local government financial sustainability developed by the Victorian Auditor-General’s Office.
|
That: 1. Council, having prepared the Draft 2014/15 Budget in accordance with Section 127 of the Local Government Act 1989, gives public notice in accordance with section 129 of the Act, to advertise in local newspapers for a minimum 28 day period and make the 2014/15 Draft Budget available in Councils Offices in Charlton, Birchip, Donald, Sea Lake and Wycheproof. 2. Persons may make submissions under Section 223 of the Act, on any proposal contained in the Draft Budget. 3. Presentations in support of written submissions be heard at a Section 223 Special Committee Meeting to be held on Wednesday 18th June at 5.00pm at the Wycheproof Supper Room. 4. That Council adopts the proposed Fees and Charges contained in Appendix D of the Draft Budget with an effective date of 1 July 2014, noting that Fees and Charges may be modified on the adoption of the 2014/15 Budget. Seconded: Cr Gail Sharp Carried. |
1. Executive Summary
This report is for Council to consider the proposed 2014/15 Budget for approval to exhibit and call for public submissions. The report also proposes the adoption of councils fees and charges for the 2014/15 financial year.
2. Discussion
Under the provisions in the Local Government Act 1989 (the Act), Council is required to prepare and adopt an annual budget for each financial year. The budget is required to include certain information about the rates and charges that council intends to levy as well as a range of other information required by the Regulations which support the Act.
The Draft Budget for 2014/15 reflects Councils commitment for long term financial sustainability and continued to support for the community with a range in initiatives.
The key initiatives in the budget are:
· Funding for three key flood mitigation projects that were prioritised out of the Charlton and Donald Flood and Drainage Management Plans. Funding of $225,000 (toward a total project cost of $250,000) has been provided to develop full functional plans, specifications and costings for the Charlton town ring levee bank as well as $500,000 for increasing the size of the culverts over Gower Creek on the Charlton-St Arnaud Road. For Donald, a grant of $832,500 (toward a total project cost of $925,000), has been allocated for the construction of levee banks along the existing Donald Walking Track in Byrne Street and for the extension of the existing levee bank at the Goodwin Village.
· Rationalisation of community support program which includes youth and economic development to target government funded programs. This will maximise councils ability to secure funding to the community from external sources and minimise the cost to our community.
· Rationalisation of the Customer service provision, by increasing access for all financial transactions at Post Office outlets and closing the public access at four of council district Offices.
· Improvement to Community Halls with a range of upgrade works to kitchens, heating and cooling. Council will also improve the community access to our Halls by removing the fees charged to community groups.
· Injection of $226,000 into support for recreation reserves across the shire. This will provide Recreation Maintenance Allocations to 10 townships, provided direct to the local communities.
· Continued development and improvements to councils 7 swimming pools, with an additional $106,000 of funding for upgrade works.
· Rationalisation of our work crews with a reduction in grader crews from 6 to 4 combined with a program to upgrade and modernise councils outdoor plant fleet.
· Continued renewal of our road network with over $1.35mill investment in reseals and resheets on roads across the shire.
· Implementation of the Street Light Sustainability Upgrade program which will see councils street light converted to LED technology. This will not only reduce councils carbon footprint but will see a long term cost saving to the community.
· Continued support of councils saleyards with a program to upgrade ramps and to improve fencing.
· Rationalisation of our community grants program to reduce the administrative burden on local community groups. Community groups will now be directly funded from the budget, removing the need for an extensive administrative process. The program includes support for Senior Citizens Christmas Lunches and Administrative support to township forums
· Council will continue to support the Loddon Murray Leadership program which provides an avenue for emerging community leaders to access a valuable opportunity to develop skills that can be injected back into the local area.
3. Financial Implications
The 2014/15 Draft Budget, which is included in this report, is for the year 1 July 2014 to 30 June 2015. The budget includes financial statements being a budgeted Comprehensive Income Statement, Balance Sheet, Statement of Changes in Equity, Statement of Cash Flows and Statement of Capital Works. These statements have been prepared for the year ended 30 June 2015 in accordance with the Act and Regulations, and consistent with the annual financial statements which are prepared in accordance with Australian Accounting Standards. The budget also includes information about the rates and charges to be levied, the capital works program to be undertaken, the human resources required, and other financial information Council requires in order to make an informed decision about the adoption of the budget.
4. Community Consultation
In order to consider the budget, Council will advertise the Draft Budget in Local papers and make it available for inspection at the councils offices in Birchip, Charlton, Donald, Sea Lake and Wycheproof. Members of the public will be invited to make written submissions by 11th June 2014. Those who have made a written submission and will be invited to make a verbal submission to a Special Meeting of Council on 18th June at 5.00pm at the Wycheproof Supper Room.
5. Internal Consultation
The Draft Budget has been developed with input from all areas of council.
6. Legislative / Policy Implications
The Draft 2014/15 Budget has been prepared in accordance with Section 127 of the Local Government Act 1989.
7. Environmental Sustainability
N/A
8. Conflict of Interest Considerations
Nil
9. Conclusion
The Draft Budget is the culmination of a detailed review of councils financial position and services. It proposes a range of initiatives which provide for the council to return to operating surpluses and long term sustainability.
Buloke Shire Council Ordinary Meeting Minutes Wednesday, 14 May 2014
CR STUART MCLEAN
2 May 2014 Livestock Saleyards Association of Victoria
Matters discussed included:
· Australian Livestock Transporters Association Workshop on design standards for new loading ramps.
· Livestock Research Service and Innovation. Funding to be sourced through the Truck Wash system. Share of the funding is now going to LSAV on a quarterly basis.
· Electronic National Vendor Declaration Project is progressing steadily. (Media Release soon to be issued)
· LSAV article review is progressing with a need to hold a Special General Meeting (30/06/14) to implement and adopt prior to the AGM in August (Principally a new elected representative model)
· Annual Conference to be held in Melbourne in August.
North West Municipalities Association (NWMA)
No meeting in last month
Sea Lake Community Complex
Nothing to report
Economic Development (BSBEA/RVLE)
The Regional Victorian Living Expo was not as well attended as previous years. We recorded fewer numbers, with only 100 valid emails this year compared to 200 last year. This may have been also due to people not having their ID cards easily accessible.
10 people visited the open day that we ran on 25 and 26 April. This consisted of two families and 2 older people looking for retirement options. There has been no follow up since then.
Nominations for the business excellence awards will open on 6 June, with adverts being placed in local newspapers, and contact being made with as many businesses as possible in the shire.
Central Murray Regional Transport Forum
No meeting held last month
Alliance of Councils for Rail Freight Development
I was unable to attend the meeting last Friday. However, I can report that
· The Alliance will host a conference in Melbourne on 15th October, with Tim Fischer as a guest speaker
· The Alliance website is to be rebuilt
· The Melbourne Brisbane Inland Rail Alliance has been formed. This Alliance will advocate for a new rail line from Melbourne to Brisbane. This will initially be a rail freight line, that may have benefits for Victoria once it is completed.
· Murray Darling Transport Plan to be released late May 2014
An upgrade of the Mildura freight line. Decisions have not been made on the specifics of this project yet, but the Buloke Shire has a vested interest as part of this line passes through our shire, and some of our businesses will benefit from an improved freight service on that rail line.
|
Motion: That Council note the Councillor Delegate Reports as presented.
Seconded: Cr Ellen White Carried. |
CR ELLEN WHITE
12/4/14 Regional Victorian Living Expo, Melbourne
14/4/14 Meeting with Professor Bill Russell re Central Murray Regional Transport Forum Strategic Plan update in Wycheproof
16/4/14 Assembly of Council in Wycheproof
22/4/14 North Central LLEN Board meeting, Charlton
23/4/14 Women’s Health Loddon Mallee Board meeting
25/4/14 ANZAC Day service at Nullawil
ANZAC Day service at Sea Lake
28/4/14 Loddon Mallee Regional Council of Adult Community and Further Education meeting in Wycheproof
Southern Mallee Chances for Children Working Group meeting in Swan Hill
30/4/14 Assembly of Council at Nullawil
5/5/14 Advance Sea Lake meeting
12/5/14 Assembly of Council meeting in Wycheproof
14/5/14 Ordinary meeting of Council in Wycheproof
CR STUART MCLEAN
12/04/14 Regional Victorian Living Expo
16/04/14 Budget meeting
28/04/14 Buloke Tourism Board
30/04/14 Budget and Assembly of Council held in Nullawil
02/05/14 Livestock Saleyards Association of Victoria – Chaired the State Executive
12/05/14 Assembly of Council
14/05/14 Ordinary Meeting of Council
|
Motion: That Council note the Councillor Activity Reports as presented.
Seconded: Cr Ellen White Carried. |
A verbal Activity Report was presented by the Mayor, Cr Reid Mather.
9.3 Questions from Councillors
9.5 Any Other Procedural Matter
10. MATTERS THAT MAY EXCLUDE THE PUBLIC
Meeting closed at 8.33pm